Кинетические закономерности синтеза наночастиц диоксида кремния при гетерогенном гидролизе тетраэтоксисилана с использованием L-аргинина в качестве катализатора
- Autores: Масалов В.М.1, Сухинина Н.С.1, Совык Д.Н.2, Ральченко В.Г.2, Емельченко Г.А.1
-
Afiliações:
- Институт физики твердого тела имени Ю.А. Осипьяна РАН
- Институт общей физики им. А.М. Прохорова РАН
- Edição: Volume 86, Nº 2 (2024)
- Páginas: 234-243
- Seção: Articles
- ##submission.dateSubmitted##: 08.07.2024
- ##submission.dateAccepted##: 08.07.2024
- ##submission.datePublished##: 15.03.2024
- URL: https://journal-vniispk.ru/0023-2912/article/view/259161
- DOI: https://doi.org/10.31857/S0023291224020083
- EDN: https://elibrary.ru/DGCWQP
- ID: 259161
Citar
Texto integral
Resumo
В работе исследована кинетика синтеза наночастиц кремнезема (< 50 нм) в условиях гетерогенного гидролиза тетраэтоксисилана (ТЭОС) с использованием L-аргинина в качестве щелочного катализатора. Определены скорости процесса образования диоксида кремния в диапазоне температур 10–95°C при концентрациях катализатора 6–150 мМ. Показано, что энергия активации процесса зависит от концентрации катализатора и изменяется в диапазоне 21.5–13.9 кДж/моль, линейно уменьшаясь с ростом концентрации L-аргинина в системе. Проведена оценка критерия сохранения монодисперсности частиц SiO2 при их доращивании “на затравку”. Экспериментально установлена зависимость плотности кремнеземных частиц субмикронных размеров от температуры отжига. В диапазоне температур 200–1000°C плотность частиц меняется от 2.04 до 2.20 г/см3.
Texto integral
ВВЕДЕНИЕ
Нано- и микрочастицы аморфного диоксида кремния находят применение в катализе [1, 2], хроматографии [3], оптике [4], в качестве материала для финишной полировки [5, 6] и в других областях техники. Возможность изменения пористости частиц и функционализации их поверхности, а также биосовместимость диоксида кремния открывает широкие перспективы по их использованию в биологии и медицине [7–10]. Упорядоченные трехмерные структуры, образованные сферическими кремнеземными частицами, широко используются в качестве модельных систем для изучения молекулярной диффузии в нанопорах [11–14], в качестве шаблонов для создания упорядоченных инвертированных полимерных [15, 16], мезопористых углеродных [17, 18] и алмазных [19, 20] материалов.
В 1956 году Герхард Колбе впервые продемонстрировал получение сферических частиц диоксида кремния путем гидролиза тетраэтоксисилана (ТЭОС) в спиртоводном растворе в присутствии аммиака в качестве щелочного катализатора [21]. Штобер, Финк и Бон в 1968 году усовершенствовали этот процесс и показали возможность получения частиц с размерами от 50 нм до 2 мкм практически идеальной сферической формы с высокой монодисперсностью [22]. В дальнейшем была показана возможность контролируемого ступенчатого доращивания частиц кремнезема до заранее заданных размеров путем использования их в качестве затравок и добавления в систему расчетных количеств ТЭОС [23–25]. Различные модификации метода Штобера до недавнего времени оставались основным способом синтеза монодисперсных частиц кремнезема ввиду его простоты и возможности получения частиц с относительно узким распределением их по размерам в широком диапазоне диаметров (от ~100 до ~3000 нм) [23–30].
Основным ограничением процесса Штобера является сложность получения высокой монодисперсности для частиц размерами менее 100 нм. В 2006 году Т. Ёкои с соавт. [31] и Т. М. Дэвис с соавт. [32] предложили метод получения сферических наночастиц кремнезема путем гидролиза ТЭОС в слабощелочных условиях (рН 9–10) в эмульсионной системе, содержащей ТЭОС, воду и аминокислоту L-лизин. Полученные частицы диоксида кремния с диаметрами в диапазоне 10–20 нм показали высокую монодисперсность, недостижимую при выращивании частиц методом Штобера.
К. Д. Хартлен с соавт. [33] показали, что, используя метод гетерогенного гидролиза ТЭОС в присутствии аминокислоты (L-аргинина) в качестве щелочного катализатора, размеры частиц можно менять путем их доращивания в той же среде с сохранением высокой монодисперсности. Авторы также показали, что эти частицы можно использовать в качестве затравок в процессах доращивания хорошо изученным многоступенчатым методом Штобера. Это позволяет сочетать преимущества обеих методик и получать частицы в широком диапазоне размеров (от десятков нанометров до нескольких микрон в диаметре) с высокой степенью однородности (< 5%).
