COLLECTION OF SUBMICRON AEROSOL PARTICLES BY FILTERS COMPOSED OF NANOFIBERS
- Autores: KIRSH V.A.1, KIRSH A.A.2
-
Afiliações:
- Frumkin Institute of Physical Chemistry and Electrochemistry, Russian Academy of Sciences, Moscow, Russia.
- National Research Centre Kurchatov Institute, Moscow, Russia
- Edição: Volume 85, Nº 1 (2023)
- Páginas: 38-46
- Seção: Articles
- ##submission.dateSubmitted##: 16.10.2023
- ##submission.datePublished##: 01.01.2023
- URL: https://journal-vniispk.ru/0023-2912/article/view/137197
- DOI: https://doi.org/10.31857/S0023291222600316
- EDN: https://elibrary.ru/KESENS
- ID: 137197
Citar
Texto integral
Resumo
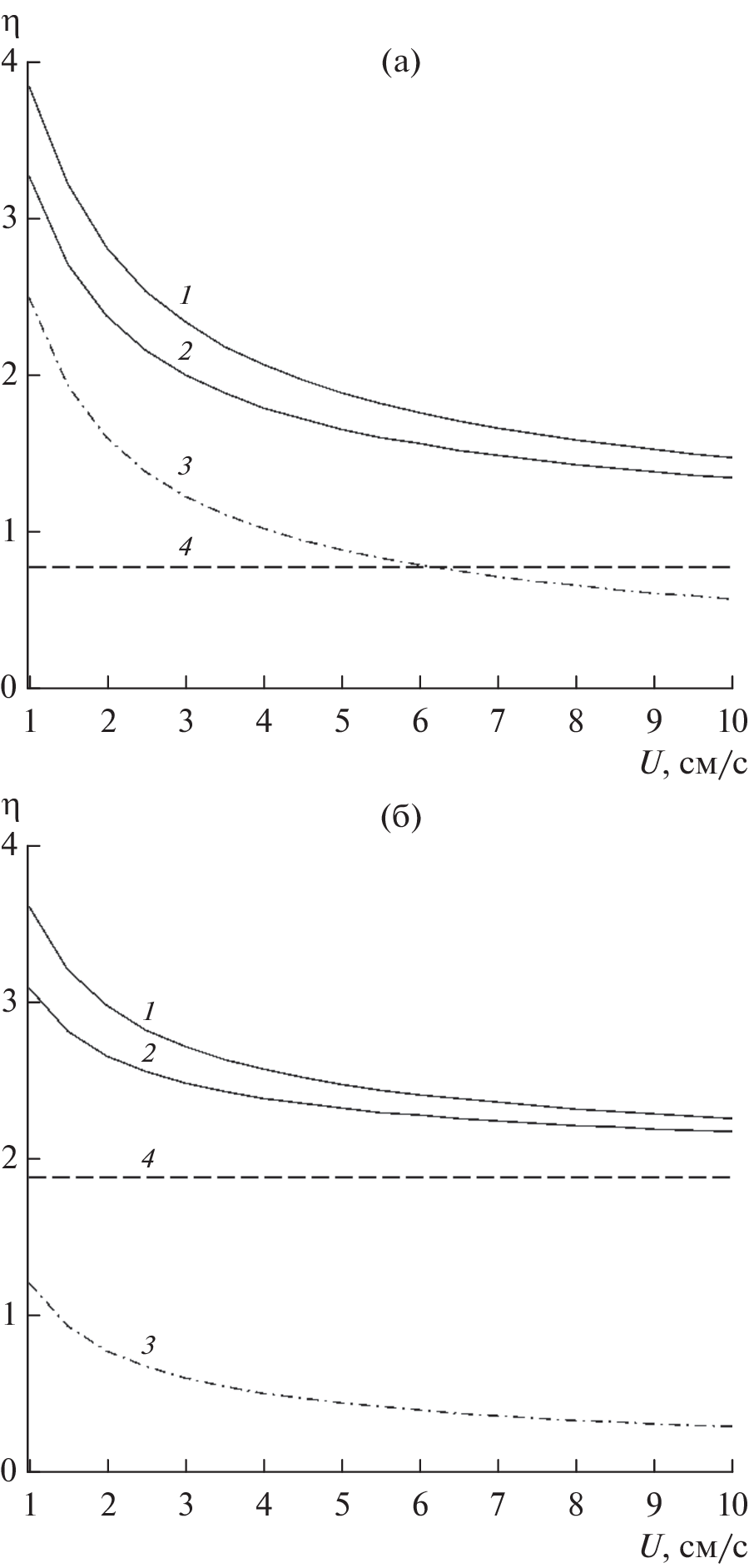
The deposition of aerosol particles from a Stokes flow in filters composed of nanofibers has been considered at Knudsen numbers Kn ∼ 1. The efficiency of particle collection by model filters with 2D and 3D structures has been determined by numerical simulation as depending on particle radius rp , filter parameters (nanofiber radius a, packing density α and filter thickness), and filtration conditions taking into account the gas slip at the fibers.
It has been shown that the efficiencies of particle collection by nanofibers in model 2D and 3D filters are almost equal at the same low packing density < 0.02. It has been found that the dependence of the penetration of particles on their radius at a constant velocity on the order of several centimeters per second and at Kn ∼ 1 passes through a maximum, which corresponds to particle radius rp ∼ a. The calculated sizes of the most penetrating particles agree with experimental data. The results obtained will be used when selecting aerosols for testing nanofibrous filters.
Sobre autores
V. KIRSH
Frumkin Institute of Physical Chemistry and Electrochemistry, Russian Academy of Sciences, Moscow, Russia.
