EFFECT OF THE HYDRODYNAMIC CONDITIONS FOR SODIUM ALGINATE–PAPAIN COLLOIDAL SYSTEM SYNTHESIS ON THE SORPTION PROPERTIES OF THE BIOCOMPOSITE
- Authors: KOKSHAROV S.A.1, LEPILOVA O.V.1, ALEEVA S.V.1, KRICHEVSKII G.E.2, FIDOROVSKAYA Y.S.3, OLTARZHEVSKAYA N.D.3
-
Affiliations:
- Krestov Institute of Solution Chemistry, Russian Academy of Sciences, Ivanovo, Russia
- OOO NPO Tekstil’progress, Engineering Academy, Moscow, Russia
- OOO Koleteteks, Moscow, 115093 Russia
- Issue: Vol 85, No 4 (2023)
- Pages: 511-525
- Section: Articles
- Submitted: 16.10.2023
- Published: 01.07.2023
- URL: https://journal-vniispk.ru/0023-2912/article/view/137249
- DOI: https://doi.org/10.31857/S0023291223600244
- EDN: https://elibrary.ru/GMUQCT
- ID: 137249
Cite item
Full Text
Abstract
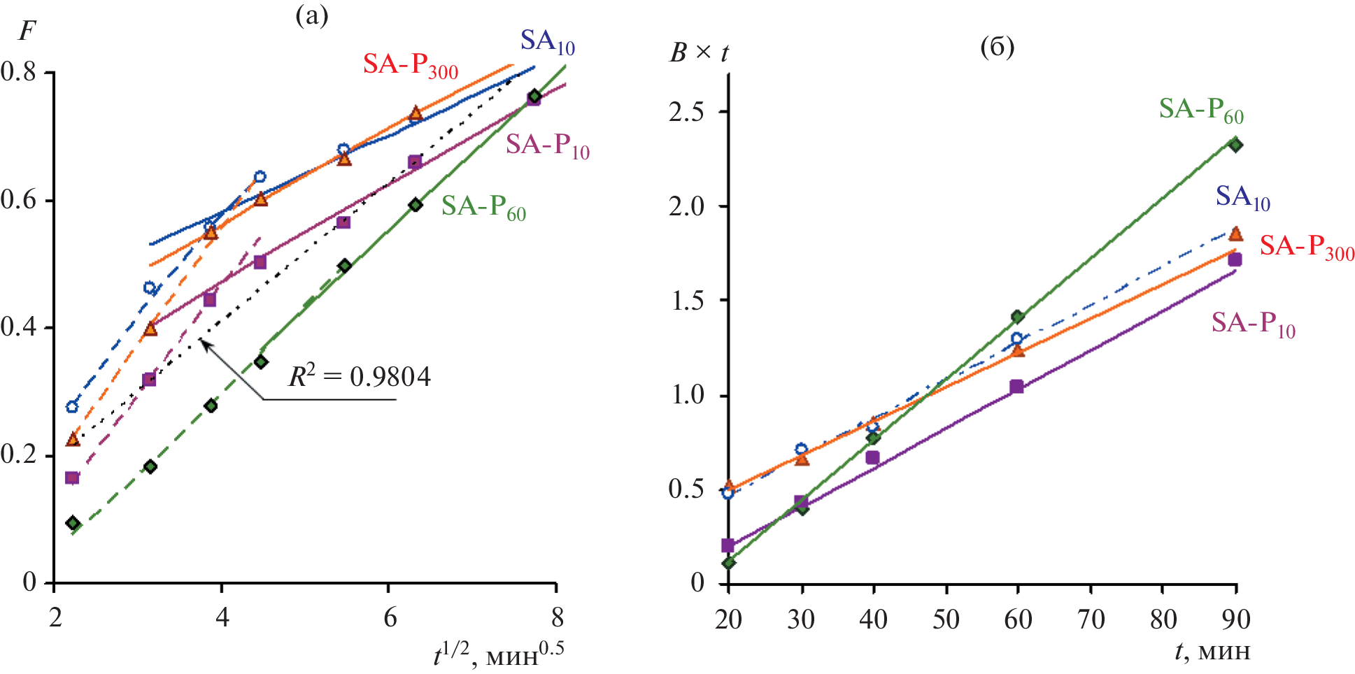
