SELF-ASSEMBLY AND PHOTOINDUCED DEFORMATION OF MICROSPHERES OF AN AZO MOLECULE CONTAINING A 1,4,3,6-DIANHYDROSORBITOL CORE AND CINNAMATE PERIPHERAL GROUPS
- Autores: Ai X.T.1, Wang L.E.1, Luo X.1, Tang B.1, Li S.L.1, Zhu H.E.1, Tang H.L.1, Li Y.B.1, Yang C.L.1, Lv W.Y.1
-
Afiliações:
- College of Materials Science and Engineering, Chongqing University of Technology, Chongqing, P. R. China
- Edição: Volume 85, Nº 2 (2023)
- Páginas: 139-149
- Seção: Articles
- ##submission.dateSubmitted##: 16.10.2023
- ##submission.datePublished##: 01.03.2023
- URL: https://journal-vniispk.ru/0023-2912/article/view/137201
- DOI: https://doi.org/10.31857/S0023291223700040
- EDN: https://elibrary.ru/UUZTWI
- ID: 137201
Citar
Texto integral
Resumo
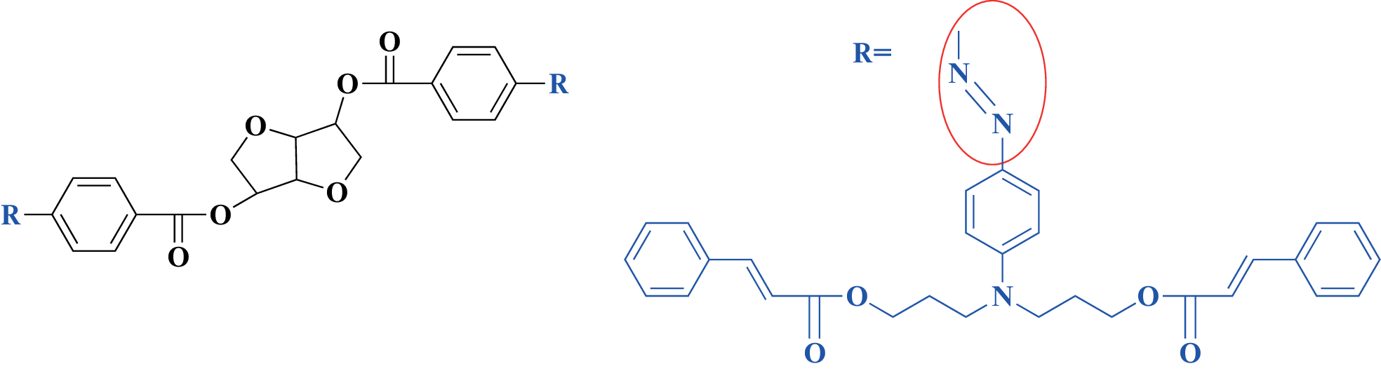
This study investigated the controllable fabrication of anisotropic particles with different sizes and morphologies via self-assembly and photoinduced deformation of azo colloidal microspheres, which were formed from a typical azo molecular material (IAC-4) that contains a 1,4,3,6-dianhydrosorbitol core and the cinnamate peripheral groups. Firstly, azo colloidal microspheres were obtained by self-assembly via gradually adding deionized water into IAC-4 solution of tetrahydrofuran. For precisely controlling the length of short axis of anisotropic particles, IAC-4 colloidal microspheres with different and uniform sizes were obtained by adjusting the IAC-4 concentration, adding rate of water and stirring rate. The size of colloidal microspheres becomes smaller with the increase in IAC-4 concentration, the adding rate of water and the stirring rate. Finally, IAC-4 colloidal microspheres in the solid state, perpendicularly irradiated by the linearly polarized laser beam (λ = 488 nm), were irreversibly and controllably stretched into anisotropic particles with the different morphologies, length of long axis and axial ratio via adjusting the irradiation time and the power of laser beam.
