Создание материалов на основе полимолочной кислоты и сульфата меди (II), импрегнированного методом крейзинга
- Authors: Бровина С.Д.1, Масталыгина Е.Е.1,2, Трофимчук Е.С.1, Попов А.А.1,2
-
Affiliations:
- ФГБОУ ВО “Российский экономический университет имени Г. В. Плеханова”
- ФГБУН “Институт биохимической физики им. Н. М. Эмануэля” РАН
- Issue: Vol 86, No 1 (2024)
- Pages: 6-15
- Section: Articles
- Submitted: 20.06.2024
- Accepted: 20.06.2024
- Published: 15.01.2024
- URL: https://journal-vniispk.ru/0023-2912/article/view/257539
- DOI: https://doi.org/10.31857/S0023291224010022
- ID: 257539
Cite item
Full Text
Abstract
Распространенным подходом к созданию антимикробных полимерных материалов является распределение бактерицидной добавки в объеме материала путем смешения в растворе или расплаве полимера. В работе предложен способ введения сульфата меди (II), обладающего противомикробными свойствами, в пленку из полимолочной кислоты путем силовой импрегнации раствора соли по механизму крейзинга. Установлено, что CuSO4 равномерно распределяется в объеме полимера в виде частиц размером порядка 100 нм. В процессе структурной модификации поверхность полимерной пленки становится более шероховатой и более гидрофобной. Краевой угол смачивания водой увеличивается с 40° до 60–65°. Введение CuSO4 не влияет на поверхностные свойства, но оказывает армирующий эффект на полимерную матрицу при испытаниях на растяжение (увеличение прочности при разрыве в 2.5 раза, относительного удлинения при разрыве в 1.4 раза).
Full Text
ВВЕДЕНИЕ
Одной из важных проблем полимерных материалов, особенно это касается упаковочных, медицинских и бытовых санитарно-гигиенических изделий и парниковых пленок, является их подверженность микробному воздействию [1, 2]. На поверхности и в объеме таких изделий могут развиваться аэробные и анаэробные микроорганизмы, некоторые виды плесеней, водорослей [3, 4]. Решить подобную проблему можно путем ввода в полимер специальных биоцидных добавок, активность которых сохраняется в процессе переработки и эксплуатации. Как правило, такие соединения медленно диффундируют на поверхность, где активно влияют на микрофлору, вызывающую порчу изделия. Часто в качестве антимикробных добавок используют антибиотики и соединения металлов различной дисперсности [5, 6]. К металлам и их соединениям, обладающим противомикробными свойствами, относятся серебро, медь, цинк, железо, марганец. В полимеры обычно вводят оксиды и соли данных металлов [7, 8].
Соединения меди, из которых наиболее известным является кристаллогидрат сульфата меди (II), он же медный купорос, на протяжении веков используются в сельском хозяйстве как противогрибковое, антибактериальное и противовирусное средство, а также как средство против биообрастания в плавательных бассейнах, оросительных и дренажных каналах [9, 10]. Выбор меди в качестве антимикробной добавки обусловлен тем, что она обладает доказанными бактерицидными свойствами, а также является относительно дешевым металлом. Несмотря на то, что медь является неотъемлемым макроэлементом для многих живых организмов, она может оказывать токсичный эффект за счет своей способности вступать в окислительно-восстановительные реакции. Так, медь может вступать в реакцию Фентона, в результате которой образуется гидроксильный радикал, участвующий в окислении белков и липидов микроорганизмов [11, 12].
Известны исследования, посвященные введению сульфата меди в качестве антимикробной добавки в полимерные матрицы. В одной из работ частицы медного купороса вводили в полиуретан методом замачивания и прессования пены в растворе CuSO4. Полученные пленки обладали ингибирующим эффектом в отношении грамотрицательного штамма Escherichia coli [13]. В другой работе Popescu V. с соавт. получали композиты на основе полилактида и наночастиц меди, синтезированных из CuSO4 и затем объединенных в кластеры с полиэтиленгликолем. Антимикробная активность материалов была подтверждена на штаммах Enterococcus faecalis, E. coli, Staphylococcus aureus и Pseudomonas aeruginosa [14].