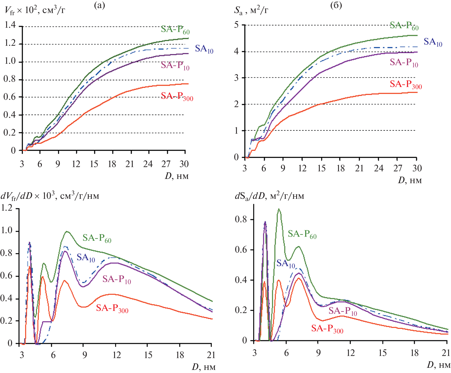
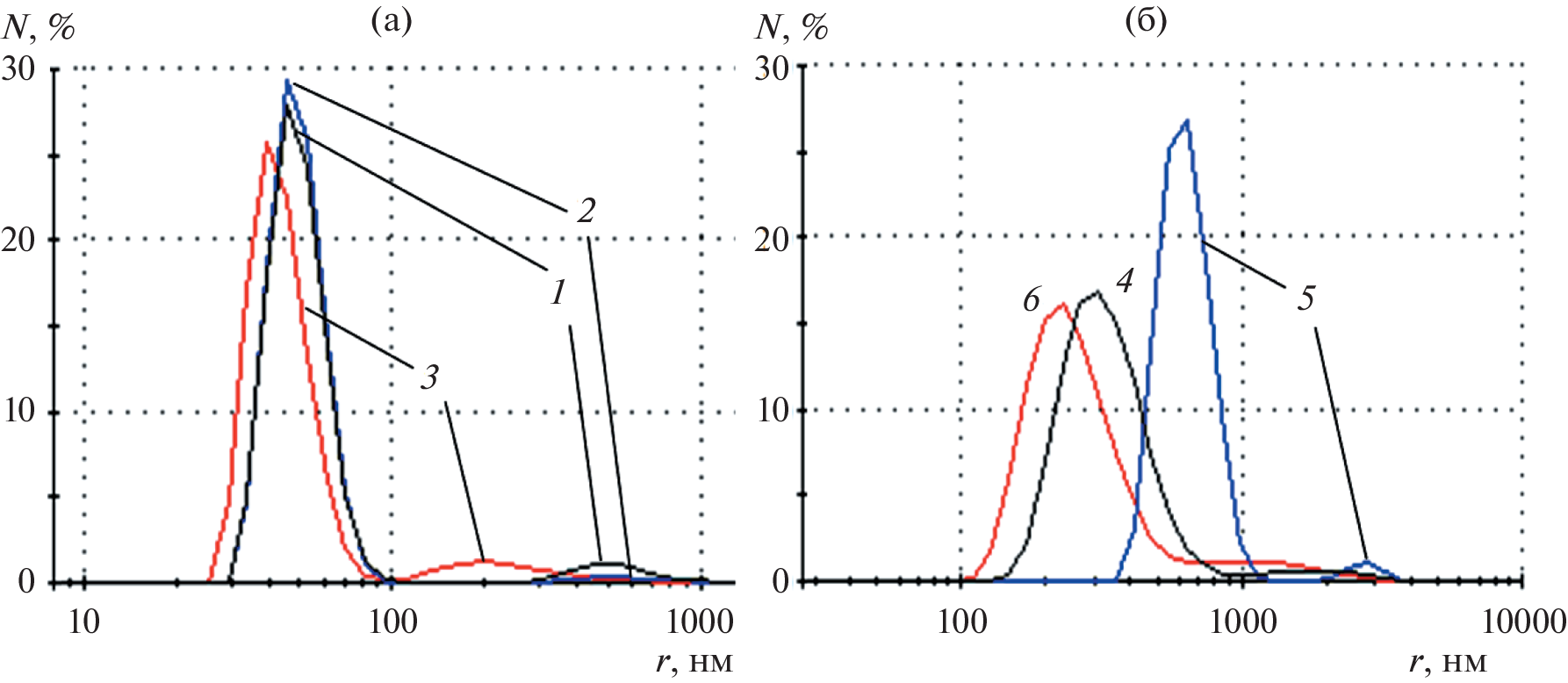
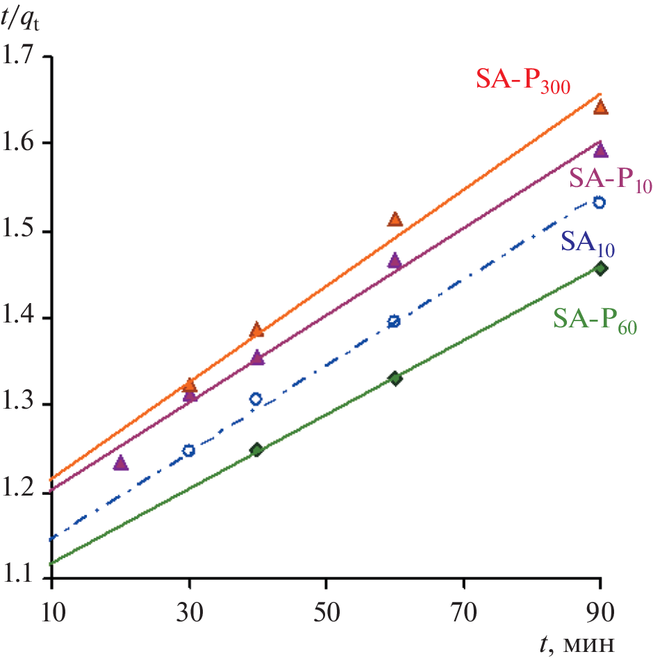
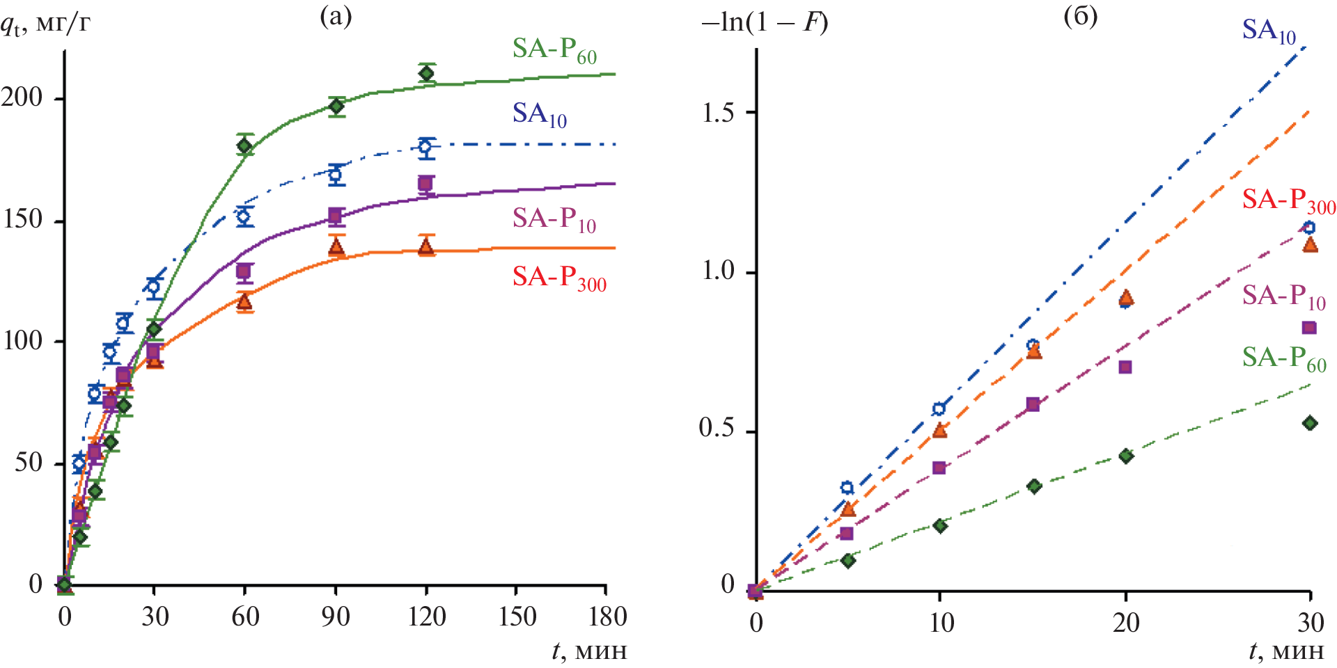
The regularities have been studied for the formation of molecular associates upon the introduction of papain into a sodium alginate colloidal solution in the laminar low-speed, transient, and turbulent stirring regimes. The relationship between variations in the sorption capacity of the biopolymer composition and the kinetic regularities of the interphase transfer has been studied during the sorption binding of albumin, which is one of the protein-based components of wound exudates, with such components being subject to ensimatic cleavage. The state of the dispersed phase of the colloidal solutions has been estimated by the dynamic light