Несмотря на то, что в последующие годы была проделана большая работа по исследованию физико-химических процессов, сопровождающих получение частиц диоксида кремния гетерогенным гидролизом ТЭОС в присутствии аминокислот, некоторые аспекты синтеза требуют дополнительного изучения. В частности, недостаточно данных о кинетике процесса и механизме формирования коллоидных частиц диоксида кремния. В представленной статье мы сообщаем о результатах исследования кинетики синтеза кремнезема в условиях гетерогенного гидролиза ТЭОС с использованием L-аргинина в качестве щелочного катализатора. На основании полученных экспериментальных данных по определению скорости химической реакции гидролиза ТЭОС и конденсации его продуктов рассчитаны величины энергии активации процесса при различной концентрации L-аргинина в системе. Представлены результаты оценки условий сохранения монодисперсности доращиваемых частиц и результаты исследования изменения плотности и пористости частиц в процессе их термообработки.
ЭСПЕРИМЕНТАЛЬНАЯ ЧАСТЬ
Тетраэтоксисилан (TЭOС) 98% предварительно очищали ректификацией. L-аргинин 99% (Panreac) использовали без дополнительной очистки. Деионизированная вода (~18 МОм/см) была получена с помощью деионизатора “Аквилон D-301”.
Исследования кинетики образования диоксида кремния проводили в общем объеме реакционной смеси 300 мл. В 250 мл деионизированной воды добавляли L-аргинин (от 6 до 150 мМ) и тщательно перемешивали при помощи магнитной мешалки Heidolph MR MIX-D, совмещенной с водяным термостатом Elmi TW-2.02 до растворения аминокислоты. Раствор нагревали до заданной температуры и добавляли 50 мл тетраэтоксисилана (ТЭОС), нагретого до такой же температуры. Температуру раствора в интервале значений 10–95°C поддерживали постоянной с точностью ±0.1оС в течение всего времени синтеза. Скорость вращения магнитной мешалки (50 × 8 мм) во всех экспериментах поддерживали одинаковой и равной 600 об./мин, что обеспечивало получение эмульсии типа “масло в воде”. Геометрия реакционного сосуда во всех экспериментах была одинаковой. Это обеспечивало воспроизводимость размера “капель” ТЭОС в водной среде и одинаковую площадь поверхности раздела “ТЭОС – водный раствор L-аргинина” в ходе экспериментов при одинаковой температуре. В ходе синтеза производили отборы проб коллоидной суспензии для определения массовой концентрации SiO2-частиц и электронно-микроскопических исследований. Массовую концентрацию кремнезема в водной части реакционной смеси определяли по отношению массы высушенных и отожженных при 600°C частиц диоксида кремния, содержащихся в пробе, к массе пробы суспензии. Размеры и морфологию частиц исследовали с помощью сканирующего электронного микроскопа (Zeiss Supra 50 VP). В зависимости от условий проведения синтеза размер получаемых частиц диоксида кремния варьировался в диапазоне 8–45 нм.
Для исследования плотности частиц SiO2 проводили их выращивание многоступенчатым синтезом в системе ТЭОС – водный раствор L-аргинина (2 мМ). Для этого расчетное количество затравок SiO2 диспергировали в водном растворе L-аргинина с помощью магнитной мешалки и добавляли расчетное количество ТЭОС. Доращивание затравок вели при температуре 60°C и непрерывном перемешивании со скоростью вращения магнитной мешалки 200–300 об./мин, обеспечивающей неразрывность границы раздела фаз. После доращивания коллоидных частиц SiO2 до размера ~300 нм суспензию помещали в сосуд, где частицы осаждали методом естественной седиментации. Полученный осадок сушили и отжигали в течение 24 ч при температурах в диапазоне 200–1000°C. Плотность и пористость частиц исследовали методом гидростатического взвешивания, описанным в работе [34].
РЕЗУЛЬТАТЫ И ОБСУЖДЕНИЕ
Процесс синтеза диоксида кремния методом гидролиза ТЭОС включает в себя две основные стадии: гидролиз ТЭОС до образования кремниевой кислоты и последующую поликонденсацию ее мономеров. Схематически процесс можно представить в виде трех основных реакций.
Реакция последовательного гидролиза ТЭОС:
(1)
реакция конденсации с выделением воды:
(2)
реакция конденсации с выделением спирта:
(3)
Суммарную реакцию процесса гидролиза-конденсации можно выразить в виде:
(4)
Гидролиз ТЭОС происходит на границе раздела фаз ТЭОС – водный раствор L-аргинина, и его скорость, как и других гетерогенных реакций, зависит от площади поверхности раздела фаз. В результате гетерогенного гидролиза ТЭОС образуется растворимая в воде форма кремнезема – кремниевая кислота Si(OH)4 (1), а реакция поликонденсации (2, 3) может проходить как в гомогенных условиях в объеме водного раствора (при взаимодействии молекул кремниевой кислоты между собой), так и по гетерогенному механизму на поверхности растущих частиц за счет присоединения молекул кремниевой кислоты (мономера кремнезема) из раствора [35, 36].