Palavras-chave
Sobre autores
X. Ai
College of Materials Science and Engineering, Chongqing University of Technology, Chongqing, P. R. China
Email: hailong.tang@cqut.edu.cn
КНР, 401320, Чунцин
L. Wang
College of Materials Science and Engineering, Chongqing University of Technology, Chongqing, P. R. China
Email: hailong.tang@cqut.edu.cn
КНР, 401320, Чунцин
X. Luo
College of Materials Science and Engineering, Chongqing University of Technology, Chongqing, P. R. China
Email: hailong.tang@cqut.edu.cn
КНР, 401320, Чунцин
B. Tang
College of Materials Science and Engineering, Chongqing University of Technology, Chongqing, P. R. China
Email: tangbo@cqut.edu.cn
КНР, 401320, Чунцин
S. Li
College of Materials Science and Engineering, Chongqing University of Technology, Chongqing, P. R. China
Email: hailong.tang@cqut.edu.cn
КНР, 401320, Чунцин
H. Zhu
College of Materials Science and Engineering, Chongqing University of Technology, Chongqing, P. R. China
Email: hailong.tang@cqut.edu.cn
КНР, 401320, Чунцин
H. Tang
College of Materials Science and Engineering, Chongqing University of Technology, Chongqing, P. R. China
Email: hailong.tang@cqut.edu.cn
КНР, 401320, Чунцин
Y. Li
College of Materials Science and Engineering, Chongqing University of Technology, Chongqing, P. R. China
Email: hailong.tang@cqut.edu.cn
КНР, 401320, Чунцин
C. Yang
College of Materials Science and Engineering, Chongqing University of Technology, Chongqing, P. R. China
Email: hailong.tang@cqut.edu.cn
КНР, 401320, Чунцин
W. Lv
College of Materials Science and Engineering, Chongqing University of Technology, Chongqing, P. R. China
Autor responsável pela correspondência
Email: hailong.tang@cqut.edu.cn
КНР, 401320, Чунцин
Bibliografia
- Kumar G.S., Neckers D.C. Photochemistry of azobenzene-containing polymers // Chem. Rev. 1989. V. 89. P. 1915–1925.
- Natansohn A., Rochon P. Photoinduced motions in azo-containing polymers // Chem. Rev. 2002. V. 102. P. 4139–4176.
- Lee S., Kang H.S., Park J.K. Directional photofluidization lithography: micro/nanostructural evolution by photofluidic motions of azobenzene materials // Adv. Mater. 2012. V. 24. P. 2069–2103.
- Akbas H., Aydemir M. Interfacial and micellar properties of anionic azo dye-surfactant binary systems // Colloid Journal. 2008. V. 70. P. 541–548.
- Rochon P., Batalla E., Natansohn A. Optically induced surface gratings on azoaromatic polymer films // Appl. Phys. Lett. 1995. V. 66. P. 136–138.
- Kim D.Y., Tripathy S.K., Li L., Kumar J. Laser-induced holographic surface relief gratings on nonlinear optical polymer films // Appl. Phys. Lett. 1995. V. 66. P. 1166–1168.
- Wang D.R., Wang X.G. Amphiphilic azo polymers: molecular engineering, self-assembly and photoresponsive properties // Prog. Polym. Sci. 2013. V. 38. P. 271–301.
- He X.Z., Gao Y.F., Zheng J.J., Li X.Y., Meng F.B., Hu J.S. Chiral photosensitive side-chain liquid crystalline polymers – synthesis and characterization // Colloid Polym. Sci. 2016. V. 294. P. 1823–1832.
- Tian J.W., Liu Z.T., Wu C.C., Jiang W.L., Chen L.L., Shi D.D., Zhang X.S., Zhang G.X., Zhang D.Q. Simultaneous incorporation of two types of azo-groups in the side chains of a conjugated D–A polymer for logic control of the semiconducting performance by light irradiation // Adv. Mater. 2021. V. 33. P. 2005613.
- Wang Z.N., Huang H., Hsu C., Wang X.G. Azo molecular glass patterning from chiral submicron pillar array to self-organized topographic transition via irradiation with circularly polarized light // Adv. Optical. Mater. 2021. V. 9. P. 2100922.
- Younis M., Long J., Peng S., Wang X., Chai C.P., Bogliott N., Huang M. Reversible transformation between azo and azonium bond other than photoisomerization of azo bond in main-chain polyazobenzenes // J. Phys. Chem. Lett. 2021. V. 12. P. 3655–3661.
- Ke K., Du Z., Chang X., Ren B. A dual stimuli-responsive amphiphilic polymer: reversible self-assembly and rate-controlled drug release // Colloid Polym. Sci. 2017. V. 295. P. 1851–1861.
- Hu D.W., Chang X.H., Xu Y.Q., Yu Q.L., Zhu Y.T. Light-enabled reversible shape transformation of block copolymer particles // ACS Macro. Lett. 2021. V. 10. P. 914–920.
- Rochon P., Bissonnette D., Natansohn A., Xie S. Azo polymers for reversible optical storage. III. Effect of film thickness on net phase retardation and writing speed // Appl. Optics. 1993. V. 32. P. 7277–7280.
