Процессы самоорганизации и гелеобразования в цистеин-серебряном растворе с участием хитозана и электролита
- Autores: Зеников Г.Р.1, Хижняк С.Д.1, Иванова А.И.1, Пахомов П.М.1
-
Afiliações:
- ФГБОУ ВО “Тверской Государственный Университет”
- Edição: Volume 86, Nº 3 (2024)
- Páginas: 317-328
- Seção: Articles
- ##submission.dateSubmitted##: 01.09.2024
- ##submission.dateAccepted##: 01.09.2024
- ##submission.datePublished##: 15.05.2024
- URL: https://journal-vniispk.ru/0023-2912/article/view/262847
- DOI: https://doi.org/10.31857/S0023291224030021
- EDN: https://elibrary.ru/BMNLHW
- ID: 262847
Citar
Texto integral
Resumo
В работе с помощью методов УФ-спектроскопии, динамического светорассеяния, рН-метрии, вискозиметрических испытаний, сканирующей электронной микроскопии изучены процессы самосборки и гелеобразования в низкоконцентрированных водных растворах на основе аминокислоты L-цистеин и нитрата серебра, так называемого цистеин-серебряного раствора, низкомолекулярного водорастворимого хитозана (ХЗ) и инициатора гелеобразования CuSO4. Установлено, что процесс гелеобразования в цистеин-серебряном растворе – гель-прекурсоре – под влиянием ХЗ и сульфата меди протекает в узком концентрационном диапазоне: Схз = 0.0100–0.0150 мг/мл, CCuSO4 = 0.4–0.6 мМ, при этом CL-Cys – 3.00 мМ, CAgNO3 – 3.75 мМ, молярное соотношение Ag+/Cys равняется 1.27. Гидрогели различного композиционного состава: ЦСР-ХЗ, ЦСР-ХЗ-CuSO4, ЦСР-CuSO4 – не обладают высокой механической прочностью, однако устойчивы во времени. Структурные элементы ЦСР – кластерные цепочки цвиттер-ионов меркаптида серебра – имеют положительный заряд, поэтому образование полиэлектролитных комплексов в ЦСР-ХЗ и ЦСР-ХЗ-CuSO4 гидрогелях не происходит, так как рН цистеин-серебряного раствора – 2.6. Введение в ЦСР-ХЗ образцы сульфата меди способствует формированию более прочного гидрогеля за счет ассоциации кластеров меркаптида серебра и молекул ХЗ с сульфат-анионом и координации ионов Cu(II) с депротонированными карбоксильными группами различных кластеров.
Texto integral
ВВЕДЕНИЕ
Супрамолекулярная химия является быстро развивающимся направлением в науке. При этом особый интерес ученых привлекают супрамолекулярные гидрогели, структурными единицами которых являются низкомолекулярные вещества (аминокислоты, пептиды и др. – супрамономеры), поскольку гелеобразование в таких системах является результатом молекулярной самосборки, регулируемой слабыми нековалентными взаимодействиями, такими как водородные связи, металл-лиганд координация, гидрофобные, металлофильные, электростатические взаимодействия, взаимодействия Ван-дер-Ваальса и др. [1–4]. Супрамономеры в результате самосборки выстраиваются в волокна, которые из-за взаимного зацепления при определенной концентрации способны образовывать пространственную 3D-сетку, иммобилизующую молекулы растворителя. Такие материалы интересны не только процессами самосборки, ведущими к формированию гель-сетки, но и с точки зрения практического применения. Например, возможно конструировать стимул-чувствительные супрамолекулярные гели, проявляющие свойства биосовместимости и биодеградации [5–7]. Использование супрамолекулярных структур открывает новые возможности в получении наноматериалов в комбинации с хитозаном [8, 9].
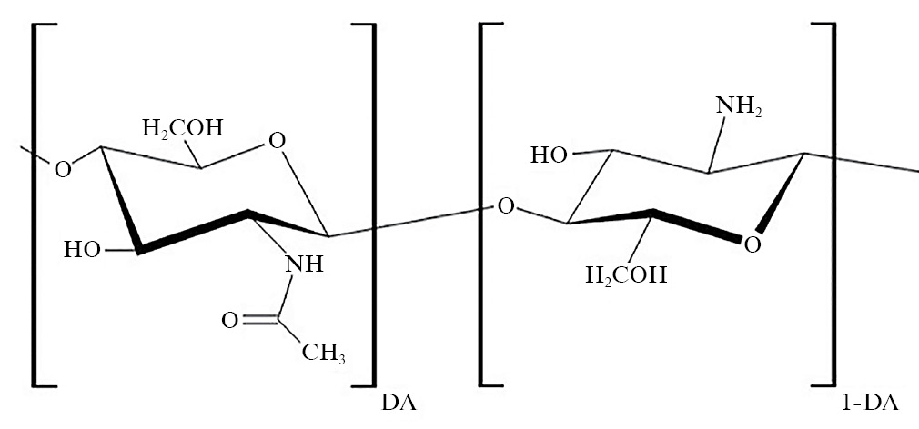
Хитозан является линейным полисахаридом, имеющим в своем строении два структурных звена: D-глюкозамин и N-ацетил-D-глюкозамин, которые соединены β (1→4) гликозидной связью. Получение хитозана основано на деацетилировании хитина (химический аналог хитозана) в щелочной или кислой среде. Молекула ХЗ содержит одну –NH2 группу и две –OH группы на каждый гликозидный остаток (рис. 1).
Рис. 1. Структурная формула хитозана.