Наиболее распространенный способ введения функциональных наполнителей в полимерную матрицу основан на их смешении в растворе или расплаве полимера [15]. При этом получение однородной высокодисперсной смеси возможно при хорошей термодинамической совместимости компонентов. Обычно антимикробные добавки являются гидрофильными, поэтому они хорошо диспергируются в водорастворимых или водонабухающих полимерах [16]. При совмещении биоцидных веществ с гидрофобными полимерными матрицами, как правило, требуется проведение химической модификации компонентов или введение компатибилизаторов [17, 18], которые могут ухудшать эксплуатационные свойства полимерного материала. Кроме того, использование расплавных технологий требует определенной термостойкости для наполнителя, что ограничивает выбор функциональных добавок. В связи с этим актуальность приобретает разработка низкотемпературного метода введения антимикробных веществ в пленки и волокна гидрофобных полимеров. Особенно это важно для биоразлагаемых алифатических полиэфиров, которые в настоящее время рассматривают в качестве альтернативы традиционным полимерам, используемым для изготовления упаковки и бытовых изделий.
Наиболее перспективным для этих целей представляется полимер молочной кислоты – полилактид (ПЛ) [19, 20].
В качестве низкотемпературного способа введения функциональных добавок в работе предлагается использовать структурно-механическую модификацию по механизму крейзинга в адсорбционно-активной среде (ААС), в процессе которой в объеме полимера формируется система ориентированных и разобщенных фибрилл диаметром 5–20 нм [21, 22]. Одновременно с этим происходит захват, диспергирование и фиксация в порах полимерной матрицы вещества, растворенного в ААС [23, 24]. Ранее в работах [25, 26] были изучены особенности крейзинга пленок и волокон ПЛ и получены материалы, содержащие традиционно используемые антисептические препараты бриллиантовый зеленый и йод [27, 28].
Цель настоящей работы состояла в разработке низкотемпературного метода получения пленочных материалов на основе полимолочной кислоты, содержащих сульфат меди (II), с использованием методологии крейзинга, а также в изучении их термических, поверхностных и механических свойств.
ЭКСПЕРИМЕНТАЛЬНАЯ ЧАСТЬ
Объектами исследования являлись листовые материалы на основе полимолочной кислоты (полилактид) с импрегнированным из раствора сульфатом меди. Был использован ПЛ марки PLA Ingeo 4043D (Nature Works, LLC, США) с пределом текучести расплава (ПТР) 6 г/10 мин (210°C, 2.16 кг) и плотностью 1.24 г/см3. Прессование листов ПЛ из гранул осуществляли в алюминиевых пресс-формах на целлофановой подложке с помощью лабораторного гидравлического пресса РПА-12 (Биолент, Россия) при температуре 220 ± 5°C и давлении 50 кгс/см2 с последующей закалкой в воде при 20 ± 2°C. В результате были получены пленочные материалы толщиной 220 ± 30 мкм, из которых вырезали образцы размером 3×4 мм. Толщину пленок измеряли с помощью цифрового микрометра “МЕГЕОН – 80800”.
В качестве добавки использовали 5-водный сульфат меди (II) CuSO4×5H2O (х. ч., ООО “Компонент-Реактив”, Россия) (далее CuSO4). CuSO4 вводили в матрицу ПЛ по технологии крейзинга при совместном действии механического напряжения и адсорбционно-активной жидкой среды с растворенной в ней добавкой (рис. 1). ААС представляла собой раствор состава дистиллированная вода / этиловый спирт (95 об.%, Ферейн, ПАО “Брынцалов-А”) 50/50 об.%, содержащий 1.6 мас.% CuSO4, приготовленный путем смешения на магнитной мешалке IKA RCT basic (Германия) при 40°C и 1000 об./мин. Степень деформации, которую определяли как отношение приращения длины образца к его первоначальной длине, выраженное в процентах, для пленки ПЛ составила 350%. Толщина структурно модифицированных образцов после растяжения уменьшалась до 160 ± 20 мкм.
Рис. 1. Схематичное изображение структурной модификации ПЛ с одновременной импрегнацией добавки.
В работе исследовали образцы структурно модифицированного ПЛ с импрегнированной методом крейзинга добавкой (далее модифицированный ПЛ с CuSO4). В качестве референтов использовали исходные изотропные пленки ПЛ (далее исходный ПЛ) и образцы ПЛ, подвергнутые структурной модификации в водно-спиртовой среде без добавки (далее модифицированный ПЛ).
