Особенности полиимидных пленок с молекулярными отпечатками эритрозина и индигокармина
- Authors: Хальзова С.А.1, Зяблов А.Н.2, Выборный А.Ю.2
-
Affiliations:
- Муниципальное унитарное предприятие “Очистные сооружения” Борисоглебского городского округа Воронежской области
- Воронежский государственный университет Министерства науки и высшего образования Российской Федерации
- Issue: Vol 86, No 2 (2024)
- Pages: 286-293
- Section: Articles
- Submitted: 08.07.2024
- Accepted: 08.07.2024
- Published: 15.03.2024
- URL: https://journal-vniispk.ru/0023-2912/article/view/259166
- DOI: https://doi.org/10.31857/S0023291224020138
- EDN: https://elibrary.ru/DFRHMF
- ID: 259166
Cite item
Full Text
Abstract
Получены полиимидные пленки с молекулярными отпечатками эритрозина и индигокармина. Методами сканирующей силовой микроскопии и ИК-спектроскопии изучены структура и морфология поверхности пленок. Установлено, что в полимерах с молекулярными отпечатками (ПМО) увеличивается шероховатость поверхности, при этом высота рельефа составляет 3–4 нм, удаление молекул темплата приводит к перераспределению в полимерах с молекулярными отпечатками пор по размеру. Сорбцию красителей пленками ПМО проводили в статических условиях. Рассчитаны степени извлечения и импринтинг-фактор для полимеров с молекулярными отпечатками красителей, полученные высокие их величины указывают на избирательность ПМО к целевой молекуле темплата.
Full Text
ВВЕДЕНИЕ
Полиимиды и полимеры на основе полиамидокислоты нашли применение в биотехнологии, медицине, электротехнике, а также в качестве основы для различных термо- и биостойких материалов и композитов [1, 2]. Отличительной чертой полиимидов является одновременное содержание нескольких различных функциональных групп, а именно амидных, карбоксильных, а также аминогрупп. Совокупность этих структурных элементов дает возможность изменять полимерную цепь, благодаря способности создавать разные сополимеры, а также дает возможность конструировать полимеры, селективные к биоактивным веществам пленки [3, 4]. Отмечается, что полиимиды обладают диэлектрическими свойствами, химической стойкостью, хорошо поддаются микрообработке [5–7]. Для решения аналитических и природоохранных задач, проблем медицины и биохимии требуется получение новых универсальных, селективных и экологически безопасных материалов, которые могут быть использованы в качестве сорбентов, химических и биологических сенсоров, материалов для адресной транспортировки лекарственных веществ [8, 9]. Так, в частности, для создания селективных сенсоров могут быть использованы полимеры с молекулярными отпечатками (ПМО) на основе полиимидов, что позволяет селективно определять в растворах целевые молекулы веществ [10–13].
В процессе синтеза полимеров с молекулярными отпечатками между полимерной сеткой и молекулами–шаблонами (темплатами) происходят взаимодействия за счет образования ковалентных или нековалентных связей. Последующее удаление темплата приводит к образованию полостей, причем их форма, размер и расположение функциональных групп соответствуют используемому темплату. Благодаря “молекулярной памяти”, заложенной в полимерной матрице, эти полости способны к повторному взаимодействию с темплатом [14–16]. Наличие полостей позволяет использовать ПМО как носители лекарственных средств, что значительно расширяет возможности их применения для решения аналитических, медицинских задач и биотехнологий.
Синтетические красители широко используются в пищевой и медицинской индустрии. Содержание красителей строго регламентировано, но если в пищевой промышленности ведется контроль, то в фармацевтической промышленности строгого учета содержания красителей нет. Эритрозин и индигокармин используют для окраски оболочек таблеток, биотканей, в стоматологии. Эритрозин запрещен для применения в пищевой промышленности, но не в фармакологии.
Применение ПМО в качестве селективного слоя сенсоров значительно расширяет спектр возможностей определения красителей в пищевых матрицах, лекарственных препаратах и др. [17–20].