Хитозан относится к перспективным природным полимерам, который проявляет антимикробную и антиоксидантную активность, свойства биодеградации, биосовместимости и мукоадгезивности [10]. Положительный заряд молекул данного биополимера способствует тому, что он может взаимодействовать с отрицательно заряженными функциональными группами белков, анионными полисахаридами и нуклеиновыми кислотами. При взаимодействии хитозана с ДНК в клетках патогенных микрорганизмов предотвращается синтез их молекул РНК. Кроме этого, хитозан может проявлять и анестезирующие свойства. В области воспаления обычно образуется избыток катионов водорода, обуславливающих боль. Хитозан за счет аминогрупп способен связывать протоны и тем самым оказывать обезболивающее действие [11, 12]. В настоящий момент ХЗ применяется при разработке различных лекарственных форм. Например, композиция на основе хитозана, фосфата кальция β-гидроксиапатита (β-TCP) и гидроксиапатита используется для регенерации клеток тканей человека [13]. Нанесение ХЗ на поверхность титановых костных имплантов придает им большую коррозийную устойчивость и улучшает остеоинтеграцию – процесс вживления титанового импланта в костную ткань [14], а гидрогели на основе модифицированного хитозана, например, N,N,N-триметилхитозана или N-сукцинилхитозана, применяются для заживления ран [15]. Следует отметить, что хитозан является pH-чувствительным полимером, изменяющим свою конформацию в зависимости от pH среды [16], что позволяет использовать его в качестве носителя для точечной адресной доставки лекарственных средств, например, к раковым клеткам, имеющим низкий pH [17]. Получение наночастиц хитозана и его производных с инкапсулированным внутри лекарственным веществом открывает новые возможности применения в медицине благодаря их способности проникать внутрь клетки [18]. Кроме того, хитозан может выступать в качестве стабилизатора наночастиц серебра [19]. Таким образом, добавление ХЗ в различные системы позволяет расширить область применения композиций на его основе в биомедицине.
В данной работе исследуется влияние хитозана на процесс гелеобразования в низкоконцентрированном цистеин-серебряном растворе, имеющим супрамолекулярную природу. ЦСР – гель-прекурсор – получают путем смешения водных растворов аминокислоты L-цистеин и нитрата серебра при условии избытка ионов серебра, молярное соотношение Ag+/Cys равняется 1.27, концентрация исходных компонентов составляет CL-Cys – 3.00 мМ, CAgNO3 – 3.75 мМ [20]. ЦСР относится к анион-чувствительным системам, гелеобразование в которых инициируется введением электролитов с различными анионами: SO42–, SO32–, Cl–, WO42–, MoO42– [21]. Природа аниона (сульфаты, хлориды и др.) влияет на структурно-механические свойства (вязкость, устойчивость во времени) гидрогелей [22].
Экспериментальными и расчетными методами было установлено [21, 23], что ЦСР состоит из положительно заряженных кластеров меркаптида серебра, которые имеют структуру «ядро–оболочка». При этом внутренняя структура кластеров стабилизируется за счет сильно взаимодействующих атомов серы и серебра, а на поверхности сосредоточены функциональные группы NH3+ и COO–, малая часть SAg-групп присутствует на поверхности супрамономеров МС [21, 23]. Межмолекулярные взаимодействия между функциональными группами (NH3+, COO–) цвиттер-ионов меркаптида серебра разных кластеров способствует формированию фрагментов пространственной сетки [21].
Введение в цистеин-серебряный раствор хитозана представляет практический интерес, поскольку расширяется область потенциального применения ЦСР гидрогелей, а с научной точки зрения интересным является изучение процессов самосборки в системе на основе низкомолекулярных соединений под влиянием положительно заряженных макромолекул полисахарида. В работе [24] детально исследованы антибактериальные свойства ЦСР-ХЗ композиций с различным содержанием исходных компонентов и установлена их эффективность в подавлении роста тестовых культур. Синтезировать ЦСР-ХЗ и ЦСР-ХЗ-Na2SO4 гидрогели удалось только при использовании низкомолекулярного водорастворимого полисахарида (М = 30 кДа) и электролита с сульфат-анионом, с хлорид-анионом в ЦСР-ХЗ системах происходила коагуляция [25]. Однако возник новый вопрос: каково влияние катиона электролита на структурно-механические свойства ЦСР-ХЗ-SO42– гидрогелей. В данной работе в качестве инициатора гелеобразования использовали сульфат меди, поскольку ионы Cu(II), обладая комплексообразующими свойствами, способствуют синтезу наиболее прочных гелей на основе ЦСР не только с сульфат- [26], но и хлорид-анионами [27]. Таким образом, целью работы является изучение процессов самосборки и гелеобразования в цистеин-серебряном растворе – гель-прекурсоре – под влиянием поликатиона хитозана и сульфата меди.
ЭКСПЕРИМЕНТАЛЬНАЯ ЧАСТЬ
В работе использованы реактивы: серебро азотнокислое (ч. д. а.); L-цистеин, 99%, (Acros); хитозан низкомолекулярный (М = 30 кДа), водорастворимый (ЗАО «Биопрогресс»), ТУ 9289-067-00472124-03, степень деацетилирования 87%; сульфат меди безводный (х. ч.). Все растворы были приготовлены с использованием бидистиллированной воды.
Для изучения влияния ХЗ на строение и свойства гидрогелей, полученных на основе ЦСР, была синтезирована серия образцов различного композиционного состава: ЦСР-ХЗ, ЦСР-ХЗ-CuSO4, ЦСР-CuSO4. Концентрация раствора хитозана равнялась 0.5 мг/мл, а его pH – 4.34. Цистеин-серебряный раствор, в котором концентрация исходных компонентов составляет CL-Cys – 3.00 мМ, CAgNO3 – 3.75 мМ, синтезировали по методике [21, 22], молярное соотношение Ag+/Cys равнялось 1.27. В предварительных опытах было установлено, что наиболее прочный ЦСР-ХЗ-CuSO4 гель образуется при условии, что ХЗ и электролит добавляют в равных объемах – 1 : 1. Концентрация хитозана в образцах, исследованных в работе, изменялась в пределах от 0.0075 мг/мл до 0.0175 мг/мл, концентрация CuSO4 – 0.3–0.7 мМ. При синтезе ЦСР-ХЗ-CuSO4 гидрогелей в ЦСР сначала добавляли определенный объем раствора ХЗ, а затем раствор электролита, после добавления каждого компонента образец энергично перемешивали встряхиванием. Следует заметить, что последовательность введения хитозана и электролита в ЦСР имеет большое значение, изменение этой последовательности приводит к понижению механической прочности гидрогелей. Образцы хранили в недоступном для света месте.