Исследования методом оптической микроскопии проводили на микроскопе Olympus BX3M-PSLED (Япония) в проходящем и отраженном свете при увеличениях 50×, 100×, 200× и 1000×. По уровню интенсивности серого на полученных микрофотографиях определяли линейный профиль поверхности образцов (шероховатость). Уровень интенсивности серого определялся в программном обеспечении оптического микроскопа по градиенту изменения цвета отраженного света.
Морфологию образцов изучали методом сканирующей электронной микроскопии (далее, СЭМ) на микроскопе JSM-6380LA (JEOL, Япония) при рабочем напряжении 20 кВ. Предварительно образцы готовили в виде сколов по методике хрупкого разрушения в жидком азоте вдоль направления растяжения, прикрепляли к поверхности микроскопического столика на углеродный скотч и напыляли слоем золота толщиной 25 нм на установке IB-3 Ion Coater (Eiko, Япония).
Термогравиметрический анализ (ТГА) проводился на приборе TGA/DSC3+ (Mettler Toledo, Швейцария) в температурном диапазоне +25…+800°C со скоростью нагрева 10°C/мин в атмосфере воздуха (100 мл/мин). Для измерений использовали тигель из оксида алюминия на 150 мкл, навеска образца составляла 5–10 мг. Обработка результатов осуществлялась с помощью программного обеспечения Star SW Lab Mettler.
Теплофизические свойства материалов анализировали с помощью дифференциального сканирующего калориметра (далее ДСК) DSC 214 Polyma (NETZSCH-Gerätebau, Германия). Температурная шкала и энтальпия плавления калиброваны по стандартным образцам индия, цинка и олова. Анализ проводился в алюминиевых тиглях Concavus NETZSCH-Gerätebau GmbH (∅ 5 мм, 30 мкл), масса образца составляла 10 ± 1 мг, скорость нагрева/охлаждения – 10°C/мин. Был использован следующий режим съемки: нагрев от +20 до +180°C, охлаждение от +180 до +20°C. Термограммы (кривые ДСК) образцов нормированы на навеску 1.0 ± 0.1 мг. Обработка полученных данных осуществлялась при помощи программного обеспечения Proteus NETZSCH.
Анализ деформационно-прочностных свойств при растяжении проводился на универсальной испытательной машине GP UG 5 DLC-0.5 DVT (Devotrans, Турция) в соответствии с ГОСТ 11262–2017 (ISO 527–2:2012) “Пластмассы. Метод испытания на растяжение”. Образцы для испытаний в виде стандартных лопаток получали путем вырубания вдоль оси ориентации с помощью ручного пресса. Рабочая длина составляла 10 мм, ширина – 5 мм (тип 1). Испытание проводилось при температуре 23 ± 2°C, относительной влажности 50% и скорости растяжения 2.5 мм/мин.
Краевые углы смачивания образцов бидистиллированной водой определяли методом статической посаженой капли на приборе, оснащенном 6-кратным монокулярным объективом и видеокамерой. Контактный угол определяли как наклон касательной к капле из точки касания трех фаз. Аппроксимацию формы капли проводили методом Лапласа–Юнга (по контуру всей капли).
Для всех видов исследований в работе проводилось по три повтора каждого измерения. Статистическая обработка данных была проведена в соответствии с дисперсионным анализом с использованием метода наименьших квадратов. Значения данных и пределы погрешностей представлены как среднее значение ± стандартное отклонение.
РЕЗУЛЬТАТЫ И ОБСУЖДЕНИЕ
В результате растяжения исходной изотропной пленки ПЛ в адсорбционно- активной жидкой среде происходит перестройка ее структуры в фибриллярную. В этом случае на первой стадии на дефектах поверхности полимера наблюдается зарождение микротрещин (крейзов), содержащих систему ориентированных и разобщенных фибрилл. Затем микротрещины прорастают через все сечение пленки и уширяются в направлении растяжения за счет перехода полимерного материала из блочных областей в крейзы. На больших степенях растяжения (выше 250%) в результате коагуляции фибрилл боковыми поверхностями происходит коллапс пористой структуры, который сопровождается уменьшением объемной пористости пленки и увеличением размера пор. На микрофотографиях, полученных методом оптической микроскопии, в образцах после структурной модификации обнаружены крейзы шириной микронного размера (рис. 2в, 2г).
