ON THE SIGNIFICANCE OF SELECTING HYDROPHOBIZATION CONDITIONS FOR OBTAINING STABLE SUPERHYDROPHOBIC COATINGS
- Authors: KUZINA E.A.1, OMRAN F.S.1, EMELYANENKO A.M.1, BOINOVICH L.B.1
-
Affiliations:
- Frumkin Institute of Physical Chemistry and Electrochemistry, Russian Academy of Sciences, Moscow, Russia
- Issue: Vol 85, No 1 (2023)
- Pages: 63-70
- Section: Articles
- Submitted: 16.10.2023
- Published: 01.01.2023
- URL: https://journal-vniispk.ru/0023-2912/article/view/137199
- DOI: https://doi.org/10.31857/S0023291222600614
- EDN: https://elibrary.ru/KEVWVV
- ID: 137199
Cite item
Full Text
Abstract
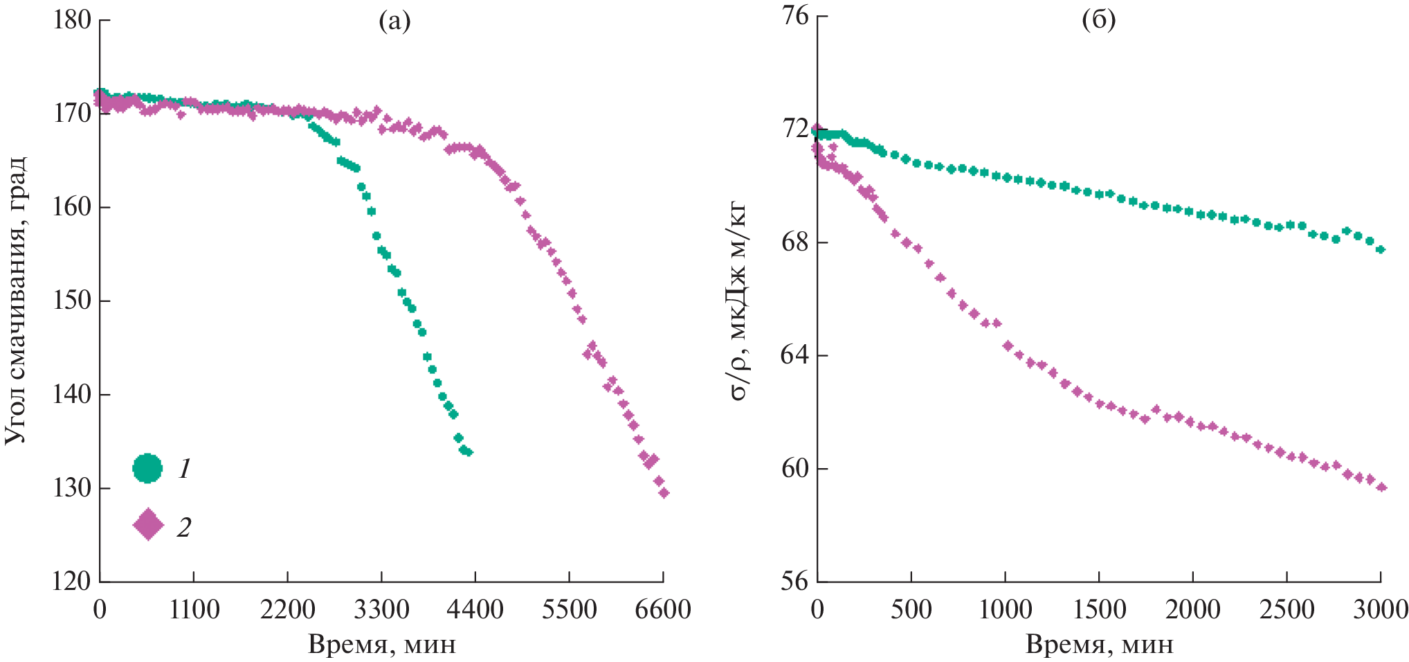
A method has been described for obtaining superhydrophobic coatings on the surfaces of tungsten and D16 aluminum alloy using nanosecond laser treatment followed by chemical deposition of fluorooxysilane from a vaporous phase. It has been shown by the examples of aluminum and tungsten that, in order to obtain chemically stable coatings, it is necessary to select sample preparation conditions for applying the hydrophobizer individually for each material. Varying the time of surface pretreatment with oxygen plasma makes it possible to controllably change the density of surface adsorption sites and control the chemical stability of the hydrophobizer layer and, hence, the coating as a whole. Superhydrophobic coatings with contact angles of larger than 170° have been obtained on the studied metals, with contact angles remaining preserved during a long-term continuous contact with aqueous media.