Таким образом, целью работы было получение полиимидных пленок с молекулярными отпечатками эритрозина и индигокармина, исследование их сорбционных свойств, морфологии поверхности и межмолекулярных взаимодействий с молекулами темплата.
ЭКСПЕРИМЕНТАЛЬНАЯ ЧАСТЬ
Для синтеза полимеров с молекулярными отпечатками использовали сополимер 1,2,4,5-бензолтетракарбоновой кислоты с 4,4'-диаминодифенилоксидом (ТУ-6-19-283-85, ОАО МИПП НПО “Пластик”). Шаблонами (темплатами, Т) были синтетические красители (85%, “Люмекс”): эритрозин (Е127) и индигокармин (Е132). Предполимеризационную смесь (ППС) и водно-этанольный раствор красителя (1 мг/см3) в объемном соотношении (ППС : Т = 1 : 1) наносили на керамическую подложку, нагревали при 80°С в течение 1 ч в сушильном шкафу LF-25 (АО “ЛОИП”, г. Санкт-Петербург), затем нагревание продолжали при 180°С в течение 30 мин, что приводит к образованию полиимида по двухстадийной схеме, описанной в работах [21–23]. Далее полученные пленки помещали в дистиллированную воду на 24 ч для удаления темплата. В аналогичных условиях были получены неимпринтированные полимеры (полимеры сравнения).
Толщина полученных пленок измерена эллипсометром ЛЭФ-754 с рабочей длиной волны излучения HeNe лазера – 632.8 нм и составила 1–1.2 мкм.
ИК-спектры полученных полимеров снимали на приборе VERTEX-70 “Брукер” (Германия). Морфологию поверхности пленок исследовали сканирующим силовым микроскопом (ССМ) Solver P47 PRO, (г. Зеленоград). Сканирование образцов проводили в полуконтактном режиме зондом длиной 87 ± 2 мкм фирмы NT-MDT модели HA_NC, жесткость 3.5 Н/м. Обработку изображений проводили в программе FemtoScan Online [24].
Для оценки способности полученных полимеров сорбировать красители из водных растворов использовали метод переменных концентраций. Зависимости представляли в координатах изотерм сорбции А = f(Cравн). Навески полимеров массой 0.015 г помещали в 5 см3 водного раствора красителя, при постоянном перемешивании термостатировали 15–30 мин при температуре 20°C, после чего проводили определение оптической плотности раствора при характеристической длине волны (Е127 – 526 нм, Е132 – 610 нм) на спектрофотометре ПЭ-5300В (“Промэколаб”, г. Санкт-Петербург). Время установления сорбционного равновесия для красителя Е127 составляет 15 мин, а для красителя Е132 – 30 мин.
Сорбционную способность ПМО изучали в статических условиях путем контроля степени извлечения из водного раствора и коэффициента распределения красителя. Степень извлечения (R, %) красителей из раствора определяли по уравнению:
где С0 – концентрация определяемого красителя в водном растворе перед сорбцией, г/дм3; С – концентрация красителя в растворе после сорбции, г/дм3.
Коэффициенты распределения (D) красителей находили по уравнению:
где V – объем анализируемого раствора, дм3, m – масса навески сорбента, г.
Для оценки способности сорбента с молекулярными отпечатками распознавать краситель по сравнению с неимпринтированным полимером рассчитывали импринтинг-фактор:
где DПМО – коэффициент распределения вещества на полимере с молекулярными отпечатками, DПС – коэффициент распределения вещества на неимпринтированном полимере (полимере сравнения, ПС) [25].
По экспериментально установленной максимальной сорбционной емкости ПМО были рассчитаны удельная поверхность полимера Sуд [26] и площади проекции молекул красителей на поверхность сорбента (Si) [27] по формуле:
где Sуд – удельная поверхность полимера м2/г, Аm – максимальная сорбционная емкость ммоль/г, NА – число Авогадро, 6.02 × 1023 моль–1.