Рис. 2. Микрофотографии образцов исходного ПЛ (а, б), ПЛ после структурной модификации без (в, г) и с импрегнацией CuSO4 (д, е), полученные с помощью оптического микроскопа в проходящем (а, в, д) и отраженном (б, г, е) свете при увеличении 200×. Стрелками указано направление растяжения.
Остатки стенок крейзов, ориентированных перпендикулярно направлению растяжения, формируют на поверхности пленки специфический “полосатый” рельеф.
Одноосная деформация ПЛ в водно-спиртовом растворе сульфата меди также протекает по механизму крейзинга, что приводит к проникновению добавки в объем полимерной матрицы и ее диспергированию в структуре крейзов (рис. 1). При высушивании образцов и удалении жидкой среды происходит образование частиц соли. Важно отметить, что процесс высушивания из-за действия капиллярных сил также сопровождается дальнейшими структурными перестройками полимера, что приводит к “запечатыванию” частиц наполнителя в объеме полимерной матрицы. На этот факт указывает появление голубого оттенка у пленки ПЛ. Можно предположить, что введенным веществом является именно сульфат меди, который является стабильным веществом в условиях эксперимента. Также было отмечено, что выдерживание образца ПЛ с CuSO4 над 10%-ным водным раствором аммиака приводит к изменению его оттенка на более интенсивный синий цвет, характерный для аммиакатов меди. Методом оптической микроскопии было показано (рис. 2д, 2е), что добавка сульфата меди не влияет на формирующуюся ориентированную фибриллярную структуру полимера.
Согласно СЭМ-микрофотографиям (рис. 3), полученные материалы в объеме содержат вытянутые поры субмикронного и микронного уровней шириной не более 1 мкм и длиной не более 2–3 мкм. Можно предположить, что формирование данных пор связано с процессами коллапса высокодисперсной структуры крейзов. На стенках этих пор обнаруживаются отдельные сферические частицы, по-видимому, CuSO4, размером порядка 100 нм. При этом можно предположить, что большая часть введенной добавки не определяется визуально при таких увеличениях, что косвенно может указывать на наноразмерные параметры частиц добавки.
Рис. 3. СЭМ-микрофотографии ПЛ после структурной модификации с импрегнацией CuSO4. Микрофотография (в) является увеличенным изображением прямоугольной области, обозначенной на микрофотографии (б). Стрелками указано направление растяжения.
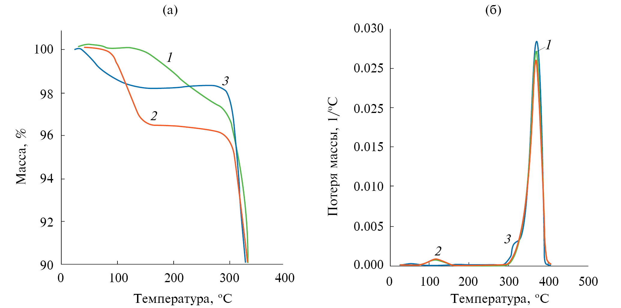
Методом ТГА проанализировано поведение материалов при нагревании в воздушной среде. На рис. 4 приведены ТГ-кривые образцов материалов. Характер ТГ-кривой для образца ПЛ после структурной модификации не изменился по сравнению с изотропным образцом. Температура начала термодеструкции уменьшилась на 6°C по сравнению с исходным ПЛ, что может быть связано с большей подверженностью к окислению ориентированных выпрямленных полимерных цепей [29]. Добавка CuSO4 способствовала снижению термоокислительной стабильности ПЛ на 18°C по сравнению с модифицированным ПЛ без добавки. Ранее подобное действие частиц меди на матрицу ПЛ было описано в работе [14]. Это связывают с каталитическим действием меди на реакцию разрыва сложноэфирной связи полимера.
Рис. 4. Термогравиметрические (а) и дифференциальные термогравиметрические (б) кривые образцов: исходного ПЛ (кривая 1), модифицированного ПЛ (кривая 2), модифицированного ПЛ с CuSO4 (кривая 3).
При термическом разложении сульфата меди образовалось вещество черного цвета, предположительно оксид меди (II). Масса несгораемого остатка после термоокислительной деструкции образца модифицированного ПЛ с CuSO4 до 800°С составила 0.6–0.8%, что в пересчете соответствует 1.5 ± 0.1 мас.% сульфата меди в материале. Важно отметить, что предельная концентрация сульфата меди в полимере, по-видимому, не достигнута. И потенциально существует возможность ввести большую концентрацию добавки в ПЛ с применением метода крейзинга при увеличении концентрации добавки в модифицирующем растворе.