Гомогенная реакция конденсации в водной части системы идет с образованием димеров, тримеров и более крупных полимерных образований SiO2, которые могут дорастать до размеров нерастворимых кремнеземных частиц-зародышей. Эти частицы могут присоединиться к ранее образованным растущим частицам или сформировать новые по агрегационному механизму [23]. Ввиду сложного характера процесса гидролиза-поликонденсации, в котором могут проходить и гетерогенные, и гомогенные реакции, мы провели оценку скорости суммарного процесса синтеза диоксида кремния (4), исследовав зависимости скорости его образования от концентрации L-аргинина и температуры проведения процесса синтеза.
Обычно под скоростью гетерогенной химической реакции подразумевают изменение количества (концентрации) реагирующих веществ в единицу времени, отнесенное к единице площади поверхности раздела фаз. При эмульсионном режиме перемешивания жидких фаз не представляется возможным оценить площадь поверхности раздела двух жидких фаз. Поэтому мы оценивали скорость суммарного процесса синтеза путем измерения массовой концентрации кремнезема в единице объема водной части системы в единицу времени. Наблюдаемая средняя суммарная скорость процесса в нашем случае равна изменению концентрации SiO2 в единицу времени, а истинная скорость процесса – производной текущей массовой концентрации диоксида кремния CSiO2 по времени (τ):
На рис. 1 показаны экспериментальные зависимости изменения концентрации SiO2 от времени в ходе гетерогенного гидролиза ТЭОС в условиях двух режимов перемешивания реакционной смеси: с сохранением неразрывности границы раздела фаз ТЭОС/вода (прямая 1) и эмульсионного режима перемешивания (кривая 2). Температура реакции составляла 60°C, концентрация L-аргинина – 6 мМ, объем водного раствора – 250 мл, объем ТЭОС – 50 мл, что при степени конверсии ТЭОС α = 1 соответствует максимальной концентрации [SiO2] = 0.76 M (горизонтальная пунктирная линия, рис. 1). Эмульсионный режим перемешивания реакционной смеси является предпочтительным ввиду более высокой производительности процесса по диоксиду кремния.
Рис. 1. Изменение концентрации диоксида кремния в ходе гидролиза ТЭОС при температуре 60°, концентрации L-аргинина 6 мМ и различной интенсивности перемешивания реакционной смеси: 1 – скорости вращения мешалки 200 об./мин, 2 – 600 об./мин. На правой оси ординат отложена величина степени конверсии ТЭОС.
Из графиков на рис. 1 видно, что на начальном этапе синтеза вплоть до степени конверсии ТЭОС ~0.5 изменение концентрации диоксида кремния носит линейный характер:
CSiO2 = kt,
где k – константа скорости реакции.
То есть на начальном этапе скорость реакции постоянна во времени и не зависит от концентрации реагирующих веществ. Другими словами, гетерогенный гидролиз ТЭОС с последующей конденсацией продуктов гидролиза (суммарное уравнение (4)) представляет собой процесс, соответствующий химической реакции нулевого порядка (по ТЭОС), а кинетическое уравнение имеет вид:
где x = 0.
Скорость реакции (4) в этом случае равна константе скорости суммарного процесса:
По мере расходования ТЭОС его количество и размеры “капель”, распределенных в водной части системы, уменьшаются. Уменьшение площади поверхности раздела двух несмешивающихся фаз приводит к отклонению зависимости от прямой линии вплоть до выхода на постоянное значение. Оно соответствует максимальной концентрации диоксида кремния, которая может быть получена исходя из использованных в реакции объемов воды и ТЭОС (кривая 2, рис. 1).
На рис. 2 показаны экспериментальные зависимости увеличения концентрации диоксида кремния во времени для реакций, проводимых при различных температурах и концентрациях L-аргинина при прочих равных условиях, включая исходные объемы реагентов, геометрию реакционного сосуда, размер магнитного якоря и скорость его вращения.
Рис. 2. Кинетические прямые процесса гетерогенного гидролиза-конденсации ТЭОС при различных температурах и концентрациях L-аргинина.
Для дальнейшего расчета скоростей процесса образования SiO2 принимали во внимание только прямолинейные участки кинетических кривых. Скорость процесса численно равна тангенсам угла их наклона. На рис. 3 показаны экспоненциальные зависимости скорости процесса синтеза диоксида кремния от температуры в диапазоне 10–95°C для разных концентраций L-аргинина (6–150 мМ).
Рис. 3. Зависимости скорости процесса образования SiO2 от температуры для различных концентраций L-аргинина.
Для концентраций L-аргинина в реакционной смеси 6, 15, 30, 50 мМ изменение температуры от 20 до 80°C приводит к увеличению скорости процесса образования SiO2 в ~4 раза. При более высоких концентрациях катализатора (100 и 150 мМ) влияние температуры на скорость процесса несколько снижается, и изменение скорости процесса в том же диапазоне температур составило 3 и 2.5 раза соответственно (табл. 1).