scattering method. The properties of the formed biopolymer films have been studied using the methods of scanning electron microscopy, low-temperature nitrogen adsorption, and static albumin sorption from solutions of limited volumes. The data of the sorption experiments have been analyzed using the Boyd, Morris–Weber, and gel diffusion models, as well as the Lagergren pseudo-first-order and Ho–McKay pseudo-second-order kinetic models. The data have been obtained for substantiating the dosages of the biopolymermatrix used on wound-healing bandages and for the efficient binding of wound necrotic contamination during the time preset according to the technical requirements.
About the authors
S. A. KOKSHAROV
Krestov Institute of Solution Chemistry, Russian Academy of Sciences, Ivanovo, Russia
Email: svetlana19750710@gmail.com
Россия, 153045, Иваново,
ул. Академическая, 1
O. V. LEPILOVA
Krestov Institute of Solution Chemistry, Russian Academy of Sciences, Ivanovo, Russia
Email: svetlana19750710@gmail.com
Россия, 153045, Иваново,
ул. Академическая, 1
S. V. ALEEVA
Krestov Institute of Solution Chemistry, Russian Academy of Sciences, Ivanovo, Russia
Email: svetlana19750710@gmail.com
Россия, 153045, Иваново,
ул. Академическая, 1
G. E. KRICHEVSKII
OOO NPO Tekstil’progress, Engineering Academy, Moscow, Russia
Email: svetlana19750710@gmail.com
Россия, 115093, Москва, ул. Павловская, 21
YU. S. FIDOROVSKAYA
OOO Koleteteks, Moscow, 115093 Russia
Email: svetlana19750710@gmail.com
Россия, 115093, Москва, ул. Павловская, 21
N. D. OLTARZHEVSKAYA
OOO Koleteteks, Moscow, 115093 Russia
Author for correspondence.