Динамическую вязкость гидрогелей измеряли с помощью вибрационного вискозиметра SV-10 фирмы “A&D” (Япония), в поликарбонатных кюветах объемом 10 мл. В процессе измерения вязкости две покрытые золотом сенсорные пластины, погруженные в образец, осциллируют с частотой 30 Гц и амплитудой в 1 мм. Длительность каждого эксперимента составляет 30 мин, температура измерения – 25°С. Схема эксперимента по измерению вязкости следующая: сначала измеряли вязкость свежеприготовленных образцов – через 30 мин после синтеза, а затем измерение вязкости тех же образцов проводили через 3, 6 и 10 дней (разное время хранения). Образцы между измерениями хранились в герметично упакованных кюветах без доступа света.
Спектральные измерения гидрогелей в УФ- и видимом диапазонах проведены на спектрометре “Evolution Array” фирмы “Thermo Scientific” (США) в кварцевых кюветах с толщиной поглощающего слоя 1 и 2 мм.
Исследования методом динамического светорассеяния (ДСР) выполнены на анализаторе размера частиц Zetasizer “Nano ZS” фирмы “Malvern” c Не-Ne-лазером (633 нм) мощностью 4 мВт при 25°С в конфигурации обратного рассеяния (173°). Для этого эксперимента были синтезированы модельные образцы, содержание в которых исходных компонентов в 4 раза ниже, чем в гелеобразующих системах.
Размер частиц в образцах рассчитывался по формуле Стокса–Эйнштейна:
где k – константа Больцмана, T – абсолютная температура, η – вязкость среды, R – радиус рассеивающих частиц. Индекс полидисперности (Pi) в измерениях всех образцов находился в диапазоне от 0.399 до 0.601. Измерение электрокинетического потенциала (ζ-потенциала) частиц в различных образцах на основе ЦСР осуществляли методом электрофоретического светорассеяния на этом же приборе.
Величину pH цистеин-серебряного раствора и гидрогелей на его основе измеряли с помощью pH-метра “SevenMult”, “Mettler Toledo”, с использованием универсального электрода InLab415.
Морфологию образцов исследовали на сканирующем электронном микроскопе “JEOL JSM 6610LV” в режиме вторичных электронов с использованием углеродного проводящего скотча; на поверхности исследуемых образцов создавали проводящий слой Pt толщиной 20 нм; ускоряющее напряжение составляло 15 кВ при давлении 10–4 Па. С помощью аналитической приставки “Oxford INCA” Energy 350 проведен рентгеновский энергодисперсионный микроанализ образцов.
РЕЗУЛЬТАТЫ И ИХ ОБСУЖДЕНИЕ
На рис. 2 показаны фотографии ЦСР-ХЗ-CuSO4 гидрогелей с различным содержанием ХЗ и электролита через 5 дней после синтеза, из которых видно, что гель-структуру, не разрушающуюся при переворачивании флакона, в этот момент имеют образцы 2 и 3. В образце 5 наблюдаются признаки коагуляции (мутность). С помощью такой визуальной оценки установлено, что существует определенный, довольно узкий, концентрационный диапазон ХЗ и электролита, в котором происходит образование устойчивых во времени гидрогелей.
Рис. 2. Фото ЦСР-ХЗ-CuSO4 гидрогелей через 5 дней после синтеза. Содержание ХЗ и CuSO4 в образцах (V мл/1 мл ЦСР): 0 – ЦСР (контроль); 1 – Схз = 0.0075 мг/мл, CCuSO4 = 0,3 мМ; 2 – Схз = 0.0100 мг/мл, CCuSO4 = 0,4 мМ; 3 – Схз = 0.0125 мг/мл, CCuSO4 = 0,5 мМ; 4 – Схз = 0.0150 мг/мл, CCuSO4 = 0,6 мМ; 5 – Схз = 0.0175 мг/мл, CCuSO4 = 0,7 мМ. ХЗ и электролит в образцы добавляли в равных объемах – 1:1.
Установлено, что pH гидрогелей с концентрацией Схз = 0.0100–0.0150 мг/мл, CCuSO4 = 0.4–0.6 мМ, изменяется в диапазоне 2.67–2.71 для ЦСР-ХЗ-CuSO4 образцов и 2.62–2.67 для ЦСР-CuSO4 систем, pH ЦСР – 2.60. Как мы видим, при добавлении в ЦСР хитозана и электролита сильного изменения значений кислотности не происходит, и повышение рН в ЦСР-ХЗ-CuSO4 системах по сравнению с ЦСР-CuSO4 образцами связано, скорее всего, с протонированием аминогрупп хитозана. Поскольку структурные элементы ЦСР – кластерные цепочки цвиттер-ионов меркаптида серебра – имеют положительный заряд, образование полиэлектролитных комплексов с молекулами полисахарида в ЦСР-ХЗ-CuSO4 и ЦСР-ХЗ гидрогелях не происходит.
