Исследования влияния гамма-излучения на молекулярную структуру и гидрофобные свойства теломерных покрытий стеклоткани
- Авторы: Кичигина Г.А.1, Кущ П.П.1, Кирюхин Д.П.1, Кабачков Е.Н.1, Шульга Ю.М.1
-
Учреждения:
- ФГБУН Федеральный исследовательский центр проблем химической физики и медицинской химии Российской академии наук
- Выпуск: Том 57, № 5 (2023)
- Страницы: 378-383
- Раздел: РАДИАЦИОННАЯ ХИМИЯ
- URL: https://journal-vniispk.ru/0023-1193/article/view/139995
- DOI: https://doi.org/10.31857/S0023119323050042
- EDN: https://elibrary.ru/MVCSCB
- ID: 139995
Цитировать
Полный текст
Аннотация
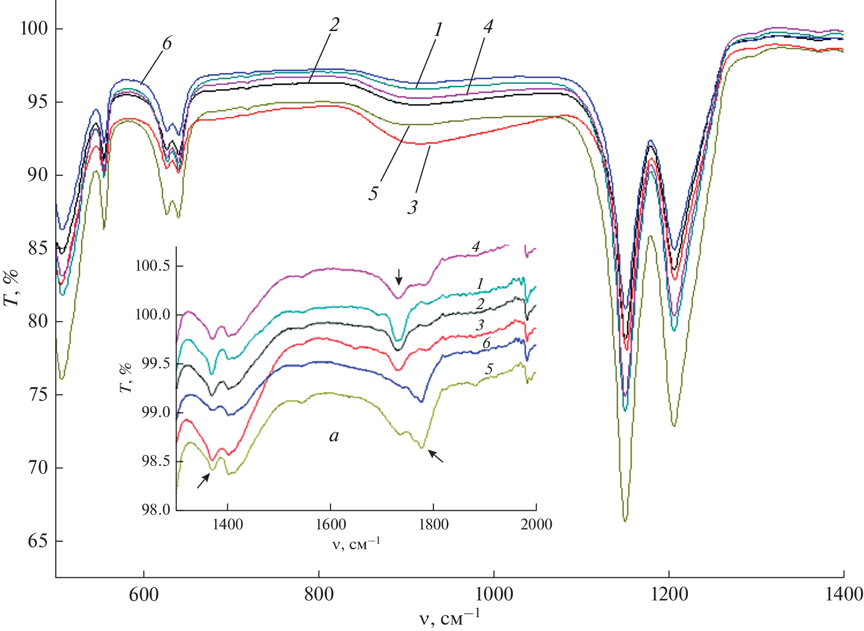
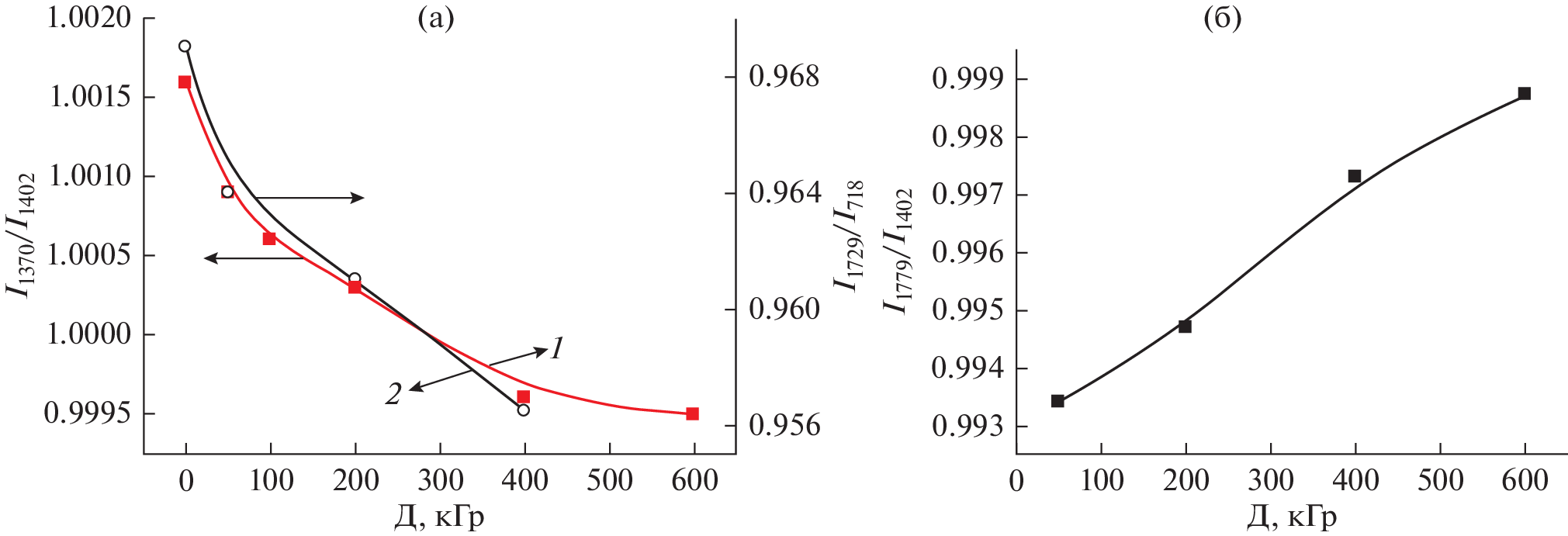
Покрытия алюмоборосиликатной ткани были получены путем осаждения из растворов радиационно-синтезированных теломеров тетрафторэтилена. Полученные покрытия охарактеризованы методом ИК- спектроскопии. Методом “сидячей” капли установлено, что поверхность покрытий является гидрофобной с углами смачивания водой 140°. Проведены ИК-спектроскопические исследования влияния гамма-излучения на молекулярную структуру покрытий. Показано, что в результате облучения исследуемых образцов на воздухе происходит образование СООН-концевых групп, что ухудшает гидрофобность образцов. Облучение в вакууме не влияет на гидрофобные свойства теломерных покрытий.
