STABILITY OF SOME SILICONE LUBRICATING INTERLAYERS IN LIQUID-INFUSED COATINGS
- Authors: EMELYANENKO K.A.1, FEOKTISTOVA L.S.1, LUNEV I.V.2, GALIULLIN A.A.2, MALYSHKINA I.A.3, KRASOVSKIY V.G.4
-
Affiliations:
- Frumkin Institute of Physical Chemistry and Electrochemistry, Russian Academy of Sciences, Moscow, Russia.
- Institute of Physics, Kazan Federal University, Kazan, Russia
- Department of Fundamental Physical and Chemical Engineering, Moscow State University, Moscow, 119991 Russia
- Zelinsky Institute of Organic Chemistry, Russian Academy of Sciences, Moscow, Russia
- Issue: Vol 85, No 3 (2023)
- Pages: 277-286
- Section: Articles
- Submitted: 16.10.2023
- Published: 01.05.2023
- URL: https://journal-vniispk.ru/0023-2912/article/view/137217
- DOI: https://doi.org/10.31857/S0023291223600335
- EDN: https://elibrary.ru/ZQTACY
- ID: 137217
Cite item
Full Text
Abstract
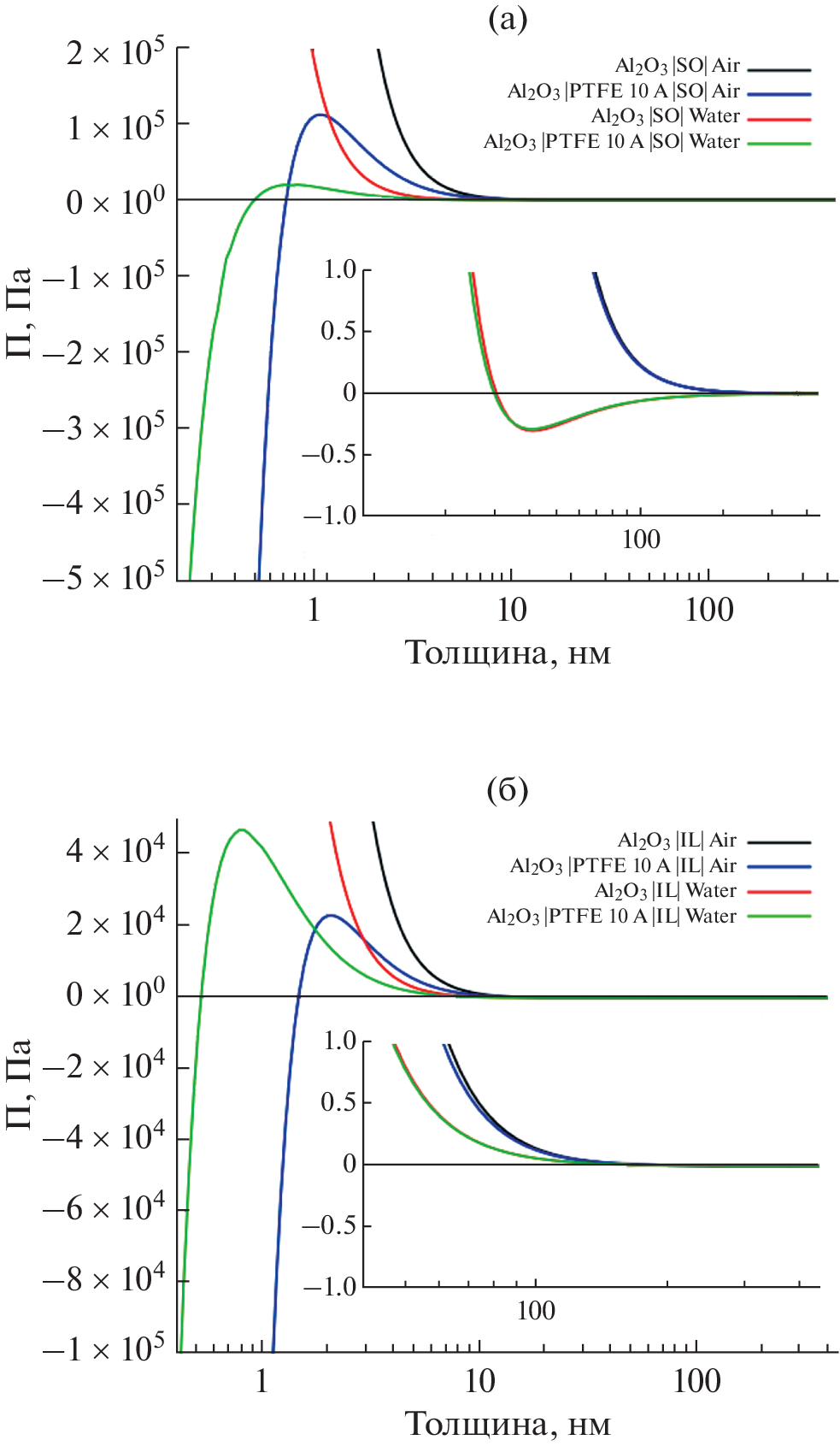
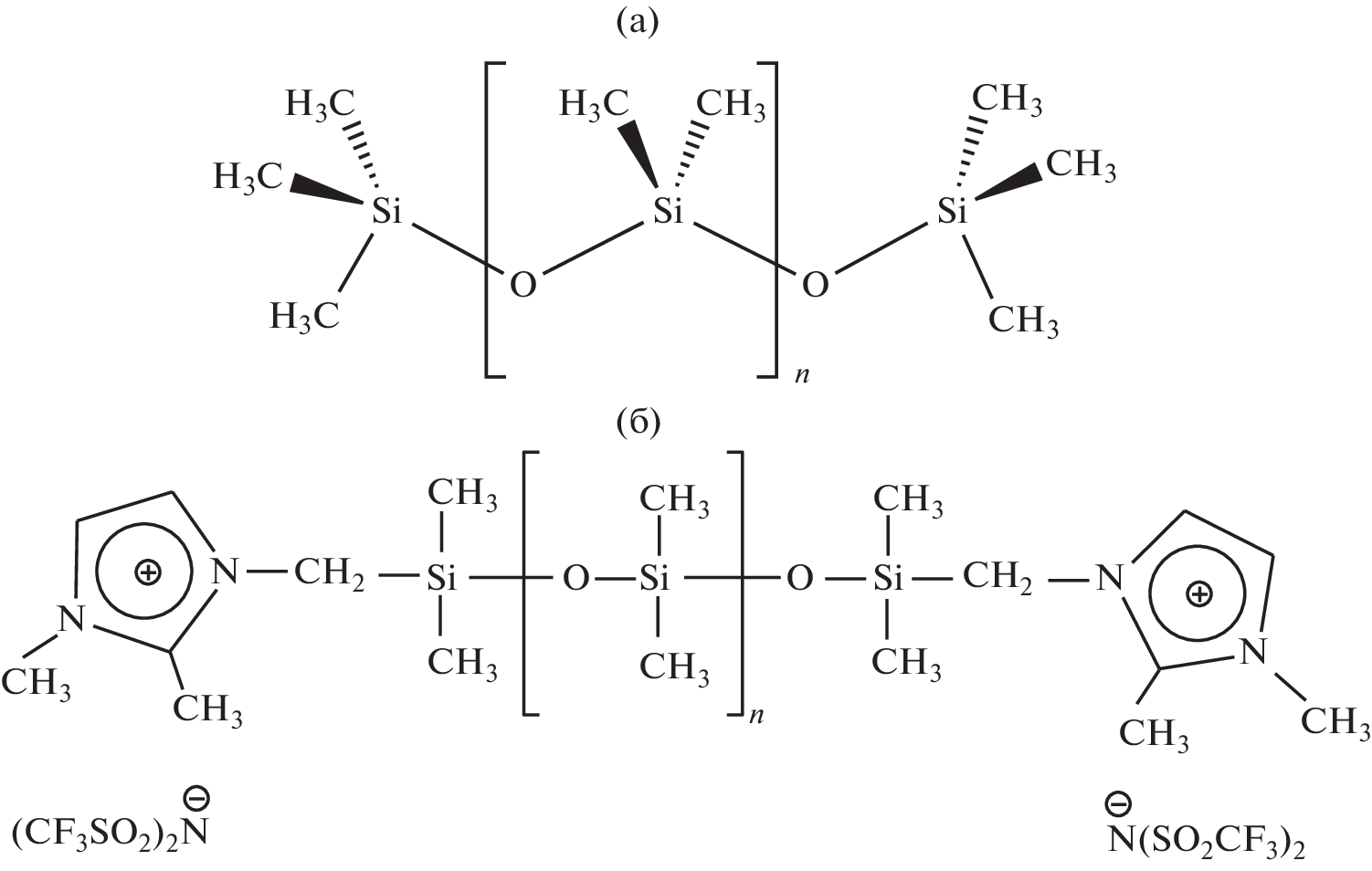
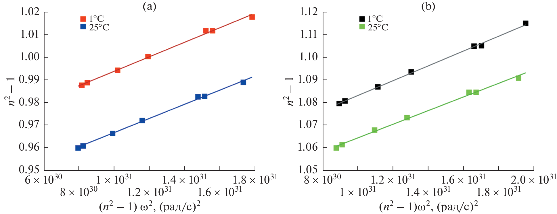
One of the most actively developing research areas in materials science relevant to polyfunctional coatings is the creation of slippery liquid-infused porous surfaces (SLIPS) based on porous hydrophobic