РЕЗУЛЬТАТЫ И ОБСУЖДЕНИЕ
В результате анализа поверхности полиимидной пленки без добавления красителя с помощью ССМ выявлено, что высота рельефа составляет 0.5–1.5 нм с содержанием микропор 69.9% (рис. 1). В то же время анализ морфологии пленок ПМО показал, что происходит небольшое изменение количества пор и их размера (табл. 1) с преобладанием микропор, увеличивается шероховатость поверхности (табл. 2). При этом пленки ПМО-Е127 (рис. 2) и ПМО-Е132 (рис. 3) имеют незначительное количество дефектов поверхности, а высота рельефа составляет 3–4 нм. Таким образом, после удаления молекулы темплата на поверхности пленки остаются полости (молекулярные отпечатки), которые комплементарны по форме и размеру, а также по расположению функциональных групп в молекуле красителя.
Таблица 1. Содержание пор (%) в синтезированных полимерных пленках
Классификация пор r, нм | ПАК | ПМО- Е127 | ПМО- Е132 | |
n, % | n, % | n, % | ||
ультра- | 1–10 | нет | нет | нет |
микро- | 10–25 | 69.9 | 76.2 | 66.8 |
мезо- | 25–50 | 26.6 | 22.9 | 30.9 |
макро- | >50 | 3.5 | 0.9 | 2.3 |
Таблица 2. Параметры шероховатости поверхности полиимидных пленок
Пленка | Наибольшая высота рельефа, Smax, нм | Среднеарифметическое отклонение рельефа, Sa, нм | Высота неровностей рельефа по 10 точкам, Sz, нм |
ПАК | 1.48 | 0.13 | 0.16 |
ПМО-Е127 | 5.52 | 0.44 | 0.61 |
ПМО-Е132 | 2.65 | 0.45 | 0.56 |
Рис. 1. ССМ-изображение поверхности пленки на основе полиимида (ПС).
Рис. 2. ССМ-изображение поверхности пленки полимера с молекулярным отпечатком красителя Е127.
Рис. 3. ССМ-изображение поверхности пленки полимера с молекулярным отпечатком красителя Е132.
Структурно-групповой анализ, проведенный по ИК-спектрам полимеров, выявил увеличение интенсивности характеристических полос пропускания для полиимида с молекулами-шаблонами и отсутствие существенных изменений в ИК-спектрах ПМО и их полимеров сравнения (рис. 4, 5).
Рис. 4. ИК-спектр красителя эритрозина (Е127) и полимерных пленок на основе полиимида: 1 – чистый полимер; 2 – полимер после удаления красителя; 3 – полимер с красителем; 4 – краситель.
Рис. 5. ИК-спектр красителя индигокармина (Е132) и полимерных пленок на основе полиимида: 1 – чистый полимер; 2 – полимер после удаления красителя; 3 – полимер с красителем; 4 – краситель.
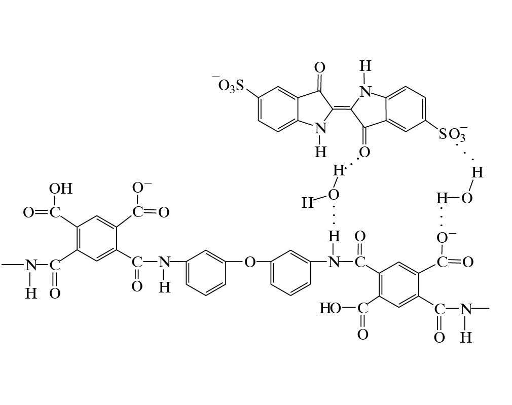
По данным сорбции красителей исследованными полимерами установлено, что из-за слабого взаимодействия между молекулами растворителя и эритрозина Е127 (рис. 6) изотерма S-типа (по классификации Ч. Джайлса) [28] характеризуется вогнутой линией относительно оси концентрации. Параллельная ориентация молекул красителя Е127 относительно поверхности пленки при малых концентрациях приводит к занятию активных центров полимера [28]. Сорбция Е127 на поверхности полиимида (рис. 7) может проходить за счет образования водородной связи между функциональной группой красителя и водой (2364 см–1; СОО– … Н2О) и водой и функциональной группой полиимида (1373 см–1; =NH … H2O) (рис. 4) [29, 30].