Об авторах
Г. А. Кичигина
ФГБУН Федеральный исследовательский центр проблем химической физики и медицинской химииРоссийской академии наук
Email: kga@icp.ac.ru
Россия, 142432, Московская обл., Черноголовка, просп. Академика Семенова, 1
П. П. Кущ
ФГБУН Федеральный исследовательский центр проблем химической физики и медицинской химииРоссийской академии наук
Email: kga@icp.ac.ru
Россия, 142432, Московская обл., Черноголовка, просп. Академика Семенова, 1
Д. П. Кирюхин
ФГБУН Федеральный исследовательский центр проблем химической физики и медицинской химииРоссийской академии наук
Email: kga@icp.ac.ru
Россия, 142432, Московская обл., Черноголовка, просп. Академика Семенова, 1
Е. Н. Кабачков
ФГБУН Федеральный исследовательский центр проблем химической физики и медицинской химииРоссийской академии наук
Email: kga@icp.ac.ru
Россия, 142432, Московская обл., Черноголовка, просп. Академика Семенова, 1
Ю. М. Шульга
ФГБУН Федеральный исследовательский центр проблем химической физики и медицинской химииРоссийской академии наук
Автор, ответственный за переписку.
Email: kga@icp.ac.ru
Россия, 142432, Московская обл., Черноголовка, просп. Академика Семенова, 1
Список литературы
- https://halopolymer.ru/
- Истомин Н.П., Семенов А.П. Антифрикционные свойства композиционных материалов на основе фторполимеров. М.: Наука, 1981. 460 с.
- Радиационная стойкость органических материалов. Справочник. Под ред. В.К. Милинчука, В.И. Тупикова. М.: Энергоатомиздат, 1986. 171 с.
- Пикаев А.К. Современная радиационная химия. Твердое тело и полимеры. Прикладные аспекты. М.: Наука, 1987. 448 с.
- Фторполимеры. Под ред. Л. Уолла. Пер. с англ. Под ред. И.Л. Кнунянца, В.А. Пономаренко. М.: Мир, 1975. 448 с.
- Кирюхин Д.П., Кичигина Г.А., Кущ П.П., Бузник В.М. Низкомолекулярные фторполимерные материалы. Монография “Фторполимерные материалы” (глава 4). – Томск: Изд-во НТЛ, 2017. 600 с.
- Алдошин С.М., Барелко В.В., Кирюхин Д.П., Кущ П.П., Петряков Д.Н., Дорохов В.Г., Быков Л.А., Смирнов Ю.Н. // Доклады Академии наук. 2013. Т. 449. № 1. С. 55.
- Кичигина Г.А., Кущ П.П., Кирюхин Д.П., Барелко В.В., Дорохов В.Г., Быков Л.А., Кузнецов М.В. // Химическая технология. 2015. № 6. С. 326.
- Шульга Ю.М., Кабачков Е.Н., Корепанов В.И., Кичигина Г.А., Кущ П.П., Кирюхин Д.П., Дремова Н.Н., Баскаков С.А., Vaish R., Kumar Y. // Химия высоких энергий. 2022. Т. 56. № 2. С.130.
- Кичигина Г.А., Кущ П.П., Кирюхин Д.П., Василец В.Н., Кабачков Е.Н., Шульга Ю.М. // Химия высоких энергий. 2022. Т. 55. № 3. С. 208.
- Кичигина Г.А., Кущ П.П., Кирюхин Д.П., Дорохов В.Г., Барелко В.В. // Химия высоких энергий. 2020. Т. 54. № 5. С. 387.
- Бузник В.М., Игнатьева Л.Н., Кайдалова Т.А., Ким И.П., Кирюхин Д.П., Курявый В.Г., Савченко Н.Н., Слободюк А.Б. // Высокомолек. соед., А. 2008. Т. 50. № 9. С. 1641.
- Schierholdz K., Lappan U., Lunkwitz K. // Nucl. Inst. Meth. Phys. Res.. 1999. V. B 151. P. 232.
- He J.L., Li W.Z., Wang L.D., Wang J., Li H.D. // Ibid. 1998. V. B 135. P. 512.
- Lunkwitz K., LappanU., Lehmann D. // Rad. Phys. Chem. 2000. V. 57. P. 373.
- Игнатьева Л.Н., Бузник В.М. // Ж. физ. Химии. 2005. Т. 79. С. 1631.
- Tikhomirov L.A. // High Energy Chem. 1983. V. 17. P. 267.
- Lappan U., Gebler U., Lunkwitz K. // J. Appl. Polym. Sci. 1999. V. 74. P. 1571.
- Кущ П.П., Кичигина Г.А., Кирюхин Д.П., Баринов Д.Я. // Химия высоких энергий. 2018. Т. 52. № 1. С. 38.
- Кичигина Г.А., Кущ П.П., Кирюхин Д.П. // Химия высоких энергий. 2013. Т. 47. № 1. С. 34.
Дополнительные файлы