Кроме визуальной оценки прочности гидрогелей путем переворачивания флакона, были проведены вискозиметрические испытания, которые позволили получить количественную оценку механической прочности (структурированности) образцов. Для вискозиметрических исследований были выбраны образцы 2 и 3, как наиболее устойчивые во времени. Динамическая вязкость ЦСР гидрогелей была измерена в разные моменты времени: через 30 мин после синтеза (свежеприготовленные образцы), а затем через 3, 6 и 10 дней, в зависимости от типа образца. На рис. 3а и 3б представлены зависимости динамической вязкости от времени хранения для ЦСР-ХЗ образцов с разной концентрацией ХЗ [25]. Как мы видим из рисунка, значение вязкости гидрогелей с концентрацией ХЗ (Схз = 0.0100 мг/мл) мало зависит от времени хранения с момента синтеза (рис. 3а). Увеличение Cхз до 0.0125 мг/мл приводит к снижению вязкости свежеприготовленного образца (рис. 3б, кривая 1) по сравнению с соответствующим образцом 0.0100 мг/мл на рис. 3а (кривая 1) и возрастанию вязкости через 6 дней, значение которой становится сопоставимо со значением вязкости образца с меньшим содержанием ХЗ. Следует отметить, что величина динамической вязкости ЦСР ~ 3.0 мПа·с.
Рис. 3. Зависимость динамической вязкости от времени хранения для гидрогелей а, б – ЦСР-ХЗ [25]; в, г – ЦСР-ХЗ-CuSO4; д, е – ЦСР-CuSO4. Концентрация ХЗ и CuSO4 в образцах: а, в, д – Схз= 0.0100 мг/мл, CCuSO4=0,4 мМ; б, г, е – Схз=0.0125 мг/мл, CCuSO4=0,5 мМ. 1 – через 30 мин после синтеза, 2 – через 3 дня после синтеза, 3 – через 6 дней после синтеза, 4 – через 10 дней после синтеза.
Теперь рассмотрим, как изменяется вязкость ЦСР-ХЗ-CuSO4 гидрогелей (образцов 2 и 3) в зависимости от времени (рис. 3в, 3г). Следует напомнить, что при синтезе этих образцов растворы ХЗ и CuSO4 добавляли в ЦСР в равных объемах – 1 : 1. Значение динамической вязкости образца 2 в процессе 30-минутного измерения в режиме осцилляций сенсорных пластин вибровискозиметра мало изменяется в свежеприготовленном образце и после хранения в течение 3 дней (рис. 3в, кривые 1 и 2). Незначительный рост η образца 2 в процессе измерения наблюдается через 6 дней (рис. 3в, кривая 3), что свидетельствует о структурировании образца, возрастании числа межмолекулярных контактов между фрагментами гель-сетки в результате изменения расстояний между ними из-за осцилляции сенсорных пластин. Если анализировать значение вязкости в начальный момент измерения (t = 0 мин), то можно отметить лишь незначительное увеличение η ЦСР-ХЗ-CuSO4 гидрогеля в зависимости от времени хранения.
При увеличении концентрации ХЗ и CuSO4 в гидрогеле (образец 3) характер зависимости вязкости от времени изменяется (рис. 3г). Наблюдается заметный рост вязкости ЦСР-ХЗ-CuSO4 гидрогеля в начальный момент измерения (t = 0 мин) через 3 дня после синтеза (рис. 3г, кривая 2), что особенно очевидно при сравнении с η образца 2 (рис. 3в, кривая 2). Кроме того, вязкость образца 3 через 3 и 10 дней хранения в процессе измерения понижается, предположительно в результате частичной деструкции гель-сетки, однако разрушения 3D-сетки до уровня свежеприготовленного образца или ЦСР (η = 3.0 мПа·с) не происходит.
Для выяснения роли ХЗ в структурировании ЦСР-ХЗ-CuSO4 гидрогелей были исследованы образцы, содержащие ЦСР и сульфат меди (рис. 3д и 3е). Обнаружено сходство в характере концентрационной зависимости вязкости от времени для ЦСР-CuSO4 и ЦСР-ХЗ-CuSO4 гидрогелей, следовательно, именно присутствие в образце сульфата меди (инициатора гелеобразования) определяет характер структурированности гидрогелей. Таким образом, роль катиона электролита в процессе гелеобразования в ЦСР-системах становится очевидной благодаря вискозиметрическим испытаниям. Установлено, что вязкость ЦСР-ХЗ-CuSO4 гидрогелей выше вязкости ЦСР-ХЗ-Na2SO4 образцов в одном и том же концентрационном диапазоне [25], вероятнее всего, благодаря комплексообразующей способности ионов Cu(II) [26, 27]. Ионы меди, координируясь с депротонированными карбоксильными группами цвиттер-ионов различных кластеров, создают дополнительные точки зацепления между супрамолекулярными цепочками, что приводит к формированию более развитой гель-сетки, кроме того, не исключается возможность комплексообразования ионов Cu(II) с молекулами ХЗ [28, 29].
Следует отметить, что концентрационная зависимость вязкости от времени хранения имеет куполообразный характер как для ЦСР-ХЗ-CuSO4, ЦСР-CuSO4, так и ЦСР-ХЗ-Na2SO4 гидрогелей [25]. Можно предположить, что промежуточные значения концентраций ХЗ и электролита в ЦСР-ХЗ-SO42– гидрогелях позволят реализовать оптимальный баланс межмолекулярных взаимодействий электростатической природы, что приведет к формированию наиболее устойчивой гель-структуры, что требует дополнительных исследований.
Влияние ХЗ на процессы самосборки в цистеин-серебряном растворе анализировали с помощью метода УФ-спектроскопии, исследуя образцы различного композиционного состава (рис. 4).
Рис. 4. Электронные спектры образцов в зависимости: от состава (а) – ЦСР (1), ЦСР-ХЗ (2), ЦСР-ХЗ-CuSO4 (3), ЦСР-CuSO4 (4) Схз=0.0100 мг/мл, CCuSO4=0,4 мМ, толщина кюветы – 1 мм, через 2 дня после синтеза; от концентрации ХЗ (б) – (0 (1), 0.0100 (2), 0.0150 (3) мг/мл) (3), толщина кюветы – 2 мм, через 7 дней после синтеза; от состава (в) – ЦСР (1), ЦСР-ХЗ-CuSO4 (2), ЦСР-CuSO4 (4), Схз = 0.0150 мг/мл, CCuSO4 = 0,6 мМ; толщина кюветы – 2 мм, через 7 дней после синтеза.