Таблица 1. Значения скоростей процесса образования диоксида кремния w (мМ/с) при различных концентрациях L-аргинина CArg и температурах T
T, °C | CArg, мМ | |||||
6 | 15 | 30 | 50 | 100 | 150 | |
10 | 1.59 | 3.45 | 6.79 | 13.11 | ||
20 | 1.8 | 4.66 | 7.97 | 15.45 | 26.52 | 37.6 |
40 | 2.88 | 7.8 | 14.16 | 23.92 | 36.52 | 47.14 |
60 | 4.9 | 11.71 | 23.27 | 35.05 | 54.61 | 69.6 |
80 | 7.75 | 18.18 | 36.44 | 61.27 | 80.04 | 97.47 |
95 | 11.4 | 29.98 | 56.2 | 87 | ||
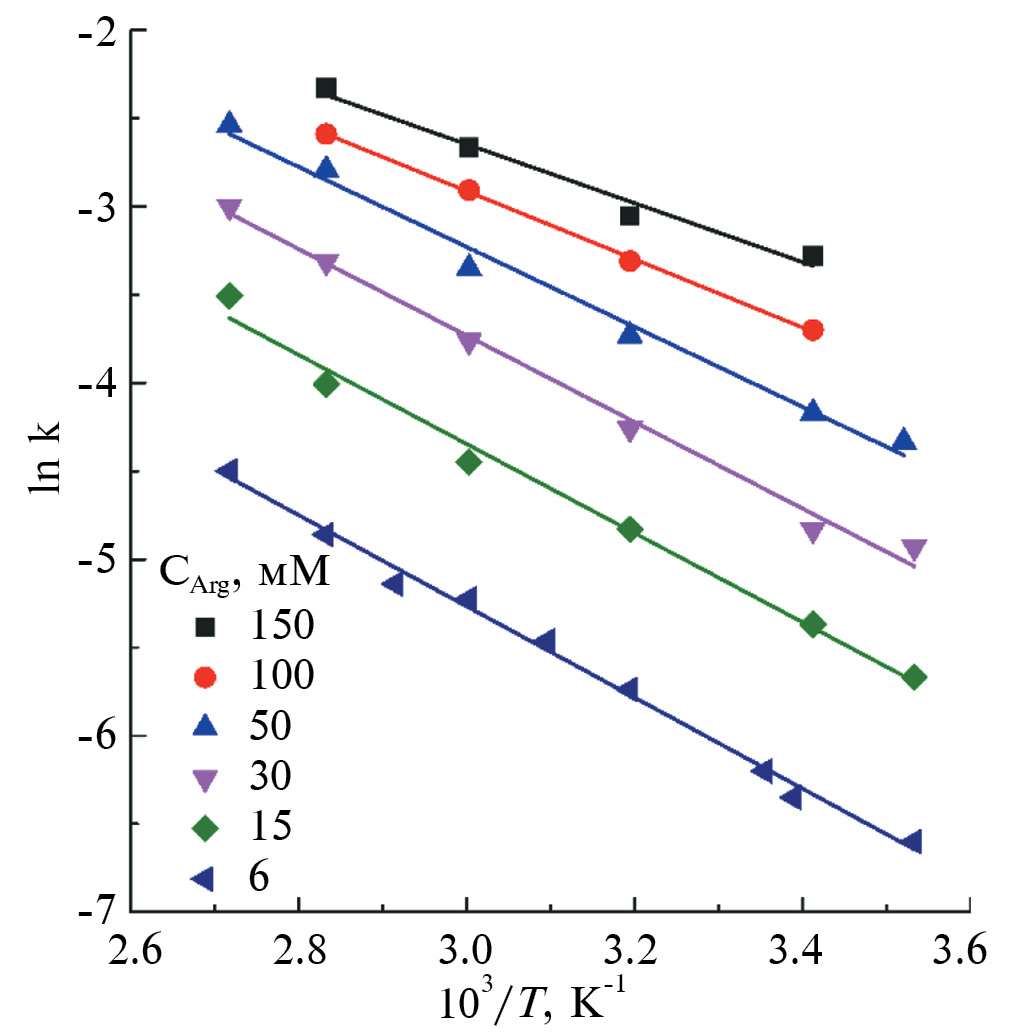
В координатах ln k – 1/Т зависимости констант скорости процесса от температуры хорошо описываются прямыми линиями (рис. 4), что позволяет рассчитать энергию активации процесса при каждом значении концентрации L-аргинина, используя уравнение Аррениуса:
где k – константа скорости реакции, A – константа, Ea – энергия активации, R – газовая постоянная, Т – абсолютная температура. Тангенс угла наклона каждой прямой равен tga = –Ea/R.
Рис. 4. Температурные зависимости константы скорости процесса при различных концентрациях катализатора L-аргинина.
На рис. 5 показана зависимость величины энергии активации от концентрации катализатора L-аргинина в системе. Величина энергии активации процесса синтеза диоксида кремния в диапазоне изменения концентрации L-аргинина от 6 до 150 мМ меняется от значения 21.5 до 13.9 кДж/моль и хорошо описывается уравнением:
Рис. 5. Зависимость величины энергии активации процесса от концентрации L-аргинина.