Email: va_kirsch@mail.ru
Россия, 119071, Москва,
Ленинский просп. 31, корп. 4
A. KIRSH
National Research Centre Kurchatov Institute, Moscow, Russia
Autor responsável pela correspondência
Email: aa-kirsh@yandex.ru
Россия, 123182, Москва, пл. Академика Курчатова, 1
Bibliografia
- Черняков А.Л., Кирш А.А. Эффективность фильтрации волокнистыми материалами с неоднородным распределением зарядов на волокнах // Коллоид. журн. 2015. Т. 77. С. 792‒801.
- Петрянов И.В., Кощеев В.С., Басманов П.И. и др. “Лепесток” – легкие респираторы. Издание 2-е, М.: Наука, 2015.
- Кирш А.А., Кирш В.А. Улавливание аэрозольных частиц фильтрами из волокон, покрытых слоями вискеров // Коллоид. журн. 2019. Т. 81. № 6. С. 706‒716.
- Xia T., Bian Y., Zhang L., Chen C. Relationship between pressure drop and face velocity for electrospun nanofiber filters // Energy and Buildings. 2018. V. 158. P. 987‒999.
- Hung C.H., Leung W.W.F. Filtration of nano-aerosol using nanofiber filter under low Peclet number and transitional flow regime // Separation and Purification Techn. 2011. V. 79. № 1. P. 34‒42.
- Kim H.B., Lee W.J., Choi S.C., Lee K.E., Lee M.N. Filter quality factors of fibrous filters with different fiber diameter // Aerosol Sci. Techn. 2021. V. 55. № 2. P. 154‒166.
- Кирш В.А., Кирш А.А. Улавливание наноаэрозолей фильтрами из нановолокон // Коллоид. журн. 2021. Т. 83. № 6. С. 651‒659.
- Kirsch A.A., Stechkina I.B. The theory of aerosol filtration with fibrous filters, Ch. 4, in Fundamentals of Aerosol Science / Ed. By Shaw D.T. N.Y.: Wiley-Interscience, 1978. P. 165‒256.
- Choi H.Y., Kumita M., Seto T., Inui Y., Bao L., Fujimoto T., Otani Y. Effect of slip flow on the pressure drop of nanofiber filters // J. Aerosol Sci. 2017. V. 114. P. 244‒249.
- Kuwabara S. The forces experienced by randomly distributed parallel circular cylinders or spheres in a viscous flow at small Reynolds numbers // J. Phys. Soc. Jpn. 1959. V. 14. № 4. P. 527‒532.
- Кирш В.А. Гидродинамическое сопротивление трехмерных модельных волокнистых фильтров // Коллоид. журн. 2006. Т. 68. № 3. С. 293‒298.
- Кирш В.А. Осаждение аэрозольных наночастиц в волокнистых фильтрах // Коллоид. журн. 2003. Т. 65. № 6. С. 795‒801.
- Ландау Л.Д., Лифшиц И.М. Теоретическая физика, Т. 6 Гидродинамика. Издание 4-е, М.: Наука, 1988.
- Albertoni S., Cercignani C., Gotusso L. Numerical evaluation of the slip coefficient // Phys. Fluids. 1963. V. 6. № 7. P. 993‒996.
- Ролдугин В.И., Кирш А.А., Емельяненко А.М. Моделирование аэрозольных фильтров при промежуточных числах Кнудсена // Коллоид. журн. 1999. Т. 61. № 4. С. 530‒542.
- Левич В.Г. Физико-химическая гидродинамика. М.: ГИФМЛ, 1959.
- Берковский Б.М., Полевиков В.К. Вычислительный эксперимент в конвекции. Минск: “Университетское”, 1988.
- Kirsch A.A., Stechkina I.B., Fuchs N.A. Effect of gas slip on the pressure drop in a system of parallel cylinders // J. Colloid Interface Sci. 1971. V. 37. № 2. P. 458‒461.
- Pich J. Pressure drop of fibrous filters at small Knudsen Numbers // Ann. Occup. Hyg. 1966. V. 9. № 1. P. 23‒27.
- Стечкина И.Б., Фукс Н.А. Исследование в области волокнистых аэрозольных фильтров. Расчeт диффузионного осаждения аэрозолей в волокнистых фильтрах // Коллоид. журн. 1967. Т. 29. № 2. С. 260‒265.
- Кирш В.А. Осаждение субмикронных аэрозольных частиц в фильтрах из ультратонких волокон // Коллоид. журн. 2004. Т. 66. № 3. С. 352‒357.
- Кирш А.А., Фукс Н.А. Исследования в области волокнистых аэрозольных фильтров. Диффузионное осаждение аэрозолей // Коллоид. журн. 1968. Т. 30. № 6. С. 836‒841.
- Davies C.N. The separation of airborne dust and particles // Proc. Inst. Mech. Engineers, London. 1952. V. 167. № 5. P. 185‒213.
- Reai M., Drolet F., Vidal D., Vadeiko I., Bertrand F. A Lattice Boltzmann approach for predicting the capture efficiency of random fibrous media // Asia-Pacific J. Chem. Eng. 2011. V. 6. № 1. P. 29‒37.
- Lee K.W., Liu B.Y.H. Theoretical study of aerosol filtration by fibrous filters // Aerosol Sci. Techn. 1982. V. 1. № 2. P. 147‒161.
- Кирш В.А., Кирш А.А. Влияние наноиголочек на волокнах и частицах на эффективность фильтрации аэрозолей // Коллоид. журн. 2021. Т. 83. № 3. С. 293‒301.
Arquivos suplementares