Рис. 6. Изотерма сорбции красителя эритрозина (Е127) (рН 6.90): 1 – ПМО-Е127; 2 – ПС.
Рис. 7. Схема образования водородных связей молекул эритрозина Е127 и полиимида.
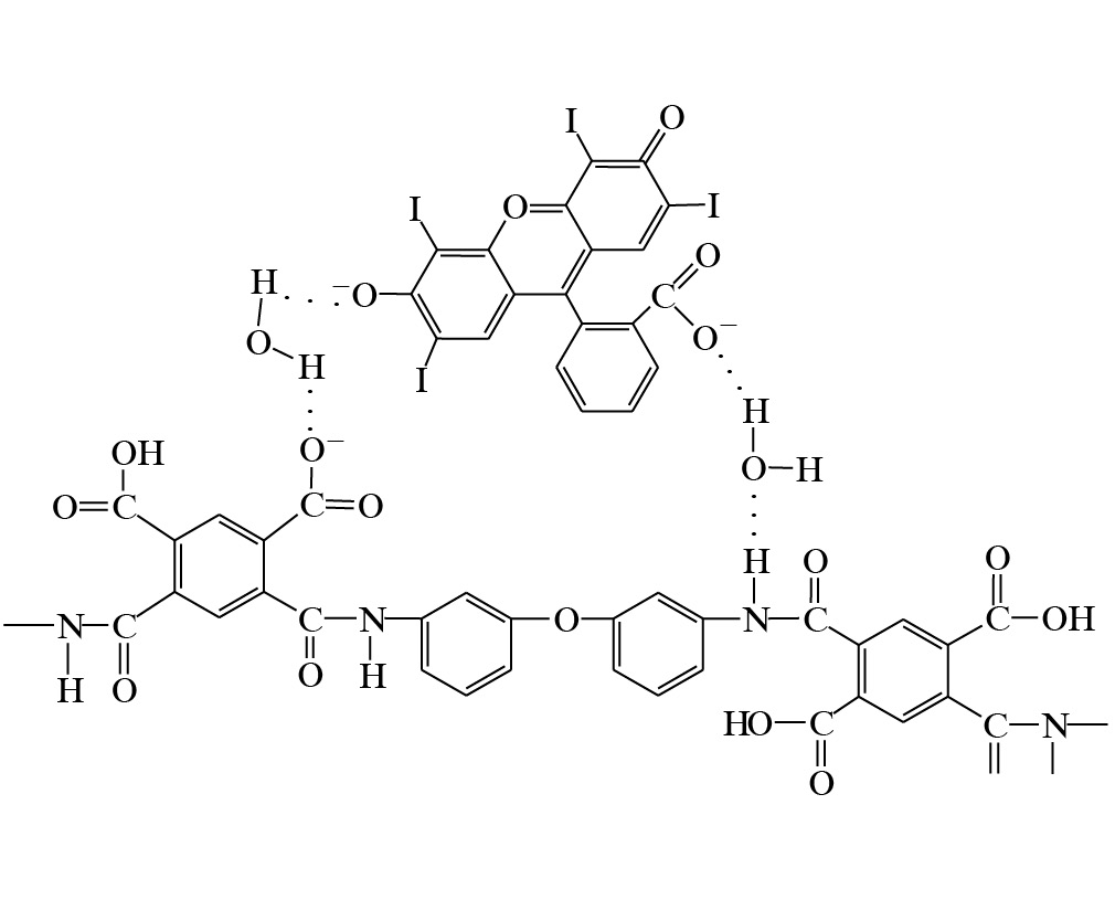
В случае с индигокармином Е132 (рис. 8) из-за взаимодействия красителя с растворителем сорбция его незначительна до концентрации 25 мкмоль/дм3, затем она резко увеличивается, что описывается изотермой V-типа (классификация по IUPAC) [28, 31]. Анализ ИК-спектров показал, что сорбция Е132 на поверхности полиимида протекает через гидрато-разделенную пару, как и при сорбции эритрозина, о чем свидетельствуют полосы пропускания характеристических частот колебаний функциональных групп красителя и воды (1117 см–1; SO3– … H2O) или (1612 см–1; >С=О …Н2О), а также воды и функциональных групп полиимида (2357 см–1; СОО– … Н2О) или (1365 см–1; = NH … H2O) (рис. 5, 9) [29, 30].