В электронных спектрах ЦСР, ЦСР-ХЗ, ЦСР-ХЗ-CuSO4 и ЦСР-CuSO4 образцов (рис. 4а) наблюдаются две полосы поглощения с максимумами ~316 и ~390 нм, в области которых обнаружены различия. Согласно нашим исследованиям [21, 23, 30], природа полос поглощения связана с формированием кластерных цепочек, состоящих из молекул меркаптида серебра. Полосы поглощения с максимумами ~316 и 390 нм можно отнести к полосам переноса заряда с лиганда (L-цистеин) на серебро в нанокластерах меркаптида серебра (ligand-to-metal charge transfer) и возникновением аргентофильного взаимодействия Ag(I)---Ag(I) в [---Ag-S(R)---]n в кластерных цепочках (R – остаток аминокислоты) [31, 32]. Как было указано выше, кластеры в ЦСР имеют структуру “ядро–оболочка”, при этом внутренняя структура кластеров стабилизируется за счет взаимодействующих атомов серы и серебра, а на поверхности кластеров сосредоточены функциональные группы NH3+ и COO–.
Влияние ХЗ на структуру ЦСР проявляется в зависимости электронных спектров ЦСР-ХЗ образцов от концентрации полисахарида (рис. 4б). Как мы видим, увеличение концентрации ХЗ приводит к уменьшению поглощения полосы ~390 нм. Кроме того, в результате добавления ХЗ в ЦСР поглощение падает и в области полосы ~316 нм (рис. 4а, спектр 2). Можно предположить, что молекулы ХЗ, заряженные положительно, будут распределяться в растворе так, чтобы избегать контактов с положительно заряженными цепочечными фрагментами ЦСР. И тогда основной эффект ХЗ на ЦСР будет состоять в перераспределении противоионов (нитрат-анионов) для компенсации заряда молекул ХЗ. В ЦСР-ХЗ образцах формируются две подсистемы – ЦСР и ХЗ, и при повышении концентрации ХЗ под влиянием молекул ХЗ изменяется геометрия цепочек, нарушается баланс электростатических взаимодействий, в результате чего происходит изменение электронной конфигурации кластерных цепочек.
Электронные спектры гель-образцов, содержащих электролит, ЦСР-ХЗ-CuSO4 и ЦСР-CuSO4, были зарегистрированы на толщине поглощающего слоя, равной 2 мм (рис. 4в). Из рисунка видно, что добавление сульфата меди в ЦСР вызывает рост поглощения в спектре в исследуемом диапазоне, при этом наблюдается и изменение формы полосы в области 390 нм. Поглощение в спектре трехкомпонентной ЦСР-ХЗ-CuSO4 системы меньше, чем в спектре ЦСР-CuSO4 образца, вследствие влияния хитозана как поликатиона на структуру положительно заряженных фрагментов гель-сетки.
Результаты, полученные с помощью метода динамического рассеяния света (рис. 5), помогут разобраться в этих эффектах.
Рис. 5. Распределение рассеивающих частиц по размерам: а) ЦСР (1) после добавления сульфат-аниона в зависимости от времени: 2 – 5, 3 – 30, 4 – 120 мин; CL-Cys – 0,750 мМ, CAgNO3 – 0,953 мМ, CCuSO4 – 0,025 мМ. б) в ЦСР (1), 2 – ХЗ (2), 3 – ЦСР-ХЗ (3), CL-Cys – 0.750 мМ, CAgNO3 – 0.938 мМ, Схз=0.0019 мг/мл [25].
Установлено, что через 5 мин после добавления в ЦСР раствора CuSO4 фиксируется уменьшение размеров кластеров с 44 до 8 нм (рис. 5а, распределения 1 и 2). Однако с течением времени наблюдается рост размеров частиц – до 18 нм через 30 мин и до 1473 нм через 2 ч, что свидетельствует о формировании фрагментов пространственной сетки. Сульфат-анион, как противоион, сначала уменьшает заряд нанокластеров, что вызывает их агрегацию вследствие уменьшения кулоновских сил отталкивания, и одновременно с этим двухзарядный анион выполняет роль линкера между кластерами различных цепочек. Таким образом, анион электролита инициирует процессы формирования пространственной гель-сетки.
Влияние ХЗ на ЦСР демонстрирует рис. 5б [25], на котором показано распределение рассеивающих частиц по размерам в образцах ЦСР, ХЗ, ЦСР-ХЗ. В растворе ЦСР достаточно широкое распределение нанокластеров по размерам с максимумом ~180 нм (рис. 5б, распределение 1). Раствор ХЗ характеризуется бимодальным распределением частиц с размерами ~90 и ~400 нм (рис. 5б, распределение 2). В ЦСР-ХЗ образце, как и в хитозане, наблюдается два типа частиц, однако их размеры увеличились до 100 и 650 нм (рис. 5б, распределение 3). В ЦСР-ХЗ образце существуют две подсистемы – кластерные цепочки МС и молекулы хитозана. Предположительно, вокруг макромолекул хитозана образуется анионное облако противоионов (нитрат ионов), которое позволяет цепочкам МС и молекулам хитозана, как двум положительно заряженным объектам, находиться в растворе в равновесии.
Значения ζ-потенциала различных образцов (табл. 1) подтверждают электростатическую природу взаимодействий, инициирующих процесс гелеобразования в цистеин-серебряном растворе.
