Получение низкомолекулярных органических компонентов методом микроволнового пиролиза торфа
- Авторы: Алыева А.Б.1, Ананичева С.А.2,1, Глявин М.Ю.1, Денисенко А.Н.1, Зеленцов С.В.2, Крапивницкая Т.О.1, Песков Н.Ю.2,1, Сачкова А.А.2
-
Учреждения:
- Институт прикладной физики РАН
- Национальный исследовательский Нижегородский государственный университет им. Н.И. Лобачевского
- Выпуск: Том 57, № 4 (2023)
- Страницы: 341-346
- Раздел: МИКРОВОЛНОВАЯ ХИМИЯ
- URL: https://journal-vniispk.ru/0023-1193/article/view/140027
- DOI: https://doi.org/10.31857/S0023119323040034
- EDN: https://elibrary.ru/QMPPCV
- ID: 140027
Цитировать
Полный текст
Аннотация
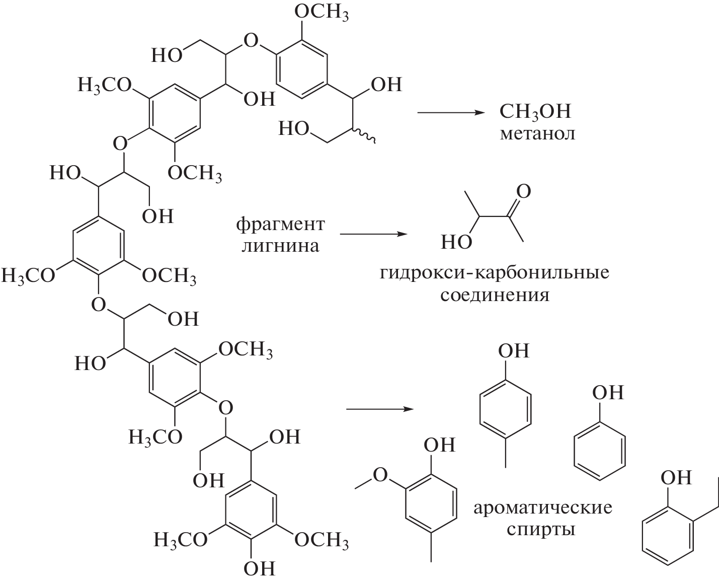
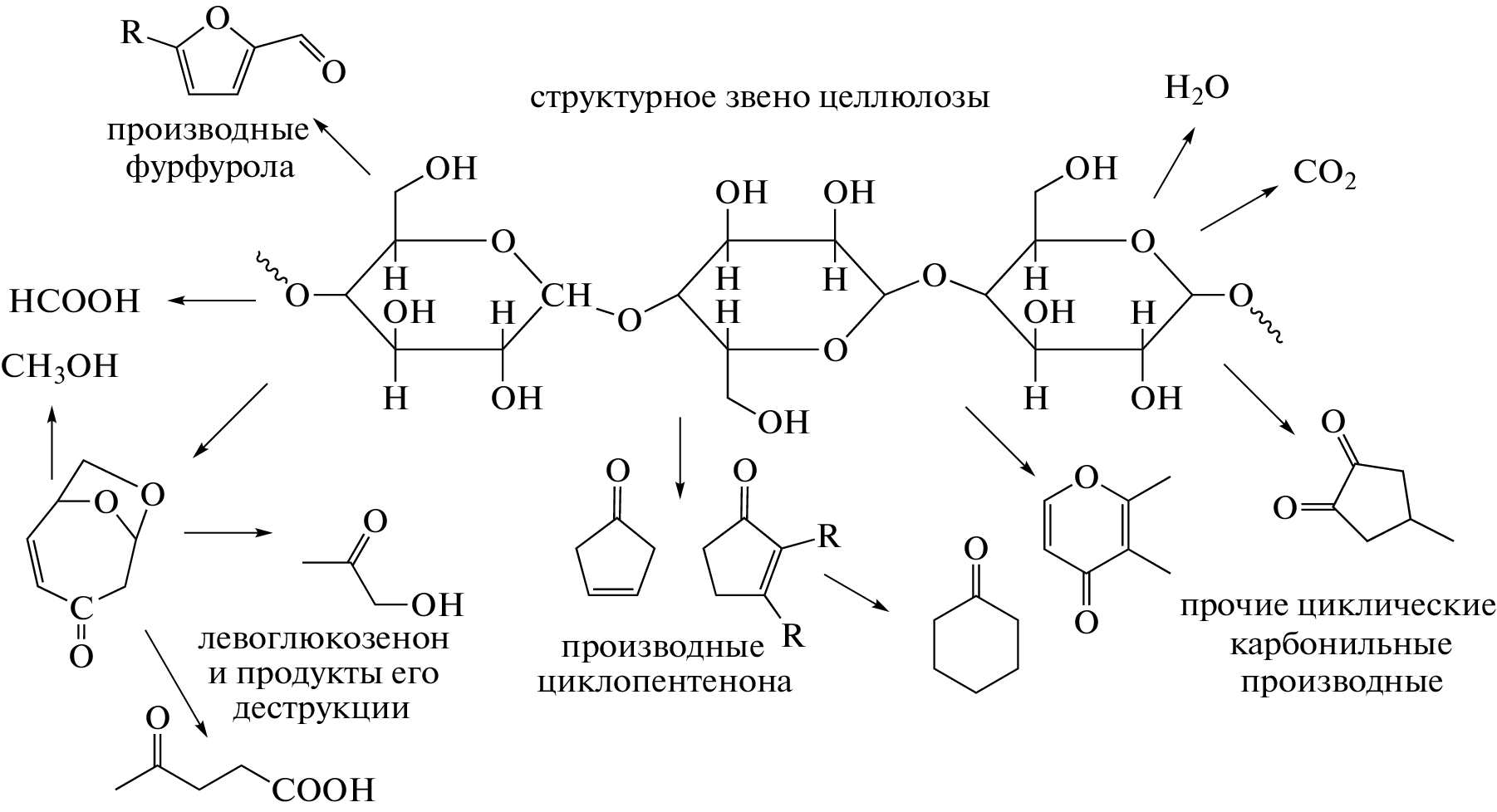
Разработана установка для проведения экспериментов по микроволновому (МВ) пиролизу торфа на рабочей частоте источника 2.45 ГГц. Проведены экспериментальные исследования МВ-пиролиза торфа для получения из него низкомолекулярных органических компонентов. Определены продукты разложения торфа под воздействием МВ излучения, и предложены схемы деструкции компонентов торфа. Получен углеродистый остаток с относительным содержанием углерода 83–85 мас. %, водорода 4–5 мас. %, азота 2–3 мас. %, серы менее 0.3 мас. %.