About the authors
E. A. KUZINA
Frumkin Institute of Physical Chemistry and Electrochemistry, Russian Academy of Sciences, Moscow, Russia
Email: kuzina.katya26.01@gmail.com
Россия, 119071, Москва,
Ленинский просп., 31, корп. 4
F. SH. OMRAN
Frumkin Institute of Physical Chemistry and Electrochemistry, Russian Academy of Sciences, Moscow, Russia
Email: kuzina.katya26.01@gmail.com
Россия, 119071, Москва,
Ленинский просп., 31, корп. 4
A. M. EMELYANENKO
Frumkin Institute of Physical Chemistry and Electrochemistry, Russian Academy of Sciences, Moscow, Russia
Email: kuzina.katya26.01@gmail.com
Россия, 119071, Москва,
Ленинский просп., 31, корп. 4
L. B. BOINOVICH
Frumkin Institute of Physical Chemistry and Electrochemistry, Russian Academy of Sciences, Moscow, Russia
Author for correspondence.
Email: kuzina.katya26.01@gmail.com
Россия, 119071, Москва,
Ленинский просп., 31, корп. 4
References
- Rico V., Mora J., García P., Agüero A., Borrás A., González-Elipe A.R., López-Santos C. Robust anti-icing superhydrophobic aluminum alloy surfaces by grafting fluorocarbon molecular chains // Applied Materials Today. 2020. V. 21. P. 100815. https://doi.org/10.1016/j.apmt.2020.100815
- Piscitelli F., Chiariello A., Dabkowski D., Corraro G., Marra F., Di Palma L. Superhydrophobic coatings as anti-icing systems for small aircraft // Aerospace. 2020. V. 7. № 1. P. 2. https://doi.org/10.3390/aerospace7010002
- Balordi M., Cammi A., De Magistris G.S., Chemelli C. Role of micrometric roughness on anti-ice properties and durability of hierarchical super-hydrophobic aluminum surfaces // Surface and Coatings Technology. 2019. V. 374. P. 549–556. https://doi.org/10.1016/j.surfcoat.2019.06.001
- Rasitha T.P., Vanithakumari S.C., Krishna D.N.G., George R.P., Srinivasan R., Philip J. Facile fabrication of robust superhydrophobic aluminum surfaces with enhanced corrosion protection and antifouling properties // Progress in Organic Coatings. 2022. V. 162. P. 106560. https://doi.org/10.1016/j.porgcoat.2021.106560
- Trávníčková E., Pijakova B., Marešová D., Bláha L. Antifouling performance of photocatalytic superhydrophobic coatings against Klebsormidium alga // Journal of Environmental Chemical Engineering. 2020. V. 8. № 5. P. 104153. https://doi.org/10.1016/j.jece.2020.104153
- Xu S., Wang Q., Wang N., Zheng X. Fabrication of su-perhydrophobic green surfaces with good self-cleaning, chemical stability and anti-corrosion properties // Journal of Materials Science. 2019. V. 54. № 19. P. 13006–13016. https://doi.org/10.1007/s10853-019-03789-x
- Уколов А.И., Попова Т.Н. Эффективность применения коммерческих супергидрофобных покрытий в приложениях морской индустрии // Колло-ид. журн. 2022. Т. 84. № 4. С. 475–487. https://doi.org/10.31857/S0023291222040115
- Yao W., Liang W., Huang G., Jiang B., Atrens A., Pan F. Superhydrophobic coatings for corrosion protection of magnesium alloys // Journal of Materials Science & Technology. 2020. V. 52. P. 100–118. https://doi.org/10.1016/j.jmst.2020.02.055
- Lu Y., Guan Y., Li Y., Yang L., Wang M., Wang Y. Nanosecond laser fabrication of superhydrophobic surface on 316L stainless steel and corrosion protection application // Colloids and Surfaces A: Physicochemical and Engineering Aspects. 2020. V. 604. P. 125259. https://doi.org/10.1016/j.colsurfa.2020.125259