Таблица 1. ζ-потенциал частиц в анализируемых системах*
Образец | ζ, мВ | Стандартное отклонение, мВ |
ЦСР | +56,2 | ±4,01 |
ЦСР-CuSO4 | +43,6 | ±4,07 |
ЦСР-ХЗ-CuSO4 | +44,7 | ±3,33 |
ХЗ | +11,5 | ±6,30 |
*Разбавление образцов 1:4. CL-Cys – 0,750 мM, CAgNO3 – 0,953 мM, CCuSO4 – 0,025 мM, Схз = 0.0019 мг/мл.
Как мы видим, ζ-потенциал кластеров ЦСР понижается после добавления CuSO4 с +56.2 до +43.6 мВ, что согласуется с результатами, полученными с помощью ДСР (рис. 5а), согласно которым, сульфат-анион как противоион уменьшает заряд кластеров и выступает в роли линкера, образуя связи между кластерами различных цепочек. ζ-потенциал ЦСР-ХЗ-CuSO4 системы (+44.7 мВ) соизмерим с величиной заряда ЦСР-CuSO4 образца (+43.6 мВ). Хотя макромолекулы хитозана в водном растворе имеют положительный заряд, равный +11.5 мВ, их влияние на заряд агрегатов в ЦСР-ХЗ-CuSO4 образце оказывается незначительным. Вероятнее всего, часть сульфат-анионов аккумулируется вблизи макромолекул ХЗ и частично нейтрализует заряд его групп.
Результаты, полученные с помощью метода СЭМ, позволяют визуализировать изменения морфологии ЦСР (рис. 6а) под влиянием хитозана и электролита. В ЦСР-CuSO4 гидрогеле мы наблюдаем формирование высокопористой сетчатой структуры, характерной для пространственной гель-сетки (рис. 6б). Морфология ЦСР-ХЗ-CuSO4 гидрогеля отличается от структуры ЦСР-CuSO4 образца уменьшением пористости и образованием под влиянием хитозана сферических агрегатов. Такие изменения в структуре ЦСР-ХЗ-CuSO4 гидрогеля могут быть связаны с перераспределением сульфат-анионов между кластерами ЦСР и молекулами ХЗ, вследствие чего в образце формируются более короткие цепочки и более фрагментированная гель-сетка, что подтверждается ПЭМ-изображением ЦСР-ХЗ-Na2SO4 образца [25]. ПЭМ-изображению ЦСР-Na2SO4 гидрогеля, в котором формируется волокнообразная пространственная сетка [25], соответствует пористая структура ЦСР-CuSO4 образца (рис. 6б). Таким образом, существенные различия в морфологии ЦСР-ХЗ-CuSO4 и ЦСР-CuSO4 гидрогелей, вызванные влиянием поликатиона ХЗ, сводятся к перераспределению сульфат-аниона между двумя подсистемами: ЦСР и ХЗ.
Рис. 6. СЭМ-микрофотографии образцов: а – ЦСР; б, г – ЦСР-CuSO4; в – ЦСР-ХЗ-CuSO4; г – ЦСР-ХЗ.
Данные энергодисперсионного анализа ЦСР-ХЗ образца (рис. 6г, табл. 2) подтверждают наши предположения о существовании двух подсистем – кластерных цепочек МС и молекул хитозана. На рисунке мы видим два типа структур: сферические агрегаты с повышенным содержанием серы/серебра (спектры 1–3), предположительно цепочечные кластеры меркаптида серебра в ЦСР, и волокнообразные структуры на основе хитозана (спектры 4–6), характеризующиеся пониженным содержанием серы/серебра.
Таблица 2. Энергодисперсионный анализ ЦСР-ХЗ образца, атомные проценты (к рис. 6г)
Спектр | C | N | O | S | Ag |
Спектр 1 | 40.43 | 23.94 | 18.81 | 7.48 | 9.34 |
Спектр 2 | 38.67 | 26.34 | 16.34 | 9.02 | 9.63 |
Спектр 3 | 42.34 | 27.74 | 17.73 | 5.60 | 6.58 |
Спектр 4 | 48.04 | 23.02 | 24.21 | 2.43 | 2.30 |
Спектр 5 | 44.38 | 19.31 | 27.59 | 3.88 | 4.85 |
Спектр 6 | 65.09 | 11.35 | 20.79 | 1.56 | 1.20 |
Таким образом, в работе удалось синтезировать и исследовать гидрогели супрамолекулярной природы различного композиционного состава: ЦСР-ХЗ, ЦСР-ХЗ-CuSO4, ЦСР-CuSO4. Установлено, что гелеобразование в ЦСР системах, содержащих ХЗ и CuSO4, происходит в узком концентрационном диапазоне (Cхз = 0.0100–0.0150 мг/мл), CCuSO4 = 0.4–0.6 мМ). Результаты энергодисперсионного анализа ЦСР-ХЗ образца (рис. 6г, табл. 2) подтверждают существование в гидрогеле двух подсистем – кластерных цепочек МС, формирующих пространственную гель-сетку, и молекул хитозана. В ЦСР-ХЗ-CuSO4 гидрогелях предположительно происходит перераспределение сульфат-анионов между кластерами ЦСР и ХЗ, вследствие чего формируется более фрагментированная пространственная гель-сетка. Введение в ЦСР-ХЗ образцов сульфата меди способствует формированию более прочного гидрогеля за счет ассоциации с сульфат-анионом кластеров меркаптида серебра и молекул ХЗ, а также координации ионов Cu(II) с депротонированными карбоксильными группами различных кластеров МС [27], при этом не исключается возможность комплексообразования ионов Cu(II) с молекулами ХЗ [28, 29]. Роль катиона электролита в процессе гелеобразования в ЦСР системах установлена благодаря вискозиметрическим испытаниям: вязкость ЦСР-ХЗ-CuSO4 гидрогелей выше ЦСР-ХЗ-Na2SO4 образцов в одном и том же концентрационном диапазоне [25], как следствие комплексообразующей способности ионов Cu(II). Подобные системы можно рассматривать не только как перспективную матрицу для разработки материалов биомедицинского назначения, но и как объект для изучения процессов самосборки и гелеобразования в ЦСР системе под влиянием полимерных молекул.