- Ikeda T., Mamiya J.I., Yu Y.L. Photomechanics of liquid-crystalline elastomers and other polymers. Angew // Chem. Int. Ed. 2007. V. 46. P. 506–528.
- Young K.L., Ross M.B., Blaber M.G., Rycenga M., Jones M.R., Zhang C., Senesi A.J., Lee B., Schatz G.C., Mirkin C.A. Using DNA to design plasmonic metamaterials with tunable optical properties // Adv. Mater. 2014. V. 26. P. 653–659.
- Rhodes R., Asghar S., Krakow R., Horie M., Wang Z., Turner M.L., Saunders B.R. Hybrid polymer solar cells: from the role colloid science could play in bringing deployment closer to a study of factors affecting the stability of non-aqueous ZnO dispersions // Colloids Surf. A: Physicochem. Eng. Aspects. 2009. V. 343. P. 50–56.
- Nagarwal R.C., Kant S., Singh P.N., Maiti P., Pandit J.K. Polymeric nanoparticulate system: a potential approach for ocular drug delivery // J. Control. Release. 2009. V. 136. P. 2–13.
- Tang B., Gao E.L., Xiong Z.Y., Dang B., Xu Z.P., Wang X.G. Transition of graphene oxide from nanomembrane to nanoscroll mediated by organic solvent in dispersion // Chem. Mater. 2018. V. 30. P. 5951–5960.
- Glotzer S.C., Solomon M.J. Anisotropy of building blocks and their assembly into complex structures // Nat. Mater. 2007. V. 6. P. 557–562.
- Wang Y., Wang Y.F., Zheng X.L., Yi G., Sscanna S., Pine D.J., Weck M. Three-dimensional lock and key colloids // J. Am. Chem. Soc. 2014. V. 136. P. 6866–6869.
- Deng Y.H., Zhao H.J., Qian Y., Lu L., Wang B.B., Qiu X.Q. Hollow lignin azo colloids encapsulated avermectin with high anti-photolysis and controlled release performance // Ind. Crop. Prod. 2016. V. 87. P. 191–197.
- Nakano H., Takahashi T., Kadota T., Shirota Y. Formation of a surface relief grating using a novel azobenzene-based photochromic amorphous molecular material // Adv. Mater. 2002. V. 14. P. 1157–1160.
- Ishow E., Bellaiche C., Bouteiller L., Nakatani K., Delaire J.A. Versatile synthesis of small NLO-active molecules forming amorphous materials with spontaneous second-order NLO response // J. Am. Chem. Soc. 2003. V. 125. P. 15744–15745.
- Tang B., Xiong Z.Y., Yun X.W., Wang X.G. Rolling up graphene oxide sheets through solvent-induced self-assembly in dispersions // Nanoscale. 2018. V. 10. P. 4113–4122.
- Guo M.C., Xu Z.D., Wang X.G. Photofabrication of two-dimensional quasi-crystal patterns on UV-curable molecular azo glass films // Langmuir. 2008. V. 24. P. 2740–2745.
- Tang B., Zhou Y.Q., Xiong Z.Y., Wang X.G. Photodeformable microspheres from an azo molecule containing a 1,4,3,6-dianhydrosorbitol core and cinnamate peripheral groups // RSC Adv. 2016. V. 6. P. 64203–64207.
- Tang B., Huang H., Wu B., Li X., Wang X.G. Self-assembled azo molecular glass microspheres with rapid photoinduced deformation // Chem. Res. Chin. Univ. 2019. V. 40. P. 548–554.
- Li Y.B., He Y.N., Tong X.L., Wang X.G. Photoinduced deformation of amphiphilic azo polymer colloidal spheres // J. Am. Chem. Soc. 2005. V. 127. P. 2402–2403.
- Eghrary S.H., Zarghami R., Martinez F., Jouyban A. Solubility of 2-butyl-3-benzofuranyl 4-(2-(diethylamino)ethoxy)-3,5-diiodophenyl ketone hydrochloride (Amiodarone HCl) in ethanol + water and N-methyl-2-pyrrolidone + water mixtures at various temperatures // J. Chem. Eng. Data. 2012. V. 57. P. 1544–1550.
- Jouyban A. Review of the cosolvency models for predicting solubility of drugs in water–cosolvent mixtures // J. Pharm. Sci. 2008. V. 11. P. 32–58.
- Ma H., Qu Y., Zhou Z., Wang S., Li L. Solubility of thiotriazinone in binary solvent mixtures of water + methanol and water + ethanol from (283 to 330) K // J. Chem. Eng. Data. 2012. V. 57. P. 2121–2127.
Arquivos suplementares