На рис. 5 приведены ДСК-кривые первого нагрева образцов. Для исходного изотропного ПЛ (кривая 1) наблюдался пик холодной кристаллизации при 104°C. Образцы после структурно-механической модификации по механизму крейзинга не имели пика холодной кристаллизации ПЛ, что может указывать на кристаллизацию полимера в процессе ориентационного растяжения в жидкой ААС. Подобный эффект ранее был подробно изучен и описан в работах [25, 30]. Температура пика плавления для деформированного ПЛ сдвигалась в область более низких температур на 3.5°C, степень кристалличности ПЛ возрастала до 26%. Присутствие добавки CuSO4 не оказывало значительного влияния на поведение ПЛ при нагреве. Наблюдалось небольшое увеличение температуры стеклования для образца, импрегнированного добавкой, что говорит об уменьшении сегментальной подвижности макромолекул полимера и может указывать на факт взаимодействия сульфата меди с ПЛ, например с карбонильными группами полимера. В табл. 1 представлены сводные результаты анализа термических и теплофизических характеристик исследуемых образцов.
Рис. 5. ДСК-кривые первого нагрева образцов: исходный ПЛ (кривая 1), модифицированный ПЛ (кривая 2), модифицированный ПЛ с CuSO4 (кривая 3).
Таблица 1. Термические и теплофизические свойства образцов
Наименование образца | Tдест, °C (Δ±2.0°C) | Tст ПЛ, °C (Δ±0.5°C) | Tхол кр ПЛ, °C (Δ±0.5°C) | Tпл ПЛ, °C (Δ±0.5°C) | ΔHпл ПЛ, Дж/г (Δ±1.0 Дж/г) |
Исходный ПЛ | 342.6 | 58.1 | 104.0 | 150.0 | 23.3 |
Модифицированный ПЛ | 336.5 | 55.3 | отсутствует | 146.5 | 24.5 |
Модифицированный ПЛ с CuSO4 | 318.0 | 61.1 | отсутствует | 146.6 | 24.4 |
Обозначения: Tдест – температура начала термодеструкции, Tст – температура стеклования, Tхол кр – температура максимума холодной кристаллизации, Tпл – температура плавления, ΔHпл – энтальпия плавления.
На рис. 6 представлены кривые растяжения образцов. Они все характеризуются наличием “зуба” текучести, что говорит о реализации механизмов пластической деформации для исследуемых материалов. Растяжение исходного изотропного ПЛ протекает через образование крейзов, что приводит к его достаточно быстрому разрушению при степени деформации порядка 26%. Структурная модификация, связанная с ориентацией, оказывает положительное влияние на прочность и относительное удлинение при разрыве образцов в продольном направлении (табл. 2). Так, относительное удлинение при разрыве для образца, модифицированного ПЛ, возрастало с 26 до 46%. Введение добавки CuSO4 способствовало дополнительному увеличению прочности (на 26%) и модуля упругости (на 15%) относительно модифицированного ПЛ без добавки, что может быть следствием взаимодействия наполнителя и полимерной матрицы. При этом относительное удлинение при разрыве сохранялось практически на том же уровне.
Рис. 6. Деформационные кривые растяжения образцов: исходный ПЛ (кривая 1), модифицированный ПЛ (кривая 2), модифицированный ПЛ с CuSO4 (кривая 3).
Таблица 2. Деформационно-прочностные свойства образцов при растяжении
Наименование образца | σтек, МПа (Δ±2.0МПа) | σр, МПа (Δ±2.0МПа) | εр,% (Δ±3%) | Eупр, МПа (Δ±50МПа) |
Исходный ПЛ | 46.9 | 44.7 | 26 | 970 |
Модифицированный ПЛ | 75.8 | 89.6 | 46 | 1050 |
Модифицированный ПЛ с CuSO4 | 110.6 | 113.0 | 41 | 1200 |
Обозначения: σтек – предел текучести, σр – предел прочности при разрыве, εр – относительное удлинение при разрыве, Eупр – модуль упругости.