Данная работа выполнена на оборудовании лабораторий спектроскопии и электронной микроскопии ЦКП ТвГУ.
ФИНАНСИРОВАНИЕ РАБОТЫ
Данная работа финансировалась за счет средств бюджета университета. Никаких дополнительных грантов на проведение или руководство данным конкретным исследованием получено не было.
СОБЛЮДЕНИЕ ЭТИЧЕСКИХ СТАНДАРТОВ
В данной работе отсутствуют исследования человека или животных.
КОНФЛИКТ ИНТЕРЕСОВ
Авторы заявляют, что у них нет конфликта интересов.
Sobre autores
Г. Зеников
ФГБОУ ВО “Тверской Государственный Университет”
Autor responsável pela correspondência
Email: zenikov.german@mail.ru
Rússia, 170100, Тверь, ул. Желябова, 33
С. Хижняк
ФГБОУ ВО “Тверской Государственный Университет”
Email: zenikov.german@mail.ru
Rússia, 170100, Тверь, ул. Желябова, 33
А. Иванова
ФГБОУ ВО “Тверской Государственный Университет”
Email: zenikov.german@mail.ru
Rússia, 170100, Тверь, ул. Желябова, 33
П. Пахомов
ФГБОУ ВО “Тверской Государственный Университет”
Email: zenikov.german@mail.ru
Rússia, 170100, Тверь, ул. Желябова, 33
Bibliografia
- Jagrosse M.L., Agredo P., Abraham B.L., Toriki E.S., Nilsson B.L. Supramolecular phenylalanine-derived hydrogels for the sustained release of functional proteins // ACS Biomater. Sci. Eng. 2023. V. 9. № 2. P. 784–796. https://doi.org/10.1021/acsbiomaterials.2c01299
- Alam N., Sarma D. Thixotropic supramolecular metallogel with 2D sheet morphology: Iodine sequestration and column based dye // Soft Matter. 2020. V. 16. № 47. P. 10620–10627. https://doi.org/10.1039/D0SM00959H
- Du X., Zhou J., Shi J., Bing Xu B. Supramolecular hydrogelators and hydrogels: From soft matter to molecular biomaterials // Chem. Rev. 2015. V. 115. № 24. P. 13165–13307. https://doi.org/10.1021/acs.chemrev.5b00299
- Pramanik B. Short peptide‐based smart thixotropic hydrogels // Gels. 2022. V. 8. № 9. P. 569. https://doi.org/10.3390/gels8090569
- Liangchun L., Rongqin S., Renlin Z., Yi H. Anions-responsive supramolecular gels: A review // Materials & Design. 2021. № 205. P. 109759. http://dx.doi.org/10.1016/j.matdes.2021.109759
- Qin L., Wang P., Guo Y., Chen C., Liu M. Self-assembled soft nanomaterials via silver(I)-coordination: Nanotube, nanofiber, and remarkably enhanced antibacterial effect // Advanced Science. 2015. V. 2. № 11. P. 1500134. https://doi.org/10.1002/advs.201500134
- Ma Y., Shi L., Liu F., Zhang Y., Pang Y., Shena X. Self-assembled thixotropic silver cluster hydrogel for anticancer drug release // Chemical Engineering J. 2019. V. 362. P. 650–657. https://doi.org/10.1016/j.cej.2019.01.096
- Vandera K-K.A, Pague C., Omar J., González-Gaitano G., Twana M.W, Khutoryanskiy V.V., Dreiss C.A. Formation of supramolecular gels from host-guest interactions between PEGylated chitosan and -cyclodextrin // Macromol. Mater. Eng. 2023. V. 308. № 6. P. 2200646. http://dx.doi.org/10.1002/mame.202200646
- Furlani F., Marfoglia A., Marsich E., Donati I., Sacco P. Strain hardening in highly acetylated chitosan gels // Biomacromolecules. 2021. V. 22. № 7. P. 2902–2909. https://doi.org/10.1021/acs.biomac.1c00293
- Azam A., Ziafat S., Anjum F., Faseeh H., Ban, R., ur Rehman A., Bashir A. Application of chitosan-based polysaccharide biomaterials in tissue engineering: Chitosan-based polysaccharide biomaterials // Pakistan Journal of Health Sciences. 2023. V. 4. № 9. P. 10–16. https://doi.org/10.54393/pjhs.v4i09.1038
- Liu H., Wang C., Li C., et al. A functional chitosan-based hydrogel as a wound dressing and drug delivery system in the treatment of wound healing // RSC Advances. 2018. V. 8 № 14. P. 7533–7549. https://doi.org/10.1039/C7RA13510F
- Kaur M., Sharma A., Puri V., et al. Chitosan-based polymer blends for drug delivery systems // Polymers. 2023. V. 15. № 9. P. 2028. https://doi.org/10.3390/polym15092028
- Paradowska-Stolarz A., Milkulewicz M., Laskowska J, Karolewicz B., Owczarek A. The importance of chitosan coatings in dentistry // Mar. Drugs. 2023. V. 21. № 12. P. 613. https://doi.org/10.3390/md21120613
- García-Cabezón C., Godinho V., Salvo-Comino C., Torres Y., Martín-Pedrosa F. Improved corrosion behavior and biocompatibility of porous titanium samples coated with bioactive chitosan-based nanocomposites // Materials. 2021. V. 14. № 21. P. 6322. https:// doi.org/10.3390/ma14216322
- Bashir S., Teo Y.Y., Ramesh S., Ramesh K., Khan A.A. N-succinyl chitosan preparation, characterization, properties and biomedical applications: A state of the art review // Reviews in Chemical Engineering. 2015. V. 31. № 6. P. 563–597. http://dx.doi.org/10.1515/revce-2015-0016