Email: svetlana19750710@gmail.com
Россия, 115093, Москва, ул. Павловская, 21
References
- Zhang H., Cheng J., Ao Q. Preparation of alginate-based biomaterials and their applications in biomedicine // Marine Drugs. 2021. V. 19. № 5. P. 264. https://doi.org/10.3390/md19050264
- Abourehab M.A., Rajendran R.R., Singh A., Pramanik S., Shrivastav P., Ansari M.J., Manne R., Amaral L.S., Deepak A. Alginate as a promising biopolymer in drug delivery and wound healing: A review of the state-of-the-art // Int. J. Mol. Sci. 2022. V. 23. № 16. P. 9035. https://doi.org/10.3390/ijms23169035
- Liu Z., Chen X., Huang Z., Wang H., Cao S., Liu C., Yan H., Lin Q. One-pot synthesis of amphiphilic biopolymers from oxidized alginate and self-assembly as a carrier for sustained release of hydrophobic drugs // Polymers. 2022. V. 14. № 4. P. 694. https://doi.org/10.3390/polym14040694
- Ilgin P., Ozay H., Ozay O. Synthesis and characterization of pH responsive alginate based-hydrogels as oral drug delivery carrier // J. Polym. Res. 2020. V. 27. P. 251. https://doi.org/10.1007/s10965-020-02231-0
- Roquero D.M., Smutok O., Othman A., Melman A., Katz E. “Smart” delivery of monoclonal antibodies from a magnetic responsive microgel nanocomposite // ACS Appl. Bio Mater. 2021. V. 4. P. 8487–8497. https://doi.org/10.1021/acsabm.1c00994
- Roquero D.M., Katz E. “Smart” alginate hydrogels in biosensing, bioactuation and biocomputing: State-of-the-art and perspectives // Sensors and Actuators Reports. 2022. V. 4. P. 100095. https://doi.org/10.1016/j.snr.2022.100095
- Zhao Q., Li C., Shum H.C., Du X. Shape-adaptable biodevices for wearable and implantable applications // Lab Chip. 2020. V. 20. P. 4321–4341. https://doi.org/10.1039/d0lc00569j
- Biswas A., Bornhoeft L.R., Banerjee S., You Y.H., McShane J. Composite hydrogels containing bioactive microreactors for optical enzymatic lactate sensing // ACS Sens. 2017. V. 2. P. 1584–1588. https://doi.org/10.1021/acssensors.7b00648
- Roquero D.M., McCorduck B., Bollella P., Smutok O., Melman A., Katz E. Biomolecule release from alginate composite hydrogels triggered by logically processed signals // ChemPhysChem. 2021. V. 22. № 19. P. 1967–1977. https://doi.org/10.1002/cphc.202100458
- Poncelet D. Production of alginate beads by emulsification/internal gelation // Ann. N. Y. Acad. Sci. 2001. V. 944. P. 74–82. https://doi.org/10.1111/j.1749-6632.2001.tb03824.x
- Orue I.G., Vizcaíno E.S., Sanchez P., Gutierrez F.B., Anda J.J.A., Hernandez R.M., Igartua M. Bioactive and degradable hydrogel based on human platelet-rich plasma fibrin matrix combined with oxidized alginate in a diabetic mice wound healing model // Mater. Sci. Eng. C. 2022. V. 135. № 1. P. 112695. https://doi.org/10.1016/j.msec.2022.112695
- Sivan S.S., Bonstein I., Marmor Y.N., Amit M. Encapsulation of human-bone-marrow-derived mesenchymal stem cells in small alginate beads using one-step emulsification by internal gelation: In vitro, and in vivo evaluation in degenerate intervertebral disc model // Pharmaceutics. 2022. V. 4. № 6. P. 1179. https://doi.org/10.3390/pharmaceutics14061179
- Abouzeid R.E., Khiari R., Salama A., Diab M., Beneventi D., Dufresne A. In situ mineralization of nano-hydroxyapatite on bifunctional cellulose nanofiber/polyvinyl alcohol/sodium alginate hydrogel using 3D printing // Int. J. Biol. Macromol. 2020. V. 160. P. 538–547. https://doi.org/10.1016/j.ijbiomac.2020.05.181