Рис. 8. Изотерма сорбции красителя индигокармина (Е132) (рН 6.99): 1 – ПМО-Е132; 2 – ПС.
Рис. 9. Схема образования водородных связей молекул индигокармина Е132 и полиимида.
Сорбционные характеристики для полученных полимеров представлены в табл. 3. Для полимеров сравнения (ПС) значения коэффициентов распределения на порядок ниже, чем для ПМО красителей. Для ПМО красителей характерны высокие значения степеней извлечения и импринтинг-фактор, что указывает на селективность к молекуле красителя.
Таблица 3. Характеристики адсорбции красителя ПМО и ПС (n = 5, P = 0.95)
Сорбент | Краситель | R, % | Sr, % | D, дм3/г | Sr, % | IF | Sr,% |
ПС | Е127 | 18.1 ± 0.9 | 3.8 | 0.0150 ± 0.0007 | 3.5 | 7.3 | 4.1 |
ПМО-Е127 | 79.3 ± 4.3 | 4.3 | 0.110 ± 0.005 | 3.8 | |||
ПС | Е132 | 4.4 ± 0.2 | 3.7 | 0.0121 ± 0.0006 | 3.8 | 3.7 | 4.1 |
ПМО-Е132 | 88.1 ± 3.2 | 2.9 | 0.044 ± 0.002 | 3.2 |
В результате плотного заполнения поверхности полиимидной пленки молекулами эритрозина и индигокармина их площади проекций (Si) не сильно отличаются от рассчитанных значений площадей молекул (а) (табл. 4), что указывает на увеличение дисперсионного взаимодействия с активными центрами поверхности и сохранение образовавшихся Н-связей между функциональными группами молекул красителя и молекулами воды. Вероятно, молекулы красителя в адсорбционном слое располагаются перпендикулярно относительно поверхности сорбента. Таким образом, сорбция красителей происходит за счет образования гидрато-разделенной пары между полиимидом (сорбентом) и красителем.
Таблица 4. Максимальная емкость (Аm) и площадь поверхности Si сорбента, приходящаяся на молекулу красителя
Краситель | S0, нм2 | Хm, мг/г | а, нм2 | Sуд, м2/г | Аm, мкмоль/г | Si, нм2 |
Эритрозин, Е127 | 6.24 | 1.01 | 1.41 | 1.07 | 1.36 | 1.31 |
Индигокармин, Е132 | 4.08 | 1.35 | 0.92 | 1.78 | 3.97 | 0.74 |
Примечание: Хm – величина монослойной адсорбции; а – площадь “посадочной площадки” одной молекулы, S0 – площадь одной молекулы.
ЗАКЛЮЧЕНИЕ
В работе определены равновесные характеристики сорбции красителей полиимидными пленками с молекулярными отпечатками. Изотермы сорбции имеют S-образную форму. Рассчитанные сорбционные характеристики и импринтинг-фактор свидетельствуют о том, что полимеры с молекулярными отпечатками на основе полиимида обладают наибольшей сорбируемостью молекул красителя, чем их полимеры сравнения. Рассчитанные характеристики площади проекции молекул красителя и данные ИК-спектроскопии указывают на их перпендикулярную ориентацию относительно поверхности сорбента, а также на образование водородных связей с полиимидом через гидрато-разделенную пару. Полученные пленки предполагается использовать в создании модифицированных сенсоров и сенсорных систем, которые могут быть использованы в научных исследованиях, а также применяться для анализа или очистки сточных вод.
ФИНАНСИРОВАНИЕ РАБОТЫ
Работа выполнена без какой-либо финансовой поддержки.
СОБЛЮДЕНИЕ ЭТИЧЕСКИХ СТАНДАРТОВ
В данной работе отсутствуют исследования человека или животных.
КОНФЛИКТ ИНТЕРЕСОВ
Авторы данной работы заявляют, что у них нет конфликта интересов.
