Dynamic Properties of Pulmonary Lipid Monolayers on the Surfaces of Sodium Polystyrene Sulfonate and Polydiallyldimethylammonium Chloride Solutions
- Autores: Bykov A.G.1, Panaeva M.A.1
-
Afiliações:
- Institute of Chemistry, St. Petersburg State University, 198504, St. Petersburg, Russia
- Edição: Volume 85, Nº 5 (2023)
- Páginas: 556-565
- Seção: Articles
- ##submission.dateSubmitted##: 16.10.2023
- ##submission.datePublished##: 01.09.2023
- URL: https://journal-vniispk.ru/0023-2912/article/view/137221
- DOI: https://doi.org/10.31857/S0023291223600505
- EDN: https://elibrary.ru/DGYIFV
- ID: 137221
Citar
Texto integral
Resumo
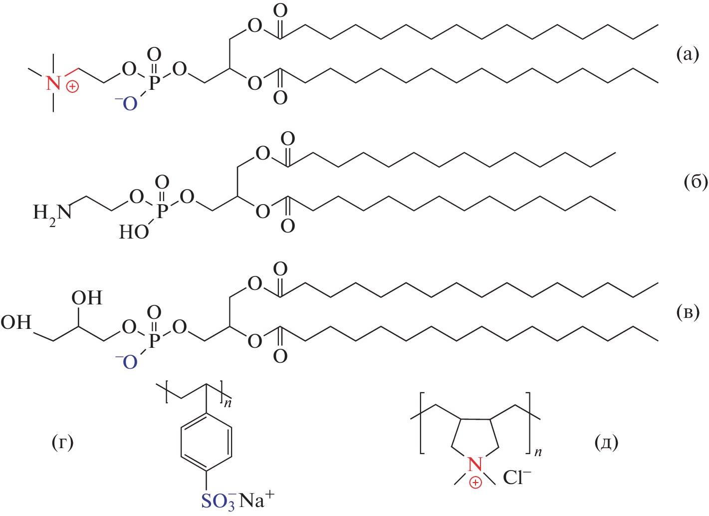
Pulmonary surfactant, which is a complex mixture of lipids and proteins, plays a key role in the functional properties of the respiratory system. Lipids form complexes with proteins to maintain low values of surface tension at continuous compression/expansion deformations. However, interactions that lead to the complexation still remain to be unknown thus significantly hampering the development of synthetic analogs of the natural pulmonary surfactant. In this work, the methods of surface rheology and ellipsometry have been employed to study the dynamic properties of model phospholipid monolayers applied onto the surfaces of synthetic polyelectrolyte solutions. It has been shown, that electrostatic or hydrophobic interactions between lipids and macromolecules are insufficient for the efficient complexation and maintenance of low surface tension values.
Palavras-chave
Sobre autores
A. Bykov
Institute of Chemistry, St. Petersburg State University, 198504, St. Petersburg, Russia
Email: ag-bikov@mail.ru
Россия, 198504, Санкт-Петербург,
Университетский просп., 26
M. Panaeva
Institute of Chemistry, St. Petersburg State University, 198504, St. Petersburg, Russia
Autor responsável pela correspondência
Email: ag-bikov@mail.ru
Россия, 198504, Санкт-Петербург,
Университетский просп., 26
Bibliografia
- Echaide M., Autilio C., Arroyo R., Perez-Gil J. Restoring pulmonary surfactant membranes and films at the respiratory surface // Biochim. Biophys. Acta (BBA) – Biomembranes. 2017. V. 1859. № 9. P. 1725–1739. https://doi.org/10.1016/j.bbamem.2017.03.015
- Zuo Y.Y., Veldhuizen R.A.W., Neumann A.W. et al. Current perspectives in pulmonary surfactant — Inhibition, enhancement and evaluation // Biochim. Biophys. Acta (BBA) – Biomembranes. 2008. V. 1778. № 10. P. 1947–1977. https://doi.org/10.1016/j.bbamem.2008.03.021
- Autilio C., Perez-Gil J. Understanding the principle biophysics concepts of pulmonary surfactant in health and disease // Arch. Dis. Child Fetal. Neonatal Ed. 2018. V. 104. № 4. P. 343. https://doi.org/10.1136/archdischild-2018-315413
- Raghavendran K., Willson D., Notter R.H. Surfactant therapy for acute lung injury and acute respiratory distress syndrome // Crit. Care Clin. 2011. V. 27. № 3. P. 525–559. https://doi.org/10.1016/j.ccc.2011.04.005
- Martin J.A., Hamilton B.E., Sutton P.D. et al. Births: Final data for 2002 // Natl. Vital Stat. Rep. 2003. V. 52. № 10. P. 1–113.
