Связывание флуоресцеина хитозаном и полиэлектролитным комплексом на его основе в водных растворах
- Authors: Миргалеев Г.М.1, Шилова С.В.1
-
Affiliations:
- Казанский национальный исследовательский технологический университет
- Issue: Vol 86, No 3 (2024)
- Pages: 379-389
- Section: Articles
- Submitted: 01.09.2024
- Accepted: 01.09.2024
- Published: 15.05.2024
- URL: https://journal-vniispk.ru/0023-2912/article/view/262852
- DOI: https://doi.org/10.31857/S0023291224030074
- EDN: https://elibrary.ru/BMEZGL
- ID: 262852
Cite item
Full Text
Abstract
Получены и охарактеризованы полиэлектролитные комплексы хитозана с k-каррагинаном как потенциальные адсорбенты наномаркера флуоресцеина в водных средах при различных значениях pH. Спектроскопическими методами изучено связывание флуоресцеина с хитозаном и комплексом ê-каррагинан–хитозан. С помощью анализа равновесных изотерм исследованы эффективность и механизм адсорбции флуоронового красителя на синтезированных комплексах. Изотерма адсорбции флуоресцеина на частицах полиэлектролитного комплекса адекватно описана в рамках модели Фрейндлиха. На основе данных тушения флуоресценции определены эффективные константы Штерна–Фольмера флуоресцеина с хитозаном и комплексом ê-каррагинан–хитозан и показано, что связывание наномаркера с биополимерами осуществляется за счет разных механизмов взаимодействия.
Full Text
ВВЕДЕНИЕ
В настоящее время в биомедицинскую практику все активнее внедряется тераностика – подход, объединяющий лечение и диагностику различных заболеваний для терапии под визуальным контролем и раннего прогнозирования курса лечения. Системы доставки лекарственных средств для целей тераностики призваны решать двойную задачу: обеспечивать как визуализацию больных тканей, так и лечение контролируемым высвобождением активных лекарственных компонентов. Особенно такой подход перспективен для разработки и применения систем доставки токсичных препаратов для химиотерапии, а также антибиотиков и других сильнодействующих лекарственных средств [1–3].
В современной научной литературе увеличивается количество публикаций по использованию различных наномаркеров или меток для биодиагностики и биовизуализации (органических люминофоров, полупроводниковых квантовых точек, наноразмерных углеродных точек), что является отражением растущего интереса к этому типу соединений [4–6]. Ксантеновый краситель флуоресцеин (ФЛЦ) является примером pH-индикатора, дианион-анионное равновесие которого приходится на физиологический диапазон pH, что обуславливает его привлекательность для использования в качестве внутриклеточного pH-зонда [5]. Флуороновые красители широко применяются в медицине в качестве флуоресцентных маркеров для исследования биологических объектов, контрастных агентов, в фотодинамической терапии, для диагностики и лечения раковых опухолей на поверхности кожи [7–9].
Особая роль в разработке систем доставки лекарственных средств отводится нано- и микроконтейнерам на основе биополимеров различной химической природы (полипептидов, полисахаридов). Аминополисахарид хитозан (ХТЗ), получаемый из панцирьсодержащего сырья гидробионтов хитина, отличается биосовместимостью, бактериостатичностью, способностью к биодеградации и усилению регенеративных процессов при заживлении ран [10–12]. Наличие в структуре макромолекул ХТЗ гидроксильных, амино- и ацетамидных групп определяет его полиэлектролитные свойства. Способность ХТЗ к комплексообразованию с различными органическими и неорганическими соединениями обеспечивает возможность его взаимодействия с анионными полиэлектролитами в водных растворах с образованием полиэлектролитных комплексов (ПЭК) [13–15]. Среди полисахаридов анионной природы важное место занимают каррагинаны (КРГ) – высокомолекулярные линейные сульфатированные гидрофильные полисахариды красных водорослей [16, 17].
Комплексы КРГ с ХТЗ вызывают повышенный интерес, поскольку данные полисахариды содержат в своем составе функциональные группы разной полярности, и, следовательно, появляется возможность управления распределением центров связывания на биополимерах с органическими красителями. Интерес к исследованиям совместных систем на основе красителей и водорастворимых биополимеров обусловлен и другими причинами: флуороновые красители можно использовать в качестве флуоресцентных наномаркеров для биовизуализации, а также данные красители могут выступать в качестве модельных объектов отрицательно заряженных лекарственных веществ. Сочетание фотофлуоресцентных свойств флуоресцеина и биоактивных свойств ПЭК на основе природных полисахаридов делает такие системы перспективными материалами для создания мультифункциональных диагностических и терапевтических носителей.
Ранее нами были получены сферогели на основе ПЭК альгината кальция и хитозана для иммобилизации антибиотика цефотаксима, для которого в настоящее время еще не разработана непарентеральная лекарственная форма. Было показано, что определяющее влияние на эффективность инкапсулирования антибиотика и фармакокинетические профили его высвобождения в различных средах оказывает взаимодействие цефотаксима с полимерной матрицей [18, 19]. Поэтому неотъемлемой частью разработки новых систем доставки лекарственных средств для целей тераностики является изучение механизма межмолекулярного взаимодействия между всеми компонентами системы.
Цель работы заключалась в изучении связывания флуоронового красителя флуоресцеина с полиэлектролитным комплексом на основе хитозана и каррагинана в водных средах и выявлении характера влияния добавок биополимеров на спектрально-флуоресцентные характеристики красителя.