or hydrophilic materials filled with low-volatility viscous liquids (lubricants). In the present work, we have investigated the possibility of using two organosilicon liquids of different polarities, bis(trifluoromethylsulfonyl)imide dicationic ionic liquid and silicone oil, as lubricants for fabricating slippery coatings that reduce the adhesion of solid and liquid aqueous precipitations to aluminium oxide substrates. To calculate the stability of the films of such lubricants, we have employed the theory of van der Waals forces to study the refractive index dispersions and the dielectric properties of the liquids in the region of microwave relaxation. On the basis of experimentally obtained data, the dielectric permittivity spectra have been calculated as functions of imaginary frequency for the entire spectral range, as well as the contribution of the van der Waals forces to the stability of the disjoining pressure isotherms of the lubricant films on the hydrophobic and hydrophilic aluminium oxide substrates. The disjoining pressure isotherms obtained in this work have indicated that the ionic liquid used to prepare slippery coatings is a more durable lubricant than silicone oil, because its films retain their stability when the vapor phase is replaced by an aqueous medium over a wider range of thickness.
About the authors
K. A. EMELYANENKO
Frumkin Institute of Physical Chemistry and Electrochemistry, Russian Academy of Sciences, Moscow, Russia.
Email: emelyanenko.kirill@gmail.com
Россия, 119991, Москва, Ленинский просп., 31 корп. 4
L. S. FEOKTISTOVA
Frumkin Institute of Physical Chemistry and Electrochemistry, Russian Academy of Sciences, Moscow, Russia.
Email: emelyanenko.kirill@gmail.com
Россия, 119991, Москва, Ленинский просп., 31 корп. 4
I. V. LUNEV
Institute of Physics, Kazan Federal University, Kazan, Russia
Email: emelyanenko.kirill@gmail.com
Россия, 420008, Казань, ул. Кремлевская, 18
A. A. GALIULLIN
Institute of Physics, Kazan Federal University, Kazan, Russia
Email: emelyanenko.kirill@gmail.com
Россия, 420008, Казань, ул. Кремлевская, 18
I. A. MALYSHKINA
Department of Fundamental Physical and Chemical Engineering, Moscow State University, Moscow, 119991 Russia
Email: emelyanenko.kirill@gmail.com
Россия, 119991, Москва, Ленинские горы, 1
V. G. KRASOVSKIY
Zelinsky Institute of Organic Chemistry, Russian Academy of Sciences, Moscow, Russia
Author for correspondence.