About the authors
С. А. Хальзова
Муниципальное унитарное предприятие “Очистные сооружения” Борисоглебского городского округа Воронежской области
Author for correspondence.
Email: ahalzov@mail.ru
Russian Federation, ул. Привольная, 2а, Борисоглебск, Борисоглебский район, Воронежская область, 397166
А. Н. Зяблов
Воронежский государственный университет Министерства науки и высшего образования Российской Федерации
Email: ahalzov@mail.ru
Russian Federation, Университетская пл., 1, Воронеж, 394018
А. Ю. Выборный
Воронежский государственный университет Министерства науки и высшего образования Российской Федерации
Email: ahalzov@mail.ru
Russian Federation, Университетская пл., 1, Воронеж, 394018
References
- Зуев В.В. Основы создания полимеров медицинского назначения. Университет ИТМО, 2022.
- Адрова Н.А., Бессонов М.И., Лайус Л.А., Рудаков А.П. Полиимиды – новый класс термостойких полимеров. Ленинград: Наука, 1968.
- Крутько Э.Т., Прокопчук Н.Р. Перспективные пути создания новых термостойких материалов на основе полиимидов // Труды БГТУ: Химия, технология органических веществ и биотехнология. 2013. № 4. С. 145–149.
- Мишина А.А., Зяблов А.Н., Селеменев В.Ф. Моделирование полимеров с молекулярными отпечатками глицина на основе полиамидокислоты и коллоксилина // Известия высших учебных заведений. Сер. Химия и химическая технология. 2010. Т. 53. № 4. С. 20–24.
- Jiang X., Sui X., Lu Y. et al. In vitro and in vivo evaluation of a photosensitive polyimide thin-film microelectrode array suitable for epiretinal stimulation // Journal of Neuroengineering and Rehabilitation. 2013. V. 48. № 10. P. 1–12. https://doi.org/10.1186/1743-0003-10-48
- Lago N., Yoshida K., Koch P.K. et al. Assessment of biocompatibility of chronically implanted polyimide and platinum intrafascicular electrodes // IEEE Transactions on Biomedical Engineering. 2007. V. 2. № 54. P. 281–290. https://doi.org/10.1109/TBME.2006.886617
- Lee K.B., He J., Singh A. et al. Polyimide-based intracortical neural implant with improved structural stiffness // Journal of Micromechanics and Microengineering. 2004. V. 1. № 14. P. 32–37. https://doi.org/10.1088/0960-1317/14/1/305
- Kanno M., Kawakami H., Nagaoka S. et al. Biocompatibility of fluorinated polyimide // Journal of Biomedical Materials Research. 2002. V. 1. № 60. P. 53–60. https://doi.org/10.1002/jbm.1280
- Rusu R.D., Damaceanu M.D., Constantin P.C. Intelligent Polymers for Nanomedicine and Biotechnologies. Boca Raton: Taylor & Francis, 2018.
- Зяблов А.Н., Калач А.В., Жиброва Ю.А., Селеменев В.Ф., Дьяконова О.В. Определение глицина в водных растворах пьезосенсором, модифицированным полимером с молекулярным отпечатком // Журн. аналит. химии. 2010. Т. 65. № 1. С. 93–95. https://doi.org/10.1134/S106193481001017X
- Жиброва Ю.А., Зяблов А.Н., Селеменев В.Ф., Дьяконова О.В., Соколова С.А. Полимеры с молекулярными отпечатками для пьезокварцевых сенсоров. Сообщение 2. Анализ морфологии поверхности пленки коллоксилина // Сорбц. и хроматограф. процессы. 2008. Т. 8. № 5. С. 853–857.
- Зяблов А.Н., Максимов М.С., Селеменев В.Ф., Жиброва Ю.А., Калач А.В. Анализ морфологии поверхности модифицированного пьезокварцевого резонатора // Сорбц. и хроматограф. процессы. 2006. Т. 6. № 5. С. 869–874.
- Бондаревский А.С., Ермолаева Т.Н. Биомимические сенсоры с рецепторными покрытиями на основе полимеров с молекулярными отпечатками // Сорбц. и хроматограф. процессы. 2007. Т. 7. № 1. С. 171–179.