Были проанализированы поверхностные свойства полученных материалов, в частности смачиваемость водой. На рис. 7 приведены диаграммы линейного профиля поверхности, полученные с помощью оптической микроскопии. Как уже упоминалось, структурная модификация способствует формированию рельефа поверхности (микрошероховатости), что может влиять на смачиваемость материала. Согласно результатам определения краевого угла смачивания водой, при структурной модификации гидрофильность поверхности материалов уменьшается (с 40° до 60–65°) (табл. 3). При этом введение добавки практически не влияет на этот параметр.
Рис. 7. Линейный профиль, полученный с помощью оптического микроскопа, образцов исходного ПЛ (а), модифицированного ПЛ без (б) и с импрегнацией CuSO4 (в).
Таблица 3. Профили капель и краевые углы смачивания водой
Наименование образца | Профиль капли | Краевой угол, град. |
Исходный ПЛ | 41 ± 5 | |
Модифицированный ПЛ | 61 ± 3 | |
Модифицированный ПЛ с CuSO4 | 65 ± 2 |
ЗАКЛЮЧЕНИЕ
В работе изучен низкотемпературный способ введения антимикробных добавок в полимолочную кислоту путем силовой импрегнации сульфата меди (II) в адсорбционно-активной среде. По результатам работы установлено, что добавка сульфата меди, введенная методом силовой импрегнации, равномерно распределяется в объеме полимера в виде частиц размером порядка 100 нм. В процессе структурной модификации поверхность полимерной пленки становится более шероховатой и более гидрофобной. Структурно-механическая модификация по механизму крейзинга, в процессе которой в объеме полимера формируется система ориентированных и разобщенных фибрилл, позволила не только ввести добавку, но и повысить физико-механические свойства материалов (увеличение прочности при разрыве в 2.5 раза, относительного удлинения при разрыве в 1.4 раза). В продолжение работы будут исследованы антимикробная активность разработанных материалов в течение определенного периода времени, а также характер биоразложения полимолочной кислоты с импрегнированной добавкой сульфата меди (II). Можно ожидать, что благодаря достаточно равномерному распределению добавки в виде частиц, капсулированных в матрице полимолочной кислоты, будет обеспечено пролонгированное высвобождение антимикробной добавки. Ранее подобный механизм выделения функциональной добавки был описан для похожих систем на основе полилактида и бриллиантового зеленого [28].
БЛАГОДАРНОСТЬ
Исследования проводились с использованием оборудования Центра коллективного пользования РЭУ имени Плеханова.
СОБЛЮДЕНИЕ ЭТИЧЕСКИХ СТАНДАРТОВ
В данной работе отсутствуют исследования человека или животных.
КОНФЛИКТ ИНТЕРЕСОВ
Авторы заявляют, что у них нет конфликта интересов.
About the authors
С. Д. Бровина
ФГБОУ ВО “Российский экономический университет имени Г. В. Плеханова”
Author for correspondence.
Email: son-bro@mail.ru
Научная лаборатория “Перспективные композиционные материалы и технологии”
Russian Federation, 115054, Москва, Стремянный пер., д. 36Е. Е. Масталыгина
ФГБОУ ВО “Российский экономический университет имени Г. В. Плеханова”; ФГБУН “Институт биохимической физики им. Н. М. Эмануэля” РАН
Email: son-bro@mail.ru
Научная лаборатория “Перспективные композиционные материалы и технологии”, лаборатория физико-химии композиций синтетических и природных полимеров
Russian Federation, 115054, Москва, Стремянный пер., д. 36; 119334, Москва, ул. Косыгина, д. 4Е. С. Трофимчук
ФГБОУ ВО “Российский экономический университет имени Г. В. Плеханова”
Email: son-bro@mail.ru
Научная лаборатория “Перспективные композиционные материалы и технологии”
Russian Federation, 115054, Москва, Стремянный пер., д. 36А. А. Попов
ФГБОУ ВО “Российский экономический университет имени Г. В. Плеханова”; ФГБУН “Институт биохимической физики им. Н. М. Эмануэля” РАН
Email: son-bro@mail.ru
Научная лаборатория “Перспективные композиционные материалы и технологии”, лаборатория физико-химии композиций синтетических и природных полимеров
Russian Federation, 115054, Москва, Стремянный пер., д. 36; 119334, Москва, ул. Косыгина, д. 4References
- Pekhtasheva E.L., Neverov A.N., Zaikov G.E. Biodamage and Biodegradation of Polymeric Materials: New Frontiers. Smithers Rapra Technology, 2012.