- Коляганова О.В., Дуридивко М.О., Климов В.В., Ле М.Д., Харламов В.О., Брюзгин Е.В., Навроцкий А.В., Новаков И.А. Высоко- и супергидрофобные покрытия на основе льняного масла и сополимеров глицидилметакрилата и (фтор)алкилметакрилатов для поверхности древесины // Коллоид. журн. 2022. Т. 84. № 4. С. 421–432. https://doi.org/10.31857/S0023291222040073
- Boinovich L.B., Emelyanenko A.M. The behaviour of fluoro- and hydrocarbon surfactants used for fabrication of superhydrophobic coatings at solid/water interface // Colloids and Surfaces A: Physicochemical and Engineering Aspects. 2015. V. 481. P. 167–175. https://doi.org/10.1016/j.colsurfa.2015.05.003
- Kulinich S.A., Honda M., Zhu A.L., Rozhin A.G., Du X.W. The icephobic performance of alkyl-grafted aluminum surfaces // Soft Matter. 2015. V. 11. № 5. P. 856–861. https://doi.org/10.1039/C4SM02204A
- Boinovich L.B., Emelyanenko A.M., Pashinin A.S. Analysis of long-term durability of superhydrophobic properties under continuous contact with water // ACS Applied Materials & Interfaces. 2010. V. 2. № 6. P. 1754–1758. https://doi.org/10.1021/am100241s
- Zhang C., Liang F., Zhang W., Liu H., Ge M., Zhang Y., Tang Y. Constructing mechanochemical durable and self-healing superhydrophobic surfaces // ACS Omega. 2020. V. 5. № 2. P. 986–994. https://doi.org/10.1021/acsomega.9b03912
- Boinovich L.B., Modin E.B., Sayfutdinova A.R., Emelyanenko K.A., Vasiliev A.L., Emelyanenko A.M. Combination of functional nanoengineering and nanosecond laser texturing for design of superhydrophobic aluminum alloy with exceptional mechanical and chemical properties // ACS Nano. 2017. V. 11. № 10. P. 10113–10123. https://doi.org/10.1021/acsnano.7b04634
- Sebastian D., Yao C.W., Lian I. Mechanical durability of engineered superhydrophobic surfaces for anti-corrosion // Coatings. 2018. V. 8. № 5. P. 162. https://doi.org/10.3390/coatings8050162
- Рудакова А.В. Фотоиндуцированное изменение гидрофильности поверхности тонких пленок // Коллоид. журн. 2021. Т. 83. № 1. С. 3–34. https://doi.org/10.31857/S0023291221010109
- Sataeva N.E., Boinovich L.B., Emelyanenko K.A., Domantovsky A.G., Emelyanenko A.M. Laser-assisted processing of aluminum alloy for the fabrication of superhydrophobic coatings withstanding multiple degradation factors // Surface and Coatings Technology. 2020. V. 397. P. 125993. https://doi.org/10.1016/j.surfcoat.2020.125993
- Latthe S.S., Sutar R.S., Kodag V.S., Bhosale A.K., Kumar A.M., Sadasivuni K.K., Liu S. Self-cleaning supe-rhydrophobic coatings: Potential industrial applications // Progress in Organic Coatings. 2019. V. 128. P. 52–58. https://doi.org/10.1016/j.porgcoat.2018.12.008
- Ijaola A.O., Farayibi P.K., Asmatulu E. Superhydrophobic coatings for steel pipeline protection in oil and gas industries: a comprehensive review // Journal of Natural Gas Science and Engineering. 2020. V. 83. P. 103544. https://doi.org/10.1016/j.jngse.2020.103544
- Кузина Е.А., Емельяненко К.А., Домантовский А.Г., Емельяненко А.М., Бойнович Л.Б. Получение стойких супергидрофобных покрытий на поверхности краски с применением лазерной обработки и нанесения гидрофобизатора // Коллоид. журн. 2022. Т. 84. № 4. С. 453–464. https://doi.org/10.31857/S0023291222040097
- Zheng H., Ou J.Z., Strano M.S., Kaner R.B., Mitchell A., Kalantar-zadeh K. Nanostructured tungsten oxide-properties, synthesis, and applications // Adv. Funct. Mater. 2011. V. 21. № 12. P. 2175–2196. https://doi.org/10.1002/adfm.201002477
Supplementary files