В работе [24] автор оценил энергию активации процесса синтеза частиц диоксида кремния в условиях гомогенного гидролиза ТЭОС в спиртоводном растворе в присутствии ионов аммония, которая составила Ea = 27 кДж/моль. В работе [37] авторы исследовали кинетику гидролиза-конденсации ТЭОС в условиях гомогенного гидролиза ТЭОС в спиртоводном растворе в присутствии ионов аммония и установили, что энергия активация реакции гидролиза составляет 25.2 кДж/моль, а конденсации – 33.2 кДж/моль. Полученные нами значения энергии активации синтеза диоксида кремния в ходе гетерогенного гидролиза ТЭОС при концентрациях L-аргинина, используемых для получения монодисперсных наночастиц SiO2 (7.5 мМ [33]), оказались близкими (~ 21кДж/моль).
На рис. 6а представлено СЭМ-изображение наночастиц кремнезема, полученных путем гетерогенного гидролиза ТЭОС в присутствии L-аргинина в качестве катализатора. Концентрация L-аргинина в водном растворе составляла 7.5 мМ, объем воды и ТЭОС составляли 500 и 110 мл соответственно, температура синтеза поддерживалась равной 90°C, вращение магнитной мешалки со скоростью 500 об./мин обеспечивало эмульсионный режим перемешивания двухкомпонентной системы. Продолжительность синтеза составила 5 ч. Полученные частицы диоксида кремния диаметром 42.9 ± 2.5 нм (рис. 6а) были использованы в качестве затравок для дальнейшего их доращивания. Для этого часть коллоидной суспензии была диспергирована в водном растворе L-аргинина (2 мМ), а доращивание в условиях гетерогенного гидролиза ТЭОС проводилось в более мягких условиях: температура реакции составляла 60°C, режим перемешивания при вращении мешалки ~200 об/мин соответствовал условию “сохранения целостности границы раздела жидких фаз”. На рис. 6б показано СЭМ-изображение частиц SiO2, достигших диаметра 132.7 ± 2.1 нм. Как видно из рисунка, частицы характеризуются хорошей монодисперсностью. Поверхность получаемых таким методом частиц обычно “шероховатая” (см. врезку на рис. 6б) в отличие от “гладкой” поверхности традиционных штоберовских частиц. Это отличие связано с тем, что при гетерогенном доращивании концентрация растворенного кремнезема (Si(OH)4) сохраняется на протяжении всего синтеза, а в случае гомогенного ступенчатого доращивания частиц модифицированными методами Штобера концентрация растворенного кремнезема в конце ступени роста падает до значений, когда рост происходит преимущественно за счет присоединения к растущей поверхности низкоразмерных частиц SiO2 и мономеров Si(OH)4.
Рис. 6. Частицы диоксида кремния, полученные гетерогенным гидролизом ТЭОС в присутствии L-аргинина. Частицы диоксида кремния D = 132.7 ± 2.1 нм (б), полученные доращиванием частиц диаметром D = 42.9 ± 2.5 нм (а). На вставках показаны нормальные распределения частиц по размерам.
Монодисперсность частиц диоксида кремния, получаемых методом доращивания затравочных частиц, в большой степени зависит от соотношения суммарной площади поверхности затравок и скорости образования диоксида кремния в системе. По-видимому, при агрегационном механизме роста затравочных частиц скорость гетерогенной конденсации гидроксилов на их поверхности и поверхности формирующихся первичных частиц ограничена. В случае превышения возможностей утилизации образовавшихся первичных частиц имеющейся поверхностью затравок начинается вторичное зарождение новых растущих частиц, что приводит к нарушению однородности частиц по размеру. Для оценки критерия сохранения монодисперсности нами были проделаны следующие эксперименты. В качестве затравочных частиц были взяты монодисперсные частицы диоксида кремния диаметром ~200 нм. Разное контролируемое их количество было диспергировано в водном растворе L-аргинина (2 мМ). Доращивание этих затравочных частиц проводилось в условиях контроля скорости образования диоксида кремния в системе. Контроль монодисперсности растущих частиц осуществлялся при помощи сканирующей микроскопии. В качестве численного критерия K [г⁄(ч · см2)] было взято отношение скорости образования диоксида кремния w (г/ч) к площади поверхности затравочных частиц S (cм2): K = w/S. На рис. 7 представлены СЭМ-изображения частиц диоксида кремния, полученных путем доращивания затравок при значениях K = 2.13 · 10–6 г⁄(ч · см2) (рис. 7а) и K = 2.11 · 10–8 г⁄(ч · см2) (рис. 7б). Исследования показали, что для обеспечения монодисперсности частиц диоксида кремния, получаемых на затравку, нужно поддерживать условия синтеза, при которых значения K не превышают величины ~3.5 · 10–8 г⁄(ч · см2).
Рис. 7. СЭМ-изображения частиц SiO2, полученных доращиванием затравок: (а) бимодальное распределение частиц по размерам; (б) монодисперсные частицы.