- Cappitelli F., Sorlini C. Microorganisms attack synthetic polymers in items representing our cultural heritage // Applied and Environmental Microbiology. 2008. V. 74. № 3. P. 564–569. https://doi.org/10.1128/AEM.01768-07
- Plakunov V.K., Gannesen A.V., Mart’yanov S.V., Zhurina M.V. Biocorrosion of synthetic plastics: Degradation mechanisms and methods of protection // Microbiology. 2020. V. 89. № 6. С. 647–659. https://doi.org/10.1134/S0026261720060144
- Venkatesan R., Santhamoorthy M., Alagumalai K., Haldhar R., Raorane CJ., Raj V., Kim S-C. Novel approach in biodegradation of synthetic thermoplastic polymers: An overview // Polymers. 2022. V. 14. № 20. P. 4271. https://doi.org/10.3390/polym14204271
- Jones A. Choosing antimicrobial additives for plastics // Plastics, Additives and Compounding. 2009. V. 11. № 4. P. 26–28. https://doi.org/10.1016/S1464-391X(09)70109-6
- Ghazzy A., Naik R.R., Shakya A.K. Metal–polymer nanocomposites: A promising approach to antibacterial materials // Polymers. 2023. V. 15. № 9. P. 2167. https://doi.org/10.3390/polym15092167
- Масталыгина Е.Е., Колесникова Л.А., Бровина С.Д. Антимикробные добавки для создания функциональных полимерных материалов для различных сфер применения // Безопасность труда в промышленности. 2023. № 8. С. 7–14.
- Ippili S., Jung, J.-S., Thomas A.M., Vuong V.-H., Lee J.-M., Sha M.S., Sadasivuni K.K., Jella V., Yoon S.-G. An overview of polymer composite films for antibacterial display coatings and sensor applications // Polymers. 2023. V. 15. № 18. P. 3791. https://doi.org/10.3390/polym15183791
- Gadi B., Jeffrey G. Copper as a biocidal tool // Current Medicinal Chemistry. 2005. V. 12. № 18. P. 2163–2175. https://doi.org/10.2174/0929867054637617
- Russell S.M. The effect of an acidic, copper sulfate-based commercial sanitizer on indicator, pathogenic, and spoilage bacteria associated with broiler chicken carcasses when applied at various intervention points during poultry processing // Poultry Science. 2008. V. 87. № 7. P. 1435–1440. https://doi.org/10.3382/ps.2007-00339
- Grass G., Rensing C., Solioz M. Metallic copper as an antimicrobial surface // Appl. Environ. Microbiol. 2011. V. 77. № 5. P. 1541–1547. https://doi.org/10.1128/AEM.02766-10
- Konieczny J., Rdzawski Z. Antibacterial properties of copper and its alloys // Archives of Materials Science and Engineering. 2012. V. 56. № 2. P. 53–60.
- Pulutan M.L.D., Garcia M.C., Herrera M.U. Antimicrobial activity of copper sulfate and copper oxide embedded on polyurethane foam // Materials Science Forum. 2018. V. 917. P. 22–26. https://doi.org/10.4028/www.scientific.net/MSF.917.22
- Popescu V., Prodan D., Cuc S., Saroşi C., Furtos G., Moldovan A., Carpa R., Bomboş D. Antimicrobial poly (lactic acid)/copper nanocomposites for food packaging materials // Materials. 2023. V. 16. № 4. P. 1415. https://doi.org/10.3390/ma16041415
- Shrivastava A., 4 – Additives for Plastics, Ed.: Shrivastava A. In Plastics Design Library, Introduction to Plastics Engineering. William Andrew Publishing. 2018. P. 111–141.