- Engle W.A., the Committee on Fetus and Newborn. Surfactant-replacement therapy for respiratory distress in the preterm and term neonate // Pediatrics. 2008. V. 121. № 2. P. 419–432. https://doi.org/10.1542/peds.2007-3283
- Veldhuizen R.A.W., Zuo Y.Y., Petersen N.O. et al. The COVID-19 pandemic: A target for surfactant therapy? // Expert Rev. Respir. Med. 2021. V. 15. № 5. P. 597–608. https://doi.org/10.1080/17476348.2021.1865809
- Herman L., De Smedt S.C., Raemdonck K. Pulmonary surfactant as a versatile biomaterial to fight COVID-19 // Journal of Controlled Release. 2022. V. 342. P. 170–188. https://doi.org/10.1016/J.JCONREL.2021.11.023
- Jeon G.W. Surfactant preparations for preterm infants with respiratory distress syndrome: Past, present, and future // Korean Journal of Pediatrics. 2019. V. 62. № 5. P. 155–161. https://doi.org/10.3345/kjp.2018.07185
- Bae C., Chung S., Choi Y. Development of a synthetic surfactant using a surfactant protein-C peptide analog: In vitro studies of surface physical properties // Yonsei Med. J. 2016. V.57. № 1. P. 203–208. https://doi.org/10.3349/ymj.2016.57.1.203
- Castillo-Sánchez J.C., Cruz A., Pérez-Gil J. Structural hallmarks of lung surfactant: Lipid−protein interactions, membrane structure and future challenges // Arch. Biochem. Biophys. 2021. V. 703. P. 108850. https://doi.org/10.1016/J.ABB.2021.108850
- Goerke J. Pulmonary surfactant: Functions and molecular composition // Biochim. Biophys. Acta (BBA) – Molecular Basis of Disease. 1998. V. 1408. № 2–3. P. 79–89. https://doi.org/10.1016/S0925-4439(98)00060-X
- Lee K.Y.C. Collapse mechanisms of Langmuir monolayers // Annu. Rev. Phys. Chem. 2008. V. 59. P. 771–791. https://doi.org/10.1146/annurev.physchem.58. 032806.104619
- Schurch D., Ospina O.L., Cruz A.C., Perez-Gil J. Combined and independent action of proteins SP-B and SP-C in the surface behavior and mechanical stability of pulmonary surfactant films // Biophys. J. 2010. V. 99. № 10. P. 3290–3299. https://doi.org/10.1016/j.bpj.2010.09.039
- Casals C., Cañadas O. Role of lipid ordered/disordered phase coexistence in pulmonary surfactant function // Biochim. Biophys. Acta (BBA) – Biomembranes. 2012. V. 1818. № 11. P. 2550–2562. https://doi.org/10.1016/J.BBAMEM.2012.05.024
- Hobi N., Giolai M., Olmeda B. et al. A Small key unlocks a heavy door: The essential function of the small hydrophobic proteins SP-B and SP-C to trigger adsorption of pulmonary surfactant lamellar bodies // Biochim. Biophys. Acta (BBA) – Molecular Cell Research. 2016. V. 1863. № 8. P. 2124–2134. https://doi.org/10.1016/J.BBAMCR.2016.04.028
- Liekkinen J., Enkavi G., Javanainen M. et al. Surfactant lipid reorganization induced by the adsorption of the oligomeric surfactant protein B complex // J. Mol. Bi-ol. 2020. V. 432. № 10. P. 3251–3268. https://doi.org/10.1016/J.JMB.2020.02.028
- Lu K.W., Goerke J., Clements J.A., Taeusch H.W. Hyaluronan decreases surfactant inactivation in vitro // Pediatr. Res. 2005. V. 57. № 2. P. 237–241. https://doi.org/10.1203/01.PDR.0000150726.75308.22