- He R., Sun S., Wang Z., Hu S. Synthesis and performance study of pH/magnetic dual response chitosan based emulsifiers // 2023 9th International Conference on Applied Materials and Manufacturing Technology (ICAMMT-2023) 24/04/2023-26/04/2023 Qingyuan, China. 2023. V. 2587. P. 012019. https://doi.org/10.1088/1742–6596/2587/1/012019
- Lee S., Shanti A. Effect of exogenous pH on cell growth of breast cancer cells // Int. J. Mol. Sci. 2021. V. 22. № 18. P. 9910. https://doi.org/10.3390/ijms22189910
- Tenorio-Barajas A.Y., Olvera M.L., Romero-Paredes G., Altuzar V., Garrido-Guerrero E., Mendoza-Barrera C. Chitosan, chitosan/IgG-loaded, and N-trimethyl chitosan chloride nanoparticles as potential adjuvant and carrier-delivery systems // Molecules. 2023. V. 28. № 10. P. 4107. https://doi.org/10.3390/molecules28104107
- Begum R., Shenbagarathai R., Lavanya U., Bhavan K. Synthesis, characterization, and antimicrobial activity of extracted chitosan-based silver nanoparticles // Journal of Microbiology, Biotechnology and Food Sciences. 2023. V. 12. № 5. P. e4215. https://doi.org/10.55251/jmbfs.4215
- Pakhomov P.M., Ovchinnikov M.М., Khizhnyak S.D., Roshchina O.A., Komarov P.V. A supramolecular medical hydrogel based on L-cysteine and silver ions // Polym. Sci. Ser. A. 2011. V. 53. № 9. P. 820–826. http://dx.doi.org/10.1134/S0965545X11090094
- Khizhnyak S., Komarov P., Ovchinnikov M., Zherenkova L., Pakhomov P. Mechanism of gelation in low-concentration aqueous solutions of silver nitrate with L-cysteine and its derivatives // Soft Matter. 2017. V. 30. № 13. P. 5168–5184. https://doi.org/10.1039/C7SM00772H
- Komarov P., Ovchinnikov M., Khizhnyak S., Alekseev V., Mikhailov I., Pakhomov P. On molecular gelation mechanism of L-cysteine based hydrogel // Nanoscience and Nanoengineering. 2013. V. 1. № 1. P. 23–35. http://dx.doi.org/10.13189/nn.2013.010104
- Бабуркин П.О., Комаров П.В., Малышев М.Д., Хижняк С.Д., Пахомов П.М. Компьютерное моделирование структурообразования в водных растворах L-цистеина и нитрата серебра под влиянием соли-инициатора // Коллоидн. журн. 2017. Т. 79. № 5. С. 534–543. https://doi.org/10.7868/S0023291217050020
- Овчинников М.М., Червинец В.М., Червинец Ю.В., Михайлова Е.С., Хижняк С.Д., Пахомов П.М. Новые катионные антисептики на основе композиций L-цистеин-серебряного раствора и хитозана // Вестник Тверского государственного университета. Серия: Химия. 2016. № 1. С. 140–151.
- Зеников Г.Р., Хижняк С.Д., Пахомов П.М. Супрамолекулярные гидрогели на основе аминокислоты L-цистеин, нитрата серебра и хитозана // Вестник Тверского государственного университета. Cерия: Химия. 2021. Т. 4. № 46. С. 131–141.
- Андрианова Я.В., Вишневецкий Д.В., Хижняк С.Д., Пахомов П.М. Исследование процессов гелеобразования в цистеин-серебряном растворе при добавлении сульфатов металлов // Вестник Тверского государственного университета. Серия: Химия. 2023. Т. 3. № 53. С. 21–29.
- Андрианова Я.В., Вишневецкий Д.В., Иванова А.И., Хижняк С.Д., Пахомов П.М. Процессы гелеобразования в водном растворе L-цистеин/AgNO3 под влиянием солей металлов различной валентности // Известия Академии Наук. Серия Химическая. 2023. Т. 72. № 9. С. 2171–2179.
- Brunel F., El Gueddari N.E., Moerschbacher B.M. Complexation of copper(II) with chitosan nanogels: Toward control of microbial growth // Carbohydrate Polymers. 2013. V. 92. № 2. P. 1348–1356. https://doi.org/10.1016/j.carbpol.2012.10.025
- Mekahlia S., Bouzid B. Chitosan-Copper (II) complex as antibacterial agent: Synthesis, characterization and coordinating bond- activity correlation study // Physics Procedia. 2009. V. 2. № 3. P. 1045–1053. https://doi.org/10.1016/j.phpro.2009.11.061
- Malyshev M.D, Khizhnyak S.D., Zherenkova L.V., Pakhomov P.M., Komarov P.V. Self-assembly in systems based on L-cysteine–silver-nitrate aqueous solution: Multiscale computer simulation // Soft Matter. 2022. V. 18. № 39. P. 7524–7536. https://doi.org/10.1039/D2SM00846G
- Shen J.-S., Li D.-H., Zhang M.-B., Zhou J., Zhang H., Jiang Y.-B. Metal-metal-interaction-facilitated coordination polymer as a sensing ensemble: A case study for cysteine sensing // Langmuir. 2011. V. 27. № 1. P. 481–486. https://doi.org/10.1021/la103153e
- Odriozola I., Casuso P., Loinaz I., Cabanero G., Grande H.J. Designing neutral metallophilic hydrogels from di- and tripeptides // Org. Biomol. Chem. 2011. V. 9. № 14. P. 5059–5061. http://dx.doi.org/10.1039/c1ob05520h
Arquivos suplementares