Email: emelyanenko.kirill@gmail.com
Россия, 119991, Москва, Ленинский просп., 47
References
- Kreder M.J., Alvarenga J., Kim P., Aizenberg J. Design of anti-icing surfaces: Smooth, textured or slippery? // Nature Reviews Materials. 2016. V. 1. № 1. P. 15003. https://doi.org/10.1038/natrevmats.2015.3
- Emelyanenko K.A., Emelyanenko A.M., Boinovich L.B. Review of the state of the art in studying adhesion phenomena at interfaces of solids with solid and liquid aqueous media // Colloid Journal. 2022. V. 84. № 3. P. 265–286. https://doi.org/10.1134/S1061933X22030036
- Peppou-Chapman S., Hong J.K., Waterhouse A., Neto C. Life and death of liquid-infused surfaces: A review on the choice, analysis and fate of the infused liquid layer // Chemical Society Reviews. 2020. V. 49. № 11. P. 3688–3715. https://doi.org/10.1039/D0CS00036A
- Scarratt L.R.J., Zhu L., Neto C. How slippery are slips? Measuring effective slip on lubricated surfaces with colloidal probe atmoc force microscopy // Langmuir. 2019. V. 35. № 8. P. 2976–2982. https://doi.org/10.1021/acs.langmuir.8b03767
- Emelyanenko K.A., Emelyanenko A.M., Boinovich L.B. Disjoining pressure analysis of the lubricant nanofilm stability of liquid-infused surface upon lubricant depletion // Journal of Colloid and Interface Science. 2022. V. 618. P. 121–128. https://doi.org/10.1016/j.jcis.2022.03.047
- Ganne A.A. On the issue of the stability of water-repellent infusion liquids on hydrophilic and hydrophobic silica substrates // Colloid Journal. 2022. V. 84. № 4. P. 411–415. https://doi.org/10.1134/S1061933X22040068
- Krasovskiy V.G., Glukhov L.M., Chernikova E.A., Kapustin G.I., Gorbatsevich O.B., Koroteev A.A., Kustov L.M. Dicationic polysiloxane ionic liquids // Russian Chemical Bulletin. 2017. V. 66. № 7. P. 1269–1277. https://doi.org/10.1007/s11172-017-1884-7
- Дерягин Б.В., Чураев Н.В., Муллер В.М. Поверхностные силы. М.: Наука, 1985.
- Boinovich L.B. Long-range surface forces and their role in the progress of nanotechnologies // Russian Chemical Reviews. 2007. V. 76. № 5. P. 471–488. https://doi.org/10.1070/RC2007v076n05ABEH003692
- Ландау Л.Д., Лифшиц Е.М. Электродинамика сплошных сред: Теоретическая физика: в 10 томах. Т. 8. М.: Наука, 1982.
- Parsegian V.A. Van der Waals Forces: A Handbook for Biologists, Chemists, Engineers, and Physicists. Cambridge University Press, 2005. https://doi.org/10.1017/CBO9780511614606
- Hough D.B., White L.R. The calculation of Hamaker constants from Liftshitz theory with applications to wetting phenomena // Advances in Colloid and Interface Science. 1980. V. 14. № 1. P. 3–41. https://doi.org/10.1016/0001-8686(80)80006-6
- Boinovich L.B., Emel’yanenko A.M. Alkane films on water: Stability and wetting transitions // Russian Chemical Bulletin. 2008. V. 57. № 2. P. 263–273. https://doi.org/10.1007/s11172-008-0041-8
- Fernández-Varea J.M., Garcia-Molina R. Hamaker constants of systems involving water obtained from a dielectric function that fulfills the f sum rule // Journal of Colloid and Interface Science. 2000. V. 231. № 2. P. 394–397. https://doi.org/10.1006/jcis.2000.7140
- Bergström L. Hamaker constants of inorganic materials // Advances in Colloid and Interface Science. 1997. V. 70. P. 125–169. https://doi.org/10.1016/S0001-8686(97)00003-1
- Faure B., Salazar-Alvarez G., Bergström L. Hamaker constants of iron oxide nanoparticles // Langmuir. 2011. V. 27. № 14. P. 8659–8664. https://doi.org/10.1021/la201387d
- Boinovich L., Emelyanenko A. Wetting behaviour and wetting transitions of alkanes on aqueous surfaces // Advances in Colloid and Interface Science. 2009. V. 147–148. P. 44–55. https://doi.org/10.1016/j.cis.2008.10.007
- Havriliak S., Negami S. A complex plane representation of dielectric and mechanical relaxation processes in some polymers // Polymer. 1967. V. 8. P. 161–210. https://doi.org/10.1016/0032-3861(67)90021-3
- Masuda T., Matsuki Y., Shimoda T. Spectral parameters and Hamaker constants of silicon hydride compounds and organic solvents // Journal of Colloid and Interface Science. 2009. V. 340. № 2. P. 298–305. https://doi.org/10.1016/j.jcis.2009.08.028
- Boinovich L.B., Modin E.B., Sayfutdinova A.R., Emelyanenko K.A., Vasiliev A.L., Emelyanenko A.M. Combination of functional nanoengineering and nanosecond laser texturing for design of superhydrophobic aluminum alloy with exceptional mechanical and chemical properties // ACS Nano. 2017. V. 11. № 10. P. 10113–10123. https://doi.org/10.1021/acsnano.7b04634
Supplementary files