- Sardelli L., Tunesi M., Briatico-Vangosa F., Petrini P. 3D-Reactive printing of engineered alginate inks // Soft Matter. 2021. V. 17. № 8. P. 8105–8117. https://doi.org/10.1039/D1SM00604E
- Siwal S.S., Mishra K., Saini A.K., Alsanie W., Kovalcik A., Thakur K. Additive manufacturing of bio-based hydrogel composites: Recent advances // J. Polym. Environ. 2022. V. 30. P. 4501–4516. https://doi.org/10.1007/s10924-022-02516-z
- Varaprasad K., Jayaramudu T., Kanikireddy V., Toro C., Sadiku E.R. Alginate-based composite materials for wound dressing application: A mini review // Carbohy-dr. Polym. 2020. V. 236. P. 116025. https://doi.org/10.1016/j.carbpol.2020.116025
- Pereira R., Carvalho A., Vaz D.C., Gil M.H., Mendes A., Bártolo P. Development of novel alginate based hydrogel films for wound healing applications // Int. J. Biol. Macromol. 2013. V. 52. P. 221–230. https://doi.org/10.1016/j.ijbiomac.2012.09.031
- Soleimanpour M., Mirhaji S.S., Jafari S., Derakhshankhah H., Mamashli F., Nedaei H., Karimi M.R., Motasadizadeh H., Fatahi Y., Ghasemi A., Nezamtaheri M., Mohadese K., Teimouri M., Goliaei B., Delattre C., Saboury A.A. Designing a new alginate-fibrinogen biomaterial composite hydrogel for wound healing // Sci. Rep. 2022. V. 12. P. 7213. https://doi.org/10.1038/s41598-022-11282-w
- Su Y., Yrastorza J., Matis M., Cusick J., Zhao S., Wang G., Xie J. Biofilms: Formation, research models, potential targets, and methods for prevention and treatment // Adv. Sci. 2022. V. 9. № 29. P. 2203291. https://doi.org/10.1002/advs.202203291
- Balakireva A.V., Kuznetsova N.V., Petushkova A.I., Savvateeva L.V., Zamyatnin A.A. Trends and prospects of plant proteases in therapeutics // Curr. Med. Chem. 2019. V. 26. № 3. P. 465–486. https://doi.org/10.2174/0929867325666171123204403
- Фидоровская Ю.С., Медушева Е.О., Коровина М.А., Кричевский Г.Е., Олтаржевская Н.Д Особенности технологии получения раневых покрытий с протеолитическим и антимикробным действием // Известия вузов. Технология текстильной промышленности. 2021. Т. 395. № 5. С. 137–143. https://doi.org/10.47367/0021-3497_2021_5_137
- Кокшаров С.А., Алеева С.В., Лепилова О.В., Кричевский Г.Е., Фидоровская Ю.С. Свойства гидроколлоидов альгината натрия при сорбционном связывании папаина // Коллоид. журн. 2021. Т. 83. № 6. С. 660–675. https://doi.org/10.31857/S0023291221060070
- Бирштейн T.M. Конформации макромолекул и внутримолекулярные конформационные переходы // Высокомол. соединения. Сер. A. 2019. Т. 61. № 6. С. 542–552.
- Derkach S.R., Voron’ko N.G., Sokolan N.I., Kolotova D.S., Kuchina Y.A. Interactions between gelatin and sodium alginate: UV and FTIR studies // J. Dispers. Sci. Technol. 2020. V. 41. № 5. P. 182617031. https://doi.org/10.1080/01932691.2019.1611437
- Feng L., Cao Y., Xu D., You S., Han F. The ultrasound technology for modifying enzyme activity // Ultrason. Sonochem. 2016. V. 32. P. 145–150. https://doi.org/10.17268/sci.agropecu.2016.02.07
- Boyd G.E., Adamson A.W., Myers L.S. The exchange adsorption of ions from aqueous solutions by organic zeolites. II. Kinetics // J. Am. Chem. Soc. 1947. V. 69. № 11. P. 2836–2848. https://doi.org/10.1021/ja01203a066
- Крижановская О.О., Синяева Л.А., Карпов С.И., Селеменев В.Ф., Бородина Е.В., Рёсснер Ф. Кинетические модели при описании сорбции жирорастворимых физиологически активных веществ высокоупорядоченными неорганическими кремнийсодержащими материалами // Сорбционные и хроматографические процессы. 2014. Т. 14. № 5. С. 784–794.