- Гендриксон О.Д., Жердев А.В., Дзантиев Б.Б. Молекулярно-импринтированные полимеры и их применение в биохимическом анализе // Успехи биолог. химии. 2006. Т. 46. С. 149–192.
- Ермолаева Т.Н., Чернышова В.Н., Бессонов О.И. Микро- и наночастицы полимеров с молекулярными отпечатками – синтез, характеристика и применение в пьезокварцевых сенсорах // Сорбц. и хроматограф. процессы. 2015. Т. 15. № 3. С. 345–365.
- Благутина В.В. Отпечатки молекул // Химия и жизнь. 2011. № 3. С. 2–8.
- Болотов В.М. Пищевые красители: классификация, свойства, анализ, применение. СПб.: ГИОРД, 2008.
- Хальзова С.А., Кривоносова Д.А., Зяблов А.Н., Дуванова О.В. Определение синтетических красителей Е102, Е110, Е122 и Е124 в безалкогольных напитках модифицированными пьезосенсорами // Аналитика и контроль. 2017. Т. 21. № 2. С. 85–92. http://dx.doi.org/10.15826/analitika.2017.21.2.006
- Hilal I., Ahmet K. Electrochemical determination of indigo carmine in food and water samples using a novel platform based on chiral amine-bis(phenolate) boron complex. Dyes and Pigments, 2022. Vol. 197. https://doi.org/10.1016/j.dyepig.2021.109921
- Xiaoyu Z., Wenshuai H., Yanfei W. et al. Decoration of graphene with 2-aminoethanethiol functionalized gold nanoparticles for molecular imprinted sensing of erythrosine // Carbon. 2018. V. 127. P. 618–626. https://doi.org/10.1016/j.carbon.2017.11.041
- Бессонов М.И., Котон М.М., Кудрявцев В.В., Лайус Л.А. Полиимиды – класс термостойких полимеров. Ленинград: Наука, 1983.
- Бессонов М.И., Кузнецов Н.П., Котон М.М. О температурах переходов ароматических полиимидов и физических основах их химической классификации // Высокомолекул. соединения. 1978. Т. 20. № 2. С. 347–353.
- Дьяконова О.В., Зяблов А.Н., Котов В.В., Елисеева Т.В., Селеменев В.Ф., Фролова В.В. Исследование состояния поверхности мембран на основе полиамидокислоты // Сорбц. и хроматограф. процессы. 2005. Т. 5. № 6. С. 824–831.
- Scanning Probe Microscopy Image Processing Software “FemtoScan Online”. Moscow: Advanced Technologies Center. spm@nanoscopy.org (accessed on March 11, 2017).
- Кудринская В.А., Дмитриенко С.Г. Влияние растворителя на сорбционные свойства полимеров с молекулярными отпечатками кверцетина // Сорбц. и хроматограф. процессы. 2009. Т. 9. № 6. С. 824–829.
- Яшкин С.Н., Кольцов Л.В., Лосева М.А. Молекулярная адсорбция на границе раздела «жидкий раствор – твердый адсорбент». Самара: Самарский государственный технический университет, 2012.
- Когановский А.М., Левченко Т.М., Кириченко В.А. Адсорбция растворенных веществ. Киев: Наукова думка, 1977.
- Липатов Ю.З., Сергеева Л.С. Адсорбция полимеров. Киев: Наукова думка, 1972.
- Тарасевич Б.Н. ИК спектры основных классов органических веществ: справочные материалы. Москва: МГУ, 2012.
- Silverstein R.M., Webster F.X. Spectrometric Identification of Organic Compounds. New York: John Wiley & Sons, Inc. 1997.
- Sing K.S.W., Everett D.H., Haul R.A.W., Moscou L., Pierotti R.A., Rouquerol J., Siemieniewska T. Reporting physisorption data for gas/solid systems with special reference to the determination of surface area and porosity [IUPAC Recommendations 1984] // Pure Appl. Chem. 1985. V. 57. № 4. pp. 603–619.
Supplementary files