Плотность и пористость выращенных частиц диоксида кремния исследовали методом гидростатического взвешивания. На рис. 8 представлена зависимость плотности частиц SiO2 диаметром 300 нм от температуры их термообработки в течение 24 ч в диапазоне температур 200–1000°C.
Рис. 8. Зависимость плотности частиц диоксида кремния диаметром ~300 нм, полученных в условиях гетерогенного гидролиза ТЭОС в присутствии L-аргинина, от температуры отжига. Продолжительность отжигов составляла 24 ч.
Как видно из графика, плотность частиц меняется от 2.04 до 2.20 г/см3. Начальная плотность частиц диоксида кремния, полученных гетерогенным синтезом в присутствии L-аргинина, превышает плотность частиц, получаемых традиционным методом Штобера (1.6–1.8 г/см3) [23, 26, 38]. Пористость (П) частиц можно рассчитать по формуле П = 1 – rч/rSiO2, где rч – плотность частиц, rSiO2 – плотность аморфного кремнезема (2.22 г/см3). Пористость исходных частиц составляет ~10% об. Остаточная пористость после отжига 1000°C составила ~1.2% об.
ЗАКЛЮЧЕНИЕ
В работе исследована кинетика синтеза коллоидных наночастиц кремнезема в условиях гетерогенного гидролиза тетраэтоксисилана (ТЭОС) с использованием L-аргинина в качестве щелочного катализатора. Впервые определены скорости процесса образования диоксида кремния в диапазоне температур 10–95°C при концентрациях катализатора 6–150 мМ. Установлена зависимость энергии активации синтеза диоксида кремния от концентрации катализатора. Показано, что энергия активации процесса изменяется в диапазоне 21.5–13.9 кДж/моль, линейно уменьшаясь с ростом концентрации L-аргинина в системе. Впервые проведена оценка критерия сохранения монодисперсности частиц SiO2 при их доращивании “на затравку”. Для обеспечения монодисперсности частиц необходимо поддерживать условия синтеза, при которых значения K не превышают величины ~3.5 · 10–8 г⁄(ч · см2). Экспериментально установлена зависимость плотности кремнеземных частиц субмикронных размеров, полученных в условиях гетерогенного гидролиза ТЭОС с использованием L-аргинина в качестве катализатора, от температуры отжига. В диапазоне температур 200–1000°C плотность частиц меняется от 2.04 до 2.20 г/см3. Полная пористость частиц при этом уменьшается с 10 до 1.2% об. Полученные данные по кинетике образования диоксида кремния в ходе гетерогенного гидролиза ТЭОС и поликонденсации кремниевой кислоты в присутствии L-аргинина вносят вклад в исследования физико-химических основ синтеза и механизма формирования нано- и субмикронных монодисперсных частиц кремнезема. Такие частицы будут востребованы при получении высокоупорядоченных периодических структур для создания на их основе фотонных кристаллов и пористых матриц для применений в катализе, хроматографии, биомедицине.
ФИНАНСИРОВАНИЕ РАБОТЫ
Работа выполнена при финансовой поддержке РНФ (грант 21-12-00403).
СОБЛЮДЕНИЕ ЭТИЧЕСКИХ СТАНДАРТОВ
В данной работе отсутствуют исследования человека или животных.
КОНФЛИКТ ИНТЕРЕСОВ
Авторы заявляют, что у них нет конфликта интересов.
Sobre autores
В. Масалов
Институт физики твердого тела имени Ю.А. Осипьяна РАН
Email: sovyk@inbox.ru
Rússia, ул. Академика Осипьяна, 2, Черноголовка, Московская обл., 142432
Н. Сухинина
Институт физики твердого тела имени Ю.А. Осипьяна РАН
Email: sovyk@inbox.ru
Rússia, ул. Академика Осипьяна, 2, Черноголовка, Московская обл., 142432
Д. Совык
Институт общей физики им. А.М. Прохорова РАН
Autor responsável pela correspondência
Email: sovyk@inbox.ru
Rússia, ул. Вавилова, 38, Москва, 119991
В. Ральченко
Институт общей физики им. А.М. Прохорова РАН
Email: sovyk@inbox.ru
Rússia, ул. Вавилова, 38, Москва, 119991
Г. Емельченко
Институт физики твердого тела имени Ю.А. Осипьяна РАН
Email: sovyk@inbox.ru
Rússia, ул. Академика Осипьяна, 2, Черноголовка, Московская обл., 142432
Bibliografia
- Korach L., Czaja K., Kovaleva N.Y. Sol–gel material as a support of organometallic catalyst for ethylene polymerization // Eur. Poly. J. 2008. V. 44. № 3. P. 889–903. https://doi.org/10.1016/j.eurpolymj.2007.11.037
- Li L., Ewing C.S., Abdelgaid M. et al. Binding of CO and O on low-symmetry Pt clusters supported on amorphous silica // The Journal of Physical Chemistry C. 2021. V. 125. № 25. P. 13780–13787. https://doi.org/10.1021/acs.jpcc.1c01452