- Weber J.W.J., Morris J.C. Kinetics of adsorption on carbon from solution // J. Sanitary Eng. Division. 1963. V. 89. № 2. P. 31–60.
- Lagergren S. About the theory of so-called adsorption of soluble substances // Kung Sven Veten Hand. 1898. V. 24. № 4. P. 1–39.
- Ho Y.S., Ng J.C.Y., McKay G. Kinetics of pollutant sorption by biosorbents: Review // Sep. Purif. Methods. 2000. V. 29. № 2. P. 189–232. https://doi.org/10.1081/SPM-100100009
- Javadian H. Application of kinetic, isotherm and thermodynamic models for the adsorption of Co(II) ions on polyaniline/polypyrrole copolymer nanofibers from aqueous solution // J. Ind. Eng. Chem. 2014. V. 20. № 6. P. 4233–4241. https://doi.org/10.1016/j.jiec.2014.01.026
- Turner B., Henley B.J., Sleap S., Sloan, S.W. Kinetic model selection and the Hill model in geochemistry // Int. J. Environ. Sci. Techn. 2015. V. 12. № 8. P. 2545–2558. https://doi.org/10.1007/s13762-014-0662-4
- Hubbe M., Azizian S., Douven S. Implications of apparent pseudo-second-order adsorption kinetics onto cellulosic materials: A review // Bioresources. 2019. V. 14. № 3. P. 7582–7686. https://doi.org/10.15376/biores.14.3.7582-7626
- Kornilova N., Koksharov S., Aleeva S., Lepilova O., Bikbulatova A., Nikiforova E. Enterosorbents based on rhubarb biomass with a hybrid polymer-inorganic coating for the immobilization of azaheterocyclic mycotoxins // Coatings. 2023. V. 13. № 4. P. 684. https://doi.org/10.3390/coatings13040684
- Кокшаров С.А., Алеева С.В., Лепилова О.В. Влияние строения пектиновых веществ льняных кормовых добавок на абсорбционное связывание азагетероциклических микотоксинов // Рос. хим. журн. 2021. Т. 65. № 1. С. 12–35. https://doi.org/10.6060/rcj.2021651.2
- Кокшаров С.А., Алеева С.В., Лепилова О.В. Кинетика сорбции теофиллина в гидрогелях пектинов с различающимися структурными свойствами // Журн. физ. химии. 2022. Т. 96. № 4. С. 562–569. https://doi.org/10.31857/S0044453722040161
- Yan Y.D., Clarke J.H.R. In-situ determination of particle size distributions in colloids // Adv. Colloid Interface Sci. 1989. V. 29. P. 277–318. https://doi.org/10.1016/0001-8686(89)80011-9
- Кокшаров С.А. О применении метода динамического светового рассеяния для оценки размера наночастиц в бикомпонентном гидрозоле // Известия вузов. Химия и химическая технология. 2015. Т. 58. № 1. С. 33–36.
- Chatterjee A., Schiewer S. Multi-resistance kinetic models for biosorption of Cd by raw and immobilized citrus peels in batch and packed-bed columns // Chem. Eng. J. 2014. V. 224. P. 105–116. https://doi.org/10.1016/j.cej.2013.12.017
- Kim T., An B. Effect of hydrogen ion presence in adsorbent and solution to enhance phosphate adsorption // Appl. Sci. 2021. V. 11. P. 2777. https://doi.org/10.3390/app11062777
- Сазонова В.Ф., Перлова О.В., Перлова Н.А., Поликарпов А.П. Сорбция соединений урана(VI) на поверхности волокнистого анионита из водных растворов // Коллоид. журн. 2017. Т. 79. № 2. С. 219–226. https://doi.org/10.7868/S0023291217020136
- Маслова М.В., Иваненко В.И., Герасимова Л.Г. Влияние температуры на кинетику сорбции катионов стронция сорбентом на основе фосфата титана // Журн. физ. хим. 2019. Т. 93. № 7. С. 1002–1008. https://doi.org/10.1134/S0044453719060219
- Полянский Н.Г., Горбунов Г.В., Полянская Н.Л. Методы исследования ионитов. М.: Химия, 1976.