- Zainab A., Fahimeh K., Mehdi A., Mahmoud A., Narges T.M., Jaffar A.S., Chinmayananda G., Mohsen A., Hossein S.K. A review on the impacts of metal/metal nanoparticles on characteristics of hydrogels: Special focus on carbohydrate polymers // International Journal of Biological Macromolecules. 2023. V. 253. Part 1. P. 126535. https://doi.org/10.1016/j.ijbiomac.2023.126535
- Raquez J.-M., Habibi Y., Murariu M., Dubois P. Polylactide (PLA)-based nanocomposites // Progress in Polymer Science. 2013. V. 38. № 10–11. P. 1504–1542. https://doi.org/10.1016/j.progpolymsci.2013.05.014
- Olmos D., González-Benito J. Polymeric materials with antibacterial activity: A review // Polymers. 2021. V. 13. P. 613. https://doi.org/10.3390/polym13040613
- Castro-Aguirre E., Iñiguez-Franco F., Samsudin H., Fang X., Auras R. Poly(lactic acid) – Mass production, processing, industrial applications, and end of life // Adv. Drug Deliv. Rev. 2016. V. 107. P. 333–366. https://doi.org/10.1016/j.addr.2016.03.010
- Ranakoti L., Gangil B., Mishra S.K., Singh T., Sharma S., Ilyas R., El-Khatib S. Critical review on polylactic acid: Properties, structure, processing, biocomposites, and nanocomposites // Materials. 2022. V. 15. № 12. P. 4312. https://doi.org/10.3390/ ma15124312
- Volynskii A.L., Bakeev N.F. Surface Phenomena in the Structural and Mechanical Behaviour of Solid Polymers // New York: Taylor & Francis. 2016. P. 237–245.
- Arzhakova O.V., Dolgova A.A., Yarysheva L.M., Volynskii A.L., Bakeev N.F. Specific features of the environmental crazing of poly(ethylene terephthalate) fibers // Polymer. 2015. V. 56. P. 256–262. https://doi.org/10.1016/j.polymer.2014.11.044
- Weichold O., Goel P., Lehmann K-H., Möller M. Solvent crazed PET fibers imparting antibacterial activity by release of Zn2+ // Journal of Applied Polymer Science. 2009. V. 112. № 5. P. 2634–2640. https://doi.org/10.1002/app.29818
- Goldade V.A., Pinchuk L.S., Vinidiktova N.S. Modification of polyester fibers by bactericides using crazing mechanism // International Polymer Processing. 2010. V. 25. № 3. P. 199–204. https://doi.org/10.3139/217.2321
- Trofimchuk E.S., Efimov A.V., Grokhovskaya T.E., Nikonorova N.I., Moskvina M.A., Sedush N.G., Dorovatovskii P.V., Ivanova O.A., Rukhlya E.G., Volynskii A.L., Chvalun S.N. Cold crystallization of glassy polylactide during solvent crazing // ACS Applied Materials & Interfaces. 2017. V. 9. № 39. P. 34325–34336. https://doi.org/10.1021/acsami.7b09666
- Trofimchuk E.S., Nikonorova N.I., Moskvina M.A., Efimov A.V., Khavpachev M.A., Volynskii A.L. Influence of liquid media on the craze initiation in amorphous polylactide // Polymer. 2018. V. 142. P. 43–47. https://doi.org/10.1016/j.polymer.2018.03.023
- Khavpachev M., Trofimchuk E., Nikonorova N., Garina E., Moskvina M., Efimov A., Demina V., Bakirov A., Sedush N., Potseleev V., Cherdyntseva T., Chvalun S. Bioactive polylactide fibrous materials prepared by crazing mechanism // Macromolecular Materials and Engineering. 2020. V. 305. № 7. P. 2000163. https://doi.org/10.1002/mame.202000163
- Potseleev V.V., Trofimchuk E.S., Nikonorova N.I. Kinetics of the release of brilliant green from nanoporous polylactide obtained by a crazing mechanism // Mendeleev Communications. 2021. V. 31. № 4. P. 515–516. https://doi.org/10.1016/j.mencom.2021.07.026
- Celina M.C. Review of polymer oxidation and its relationship with materials performance and lifetime prediction // Polymer Degradation and Stability. 2013. V. 98. № 12. P. 2419–2429. https://doi.org/10.1016/j.polymdegradstab.2013.06.024
- Trofimchuk E.S., Efimov A.V., Moskvina M.A., Ivanova O.A., Nikonorova N.I., Zezin S.B., Bakirov A.V., Volynskii A.L. Nanocomposites based on porous polylactide, obtained by crazing mechanism in water-ethanol solution, and calcium phosphates // Polymer Science, Series A. 2018. V. 60. № 6. P. 845–853. https://doi.org/10.1134/S0965545X19010097
Supplementary files