- Тихомирова Т.И., Нестеренко П.Н. Особенности реакций комплексообразования на поверхности модифицированных кремнеземных сорбентов: сорбция и комплексообразовательная хроматография металлов // Координационная химия. 2022. Т. 48. № 10. С. 615–624. https://doi.org/10.31857/S0132344X22100085
- Chen Y., Li L., Xu Q. et al. Recent advances in opal/inverted opal photonic crystal photocatalysts // Sol. RRL. 2021. V. 5. № 6. P. 2000541. https://doi.org/10.1002/solr.202000541
- Moon B.-S., Hwang H.-S., Park J.-G. Influences of organic additive molecular weight in colloidal-silica-based slurry on final polishing characteristics of silicon wafer // Journal of The Electrochemical Society. 2012. V. 159. № 2. H107–H111. https://doi.org/10.1149/2.032202jes
- Bae J.-Y., Han M.-H., Lee S.-J. et al. Silicon wafer CMP slurry using a hydrolysis reaction accelerator with an amine functional group remarkably enhances polishing rate // Nanomaterials. 2022. V. 12. № 21. P. 3893. https://doi.org/10.3390/nano12213893
- Ding Y., Xiao Z., Chen F. et al. A mesoporous silica nanocarrier pesticide delivery system for loading acetamiprid: Effectively manage aphids and reduce plant pesticide residue // Sci Total Environ. 2023. V. 863. P. 160900. https://doi.org/10.1016/j.scitotenv.2022.160900
- Zhang Z., Li W., Chang D. et al. A combination therapy for androgenic alopecia based on quercetin and zinc/copper dual-doped mesoporous silica nanocomposite microneedle patch // Bioactive Mater. 2023. V. 24. P. 81–95. https://doi.org/10.1016/j.bioactmat.2022.12.007
- Wang H., Chang X., Ma Q. et al. Bioinspired drug-delivery system emulating the natural bone healing cascade for diabetic periodontal bone regeneration // Bioactive Mater. 2023. V. 21. P. 324–339. https://doi.org/10.1016/j.bioactmat.2022.08.029
- Kerry R.G., Singh K.RB, Mahari S. et al. Bioactive potential of morin loaded mesoporous silica nanoparticles: A nobel and efficient antioxidant, antidiabetic and biocompatible abilities in in-silico, in-vitro, and invivo models // OpenNano. 2023. V. 10. P. 100126. https://doi.org/10.1016/j.onano.2023.100126
- Rivera D., Harris J.M. In situ ATR-FT-IR kinetic studies of molecular transport and surface binding in thin sol–gel films: Reactions of chlorosilane reagents in porous silica materials // Anal. Chem. 2001. V. 73. № 3. P. 411–423. https://doi.org/10.1021/ac000947j
- McCain K.S., Schluesche P., Harris J.M. Poly(amidoamine) dendrimers as nanoscale diffusion probes in sol–gel films investigated by total internal reflection fluorescence spectroscopy // Anal. Chem. 2004 V. 76. № 4. P. 939–946. https://doi.org/10.1021/ac0351015
- McCain K.S., Harris J.M. Total internal reflection fluorescence-correlation spectroscopy study of molecular transport in thin sol–gel films // Anal. Chem. 2003. V. 75. № 14. P. 3616–3624. https://doi.org/10.1021/ac0207731
- McCain K.S., Hanley D.C., Harris J.M. Single-molecule fluorescence trajectories for investigating molecular transport in thin silica sol–gel films // Anal. Chem. 2003. V. 75. № 17. P. 4351–4359. https://doi.org/10.1021/ac0345289
- Johnson S.A., Olivier P.J., Mallouk T.E. Ordered mesoporous polymers of tunable pore size from colloidal silica templates // Science. 1999. V. 283. № 5404. P. 963–965. https://doi.org/10.1126/science.283.5404.963
- Masalov V.М., Dolganov P.V., Sukhinina N.S. et al. Synthesis of polymer-based inverted opal and transformation of its optical properties // Advances in Nano Research. 2014. V. 2. № 1. P. 69–76. https://doi.org/10.12989/anr.2014.2.1.069
- Lei Z., Xiao Y., Dang L. et al. Fabrication of ultra-large mesoporous carbon with tunable pore size by monodisperse silica particles derived from seed growth process // Microporous Mesoporous Mater. 2006. V. 96. № 1–3. P. 127–134. https://doi.org/10.1016/j.micromeso.2006.06.031
- Сухинина Н.С., Масалов В.М., Жохов А.А. и др. Синтез и модификация углеродных инвертированных опалоподобных наноструктур на основе антрацена и их электрохимические характеристики // Российские нанотехнологии. 2017. Т. 12. № 11–12. С. 54–61.