- Kundu S. Lipid–polyelectrolyte complexes at the air–water interface for different lipid packing // Colloids Surf. A: Physicochem. Eng. Asp. 2010. V. 368. № 1–3. P. 31–36. https://doi.org/10.1016/J.COLSURFA.2010.07.012
- Chieng Y.Y., Chen S.B. Interaction between poly(acrylic acid) and phospholipid vesicles: Effect of pH, concentration, and molecular weight // J. Phys. Chem. B. 2010. V. 114. № 14. P. 4828–4835. https://doi.org/10.1021/jp1002403
- Bordi F., Cametti C., De Luca F. et al. Charged lipid monolayers at the air–solution interface: Coupling to polyelectrolytes // Colloids Surf. B: Biointerfaces. 2003. V. 29. № 2–3. P. 149–157. https://doi.org/10.1016/S0927-7765(02)00185-6
- de Meijere K., Brezesinski G., Möhwald H. Polyelectrolyte coupling to a charged lipid monolayer // Macromolecules. 1997. V. 30. № 8. P. 2337–2342. https://doi.org/10.1021/ma961490b
- Brezesinski G., Kjaer K., Möhwald H. Structure studies in coupled lipid−polyelectrolyte monolayers with diluted charge densities // Langmuir. 1998. V. 14. № 15. P. 4204–4209. https://doi.org/10.1021/la9709397
- Ortmann T., Ahrens H., Milewski S. et al. Lipid monolayers with adsorbed oppositely charged polyelectrolytes: Influence of reduced charge densities // Polymers. 2014. V. 6. № 7. P. 1999–2017. https://doi.org/10.3390/polym6071999
- Быков А.Г., Носков Б.А. Дилатационная поверхностная упругость растворов легочного сурфактанта в широкой области значений поверхностного натяжения // Коллоид. журн. 2021. Т. 80. № 5. С. 490–497. https://doi.org/https://doi.org/10.1134/S0023291218050038
- Bykov A.G., Loglio G., Miller R., Noskov B.A. Dilational surface elasticity of monolayers of charged polystyrene nano- and microparticles at liquid/fluid interfaces // Colloids Surf. A: Physicochem. Eng. Asp. 2015. V. 485. P. 42–48. https://doi.org/10.1016/j.colsurfa.2015.09.004
- Bykov A.G., Milyaeva O.Y., Isakov N.A. et al. Dynamic properties of adsorption layers of pulmonary surfactants. Influence of matter exchange with bulk phase // Colloids Surf. A: Physicochem. Eng. Asp. 2021. V. 611. P. 125851. https://doi.org/10.1016/j.colsurfa.2020.125851
- Ravera F., Miller R., Zuo Y.Y. et al. Methods and models to investigate the physicochemical functionality of pulmonary surfactant // Curr. Opin. Colloid Interface Sci. 2021. V. 55. P. 101467. https://doi.org/10.1016/j.cocis.2021.101467
- Motschmann H., Teppner R. Ellipsometry in interface science // Studies in Interface Science. 2001. V. 11. P. 1–42. https://doi.org/10.1016/S1383-7303(01)80014-4
- Ghazvini S., Ricke B., Zasadzinski J.A., Dhar P. Monitoring phases and phase transitions in phosphatidylethanolamine monolayers using active interfacial microrheology // Soft. Matter. 2015. V. 11. № 17. P. 3313–3321. https://doi.org/10.1039/C4SM02900C
- Bykov A.G., Guzmán E., Rubio R.G. et al. Influence of temperature on dynamic surface properties of spread DPPC monolayers in a broad range of surface pressures // Chem. Phys. Lipids. 2019. V. 225. P. 104812. https://doi.org/10.1016/j.chemphyslip.2019.104812
Arquivos suplementares