- Viegas R.M.C., Campinas M., Costa H., Rosa, M.J. How do the HSDM and Boyd’s model compare for estimating intraparticle diffusion coefficients in adsorption processes // Adsorption. 2014. V. 20. № 5–6. P. 737–746. https://doi.org/10.1007/s10450-014-9617-9
- Moussout H., Ahlafi H., Aazza M., Maghat H. Critical of linear and nonlinear equations of pseudo-first order and pseudo-second order kinetic models // Karbala Int. J. Modern Sci. 2018. V. 4. P. 244–254. https://doi.org/10.1016/j.kijoms.2018.04.001
- Алеева С.В., Лепилова О.В., Кокшаров С.А. Закономерности сорбции паров крезола на высокопористых материалах из биомодифицированной льняной костры // Физикохимия поверхности и защита материалов. 2022. Т. 58. № 1. С. 16–25. https://doi.org/10.31857/S0044185622010028
- Kaszuba M., McKnight D., Connah M.T., McNeil-Watson F.K., Nobbmann U. Measuring sub nanometre sizes using dynamic light scattering // J. Nanopart. Res. 2008. V. 10. P. 823–829. https://doi.org/10.1007/s11051-007-9317-4
- Грег С., Синг К. Адсорбция, удельная поверхность, пористость / Пер. с англ. под ред. К.В. Чмутова. М.: Мир, 1970.
- Morris E.R., Powell D.A., Gidley M.J., Rees D.A. Conformations and interactions of pectins: I. Polymorphism between gel and solid states of calcium polygalacturonate // J. Mol. Biol. 1982. V. 155. № 4. P. 507–516. https://doi.org/10.1016/0022-2836(82)90484-3
- Maslova M., Ivanenko V., Evstropova P., Mudruk N., Gerasimova L. Investigation on purification of saturated LiNO3 solution using titanium phosphate ion exchanger: Kinetics study // Int. J. Mol. Sci. 2022. V. 23. P. 13416. https://doi.org/10.3390/ijms232113416
- Ermolenko A., Shevelev A., Vikulova M., Blagova T., Altukhov S., Gorokhovsky A., Godymchuk A., Burmistrov I., Offor P.O. Wastewater treatment from lead and strontium by potassium polytitanates: Kinetic analysis and adsorption mechanism // Processes. V. 8. № 2. P. 217. https://doi.org/10.3390/pr8020217
- Ma Y., Zhang B., Ma H, Yu M., Li L., Li J. Polyethylenimine nanofibrous adsorbent for highly effective removal of anionic dyes from aqueous solution // Sci. China Mater. 2016. V. 59. № 1. P. 38–50. https://doi.org/10.1007/s40843-016-0117-y
- Campos N.F., Barbosa C.M., Rodrıguez-Dıaz J.M., Duarte M.M. Removal of naphthenic acids using activated charcoal: Kinetic and equilibrium studies // Adsorp. Sci. Technol. 2018. V. 36. № 7–8. P. 1405–1421. https://doi.org/10.1177/0263617418773844
- Петрова Ю.С., Пестов А.В., Алифханова Л.М.К., Неудачина Л.К. Динамика сорбции меди(II) и серебра(I) материалами на основе N-2-сульфоэтилхитозана с различной степенью сшивки // Журн. физ. химии. 2017. Т. 91. № 4. С. 720–724. https://doi.org/10.7868/S0044453717040239
- Koksharov S.A., Aleeva S.V, Lepilova O.V. Description of adsorption interactions of lead ions with functional groups of pectin-containing substances // J. Molecular Liquids. 2019. V. 283. P. 606. https://doi.org/10.1016/j.molliq.2019.03.109
Supplementary files