- Zakhidov A.A., Baughman R.H., Iqbal Z. et al. Carbon structures with three-dimensional periodicity at optical wavelengths // Science. 1998. V. 282. № 5390. P. 897–901. https://doi.org/10.1126/science.282.5390.897
- Dai B., Shu G., Ralchenko V. et al. 2D inverse periodic opal structures in single crystal diamond with incorporated silicon-vacancy color centers // Diamond and Related Materials. 2017. V. 73. P. 204–209. https://doi.org/10.1016/J.DIAMOND.2016.09.022
- Kolbe G. Das komplexchemiche Verhalten der Kieselsaure. Dissertation, Friedrich-Schiller Universitat Jena, 1956.
- Stöber W., Fink A., Bohn E. Controlled growth of monodisperse silica spheres in the micron size range // J. Colloid Interface Sci. 1968. V. 26. № 1. P. 62–69. https://doi.org/10.1016/0021-9797(68)90272-5
- Bogush G.A., Tracy M.A., Zukovski IV C.F. Preparation of monodisperse silica particles: Control of size and mass fraction // J. Non-Cryst. Solids. 1988. V. 104. № 1. P. 95–106. https://doi.org/10.1016/0022-3093(88)90187-1
- Giesche H. Synthesis of monodispersed silica powders I. Particle properties and reaction kinetics // J. Eur. Ceram. Soc. 1994. V. 14. № 3. P. 189–204. https://doi.org/10.1016/0955-2219(94)90087-6
- Chang S.M., Lee M., Kim W.-S. Preparation of large monodispersed spherical silica particles using seed particle growth // J. Colloid Interface Sci. 2005. V. 286. № 2. P. 536–542. https://doi.org/10.1016/j.jcis.2005.01.059
- van Helden A.K., Jansen J.W., Vrij A. Preparation and characterization of spherical monodisperse silica dispersions in nonaqueous solvents // J. Colloid Interface Sci. 1981. V. 81. № 2. P. 354–368. https://doi.org/10.1016/0021-9797(81)90417-3
- Makrides A.C., Turner M., Slaughter J. Condensation of silica from supersaturated silicic acid solutions // J. Colloid Interface Sci. 1980. V. 73. № 2. P. 345–367.https://doi.org/10.1016/0021-9797(80)90081-8
- Bailey J.K., Meckartney M.L. Formation of colloidal silica particles from alkoxides // Colloids and Surfaces. 1992. V. 63. № 1–2. P. 151–161. https://doi.org/10.1016/0166-6622(92)80081-C
- van Blaaderen A., van Geest J., Vrij A. Monodisperse colloidal silica spheres from tetraalkoxysilanes: Particle formation and growth mechanism // J. Colloid Interface Sci. 1992. V. 154. № 2. P. 481–501. https://doi.org/10.1016/0021-9797(92)90163-G
- Chen S.-L. Preparation of monosize silica spheres and their crystalline stack // Colloids and Surfaces. 1998. V. 142. № 1. P. 59–63. https://doi.org/10.1016/S0927-7757(98)00276-3
- Yokoi T., Sakomoto Y., Terasaki O. et al. Periodic arrangement of silica nanospheres assisted by amino acids // J. Am. Chem. Soc. 2006. V. 128. № 42. P. 13664–13665. https://doi.org/10.1021/ja065071y
- Davis T.M., Snyder M.A., Krohn J.E., Tsapatsis M. Nanoparticles in lysine–silica sols // Chem. Mater. 2006. V. 18. № 25. P. 5814–5816. https://doi.org/10.1021/cm061982v
- Hartlen K.D., Athanasopoulos A.P.T., Kitaev V. Facile preparation of highly monodisperse small silica spheres (15 to >200 nm) suitable for colloidal templating and formation of ordered arrays // Langmuir. 2008. V. 24. № 5. P. 1714–1720. https://doi.org/10.1021/la7025285
- Самаров Э.Н., Мокрушин А.Д., Масалов В.М., Абросимов Г.Е., Емельченко Г.А. Структурная модификация синтетических опалов в процессе их термообработки // Физика твердого тела. 2006. Т. 48. № 7. С. 1212–1215.
- Matsoukas T., Gulari E. Dynamics of growth of silica particles from ammonia-catalyzed hydrolysis of tetra-ethyl-orthosilicate // J. Colloid Interface Sci. 1988. V. 124. № 1. P. 252–261. https://doi.org/10.1016/0021-9797(88)90346-3
- Matsoukas T., Gulari E. Monomer-addition growth with a slow initiation step: A growth model for silica particles from alkoxides // J. Colloid Interface Sci. 1989. V. 132. № 1. P. 13–21. https://doi.org/10.1016/0021-9797(89)90210-5
- Chen Sh.-L. Kinetics of formation of monodisperse colloidal silica particles through the hydrolysis and condensation of tetraethylorthosilicate // Ind. Eng. Chem. Res. 1996. V. 35. № 12. P. 4487–4493. https://doi.org/10.1021/ie9602217
- Ратников В.В. Определение пористости синтетических опалов и пористого кремния рентгеновским методом // ФТТ. 1997. Т. 39. № 5. С. 956–958.
Arquivos suplementares










