Механизм взаимодействия нитросоединений с олефинами в ацетонитриле
- Авторы: Плехович С.Д.1, Зеленцов С.В.1, Гримова И.Т.1
-
Учреждения:
- ФГАОУ ВО “Национальный исследовательский Нижегородский государственный университет им. Н.И. Лобачевского”
- Выпуск: Том 57, № 6 (2023)
- Страницы: 443-448
- Раздел: ФОТОХИМИЯ
- URL: https://journal-vniispk.ru/0023-1193/article/view/232779
- DOI: https://doi.org/10.31857/S0023119323060141
- EDN: https://elibrary.ru/RVSKPQ
- ID: 232779
Цитировать
Полный текст
Аннотация
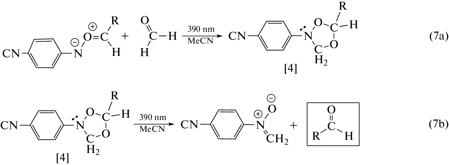
Методами квантовой химии выполнено моделирование взаимодействия 4-фтор-стирола с 4-CN–PhNO2 в присутствии различных растворителей. Предложен механизм реакции и активационные барьеры его стадий. Для проведения расчетов применен программный комплекс Gaussian03. Использованы методы DFT/WB97XD/DGDZVP2 для получения оптимальных геометрических параметров исследуемых структур, методы TD-SCF/DFT/WB97XD/DGDZVP2 и TD-SCF/DFT/ PBEPBE/6-311g++(3d2f,3p2d) для расчета возбужденных синглетных и триплетных состояний и модель IEFPCM для учета влияния растворителей. Расчет переходных состояний выполнялся методом TS с применением метода DFT/PBEPBE/6-311g++(3d2f,3p2d).
Ключевые слова
Об авторах
С. Д. Плехович
ФГАОУ ВО “Национальный исследовательский Нижегородский государственный университетим. Н.И. Лобачевского”
Email: senypl@mail.ru
Россия, 603950, Нижний Новгород, пр. Гагарина, 23
С. В. Зеленцов
ФГАОУ ВО “Национальный исследовательский Нижегородский государственный университетим. Н.И. Лобачевского”
Email: senypl@mail.ru
Россия, 603950, Нижний Новгород, пр. Гагарина, 23
И. Т. Гримова
ФГАОУ ВО “Национальный исследовательский Нижегородский государственный университетим. Н.И. Лобачевского”
Автор, ответственный за переписку.
Email: senypl@mail.ru
Россия, 603950, Нижний Новгород, пр. Гагарина, 23
Список литературы
- Gaussian R.A., Frisch M.J., Trucks G.W., Schlegel H.B., Scuseria G.E., Robb M.A., Cheeseman J.R., Scalmani G., Barone V., Mennucci B., Petersson G.A. et al. // Gaussian. Inc., Wallingford CT. 2003.
- Buchi G., Ayer D. E. // J. Am. Chem. Soc. 1956. V. 78. № 3. P. 689.
- Plekovich S.D., Zelentsov S.V., Minasyan Y.V., Grimova I.T. // High Energy Chemistry. 2022. V. 56. № 1. P. 32.
- Wise E., Gogarnoiu E., Duke A., Paolillo J., Vacala T., Hussain W., Parasram M. // J. Am. Chem. Soc. 2022. V. 144. № 34. P. 15437.
- Talipov M.R., Khursan S.L., Safiullin R.L. // Russ. J. Phys. Chem. 2011. V. 85. p. 364.
- Ishikawa S., Tsuji S., Sawaki Y. // J. Amer. Chem. Soc. 1991. V. 113. p. 4282.
- Tang L., Fang C. // J. Phys. Chem. B. 2019. V. 123. № 23. p. 4915.
- Issa Y., Abdel-Latif S., El-Ansary A., Hassib H. // New J. Chem. 2021. V. 45. P. 1482.
- Wiley & Sons, Inc. SpectraBase; SpectraBase Compound ID=AZU8Yr4NC7o SpectraBase Spectrum ID=8nNbPlotVFS https://spectrabase.com/spectrum/8nNbPlotVFS (access 16.05.2023).
- Veeman W.S., van der Waals J.H. // Mol. Phys. 1970. V. 18. № 1. P. 63.
- Xiong J.Yi., Cheng Y.K., Li M, Chu G., Pu X., Xu T. // Scientific Reports. 2016. V. 6. P. 19364.
- Harley R., Tesla A.C. // J. Am. Chem. Soc. 1968. V. 90. p. 1949.
- Buchi G., Ayer D. E. // J. Am. Chem. Soc. 1956. V. 78. P. 689.
- Plekhovich S.D., Zelentsov S.V., Minasyan Y.V., Degtyarenko A.I. // High Energy Chemistry. 2018. V. 52. № 6. p. 469.
Дополнительные файлы