Ключевые слова
Об авторах
А. Б. Алыева
Институт прикладной физики РАН
Email: kto@ipfran.ru
Россия, 603155, Нижний Новгород, ул. Ульянова, 46
С. А. Ананичева
Национальный исследовательский Нижегородский государственный университет им. Н.И. Лобачевского; Институт прикладной физики РАН
Email: bulanovasvetlana@list.ru
Россия, 603022, Нижний Новгород, пр. Гагарина, 23; Россия, 603155, Нижний Новгород, ул. Ульянова, 46
М. Ю. Глявин
Институт прикладной физики РАН
Email: kto@ipfran.ru
Россия, 603155, Нижний Новгород, ул. Ульянова, 46
А. Н. Денисенко
Институт прикладной физики РАН
Email: kto@ipfran.ru
Россия, 603155, Нижний Новгород, ул. Ульянова, 46
С. В. Зеленцов
Национальный исследовательский Нижегородский государственный университет им. Н.И. Лобачевского
Email: kto@ipfran.ru
Россия, 603022, Нижний Новгород, пр. Гагарина, 23
Т. О. Крапивницкая
Институт прикладной физики РАН
Email: kto@ipfran.ru
Россия, 603155, Нижний Новгород, ул. Ульянова, 46
Н. Ю. Песков
Национальный исследовательский Нижегородский государственный университет им. Н.И. Лобачевского; Институт прикладной физики РАН
Email: kto@ipfran.ru
Россия, 603022, Нижний Новгород, пр. Гагарина, 23; Россия, 603155, Нижний Новгород, ул. Ульянова, 46
А. А. Сачкова
Национальный исследовательский Нижегородский государственный университет им. Н.И. Лобачевского
Автор, ответственный за переписку.
Email: kto@ipfran.ru
Россия, 603022, Нижний Новгород, пр. Гагарина, 23
Список литературы
- Хорошавин Л.Б., Медведев О.А., Беляков В.А., Михеева Е.В., Руднов В.С., Байтимирова Е.А. Торф: возгорание торфа, тушение торфяников и торфокомпозиты. М.: ФГБУ ВНИИ ГОЧС (ФЦ), 2013. 256 с.
- Батенин В.М., Бессмертных А.В., Зайченко В.М. и др. // Теплоэнергетика. 2010. № 11. С. 36–42.
- Песков Н.Ю., Крапивницкая Т.О., Соболев Д.И., Глявин М.Ю., Денисенко А.Н. Комплекс для микроволнового пиролиза органических материалов Патент № 2737007 C1 РФ. 2020.
- Крапивницкая Т.О., Богдашов А.А., Денисенко А.Н. и др. // Изв. вузов. Прикладная химия и биотехнология. 2019. Т. 31. № 4.
- Крапивницкая Т.О., Буланова С.А., Сорокин А.А. и др. // Изв. вузов. Прикладная химия и биотехнология. 2020. Т. 2. № 10. С. 339.
- Баскаков С.А., Лобач А.С., Васильев С.Г. и др. // Химия высоких энергий. 2016. Т. 50. № 1. С. 46.
- Kucerík J., Kovár J., Pekar M. // J. Therm. Anal. Calorim. 2004. V. 79. № 1. P. 55.
- Provenzano M.R., Senesi N. // J. Therm. Anal. Calorim. 1999. V. 57. № 2. P. 517.
- Montecchio D., Francioso O., Carletti P. et al. // J. Therm. Anal. Calorim. 2006. V. 83. № 2. P. 393.
- Салихов К.М. 10 лекций по спиновой химии. Казань: УНИПРЕСС, 2000. 52 с.
- Передерий М.А., Хаджиев С.Н., Цодиков М.В. // Вестник РФФИ. 2011. № 4. С. 54.
- Fizer M., Sidey V., Milyovich S., Fizera O. // J. Molecular Graphics and Modelling. 2021. V. 102. P. 107800.
- Kojima Y., Kato Y., Akazawa M. et al. // Biofuel Research Journal. 2015. V. 2. № 4. P. 317.
- Brebu M., Vasile C. // Chem. Technol. 2010. V. 44. № 3. P. 353.
- Kojima Y., Kato Y., Akazawa M. et al. // Biofuel Research Journal. 2015. V. 8. P. 317.
- Mohan D., Pittman J.C.U., Steele P.H. // Energy Fuels. 2006. V. 20. № 3. P. 848.
- Demirbas A. // J. Hazard. Mater. 2008. V. 157. № 2. P. 220.
- Demirbas A. // Energy Source Part B. 2007. V. 2. № 4. P. 391.
- Liu C., Lu X., Yu Z. et al. // Catalysts. 2020. V. 10. № 9. P. 1006.
Дополнительные файлы