ЭКСПЕРИМЕНТАЛЬНАЯ ЧАСТЬ
В качестве полимерных объектов исследования использовали полисахариды, проявляющие в водных растворах полиэлектролитные свойства – гидрохлорид хитозана (MМ 38700, степень деацетилирования 80% (ЗАО “Биопрогресс”)) и к-каррагинан (“Molecularmeal”). Краситель ксантенового ряда ФЛЦ применяли в виде динатриевой соли (торговое название “Уранин А”, “Русхим”). При приготовлении растворов в качестве растворителей использовали бидистиллированную воду (pH 7.0), водные растворы 6.0 мМ уксусной кислоты (pH 5.6) и 10–2 М HCl (pH 2.0). Бидистиллированную воду получали на установке “Бидистиллятор стеклянный БС” (ПАО “Химлаборприбор”), которая работает по принципу двойной перегонки воды. Чистоту воды контролировали по величине удельной электропроводности, которая составляла 1.0–3.0 мкСм/см.
Синтез полиэлектролитных комплексов КРГ–ХТЗ проводили путем смешивания водного раствора КРГ с концентрацией 10–2 М с раствором ХТЗ концентрацией 10–2 М в 6.0 мМ растворе уксусной кислоты. Подбор исходных концентраций противоположно заряженных полиэлектролитов осуществлен на основании результатов ранее проведенных исследований по формированию ПЭК на основе хитозана [18]. pH полученного раствора ХТЗ составлял 5.6. Состав смесей полиэлектролитов выражали в виде отношения мольных концентраций k-каррагинана и хитозана [КРГ] : [ХТЗ] (моль : моль) и изменяли его от 1:9 до 9:1. Полученные смеси интенсивно перемешивали на магнитной мешалке 1 ч и выдерживали в течение суток при комнатной температуре. Образовавшиеся частицы ПЭК отделяли от непрореагировавших исходных полимеров центрифугированием в течение 5 мин при 3000 об/мин.
Средний размер частиц в исследуемых системах и ζ-потенциал поверхности частиц определяли методом динамического рассеяния света на анализаторе размера частиц серии Zetasizer Nano-ZS (“Malvern Instruments Ltd.”), оснащенном гелий-неоновым лазером (633 нм, 4 мВт). Угол светорассеяния составлял 173°. Графическую интерпретацию результатов измерения получали с помощью программного обеспечения “DTS Application Software” компании Malvern Instruments для работы под управлением операционной системы Windows®. При анализе автокорреляционной функции использовали приближение твердых сферических частиц. Определение ζ-потенциала в водных системах проводили методом электрофоретического рассеяния света с применением технологии M3-PALS (использование быстро и медленно переменного электрического поля наряду с фазовым и частотным анализом рассеянного света). Перед выполнением измерений образцы фильтровали через фильтры Millipore с мембраной Durapore PVDF и диаметром пор 0.45 мкм. Для каждого образца проводили 3 серии измерений по 10 измерений в каждой. Ошибки измерений размера и ζ-потенциала частиц составили ±2% и ±0.12 мВ соответственно. Для оценки размера и морфологии частиц комплекса ФЛЦ с ХТЗ использовали люминесцентный микроскоп BX-43 “Olympus”.
Удельную электропроводность и величину pH смешанных водных растворов полиэлектролитов определяли с помощью кондуктометра–pH-метра SevenMulti dual meter pH / conductivity (“Mettler Toledo”).
ИК-спектры исходных образцов полиэлектролитов, флуоресцеина и продуктов их взаимодействия получали на Фурье-спектрометре ALPHA-Т S/N102706 (“Bruker”) в спектральном диапазоне 4000–375 см–1 с разрешением 4 см–1. Комплексы выделяли из растворов, высушивали и измельчали до тонких порошков массой 0.5–1 г. Порошки перемешивали с бромидом калия массой 100 мг и спрессовывали в тонкую пластину. Отнесение характеристических полос проводили по справочным материалам 1.
Межмолекулярные взаимодействия между красителем, ХТЗ и ПЭК на его основе в процессе их связывания (адсорбции) изучали спектральными методами.
Спектры поглощения растворов красителя с добавлением ХТЗ и ПЭК получали на сканирующем двухлучевом спектрофотометре “Lambda 35” (“Perkin Elmer Instrumental”). При измерениях использовали кварцевые кюветы объемом 3 см3.Кювету сравнения заполняли дистиллированной водой. Регистрацию электронных спектров растворов производили в интервале длин волн 400–600 нм. Обработку спектров проводили при помощи программного обеспечения UV WinLab. В исходный раствор красителя с варьируемой в интервале 20–100 мкг/мл концентрацией объемом 5 мл добавляли раствор ХТЗ (25 мМ) объемом 5 мл, тщательно перемешивали на магнитной мешалке и выдерживали в течение 10 мин перед измерениями.
Для проведения спектральных измерений растворов ФЛЦ в присутствии частиц ПЭК образцы готовили следующим образом. К растворам красителя с концентрациями от 20 до 100 мкг/мл объемом 5 мл добавляли 5 мл коллоидного раствора ПЭК с определенным соотношением концентраций [КРГ] : [ХТЗ]. Перемешивали с помощью магнитной мешалки в течение 1 часа для достижения равновесия сорбции – десорбции. Осаждение частиц ПЭК с адсорбированным красителем проводили центрифугированием в течение 10 мин при 3000 об/мин.
Для нахождения удельной концентрации адсорбированного красителя (qe) и равновесной концентрации неадсорбированного ФЛЦ (Се) использовали следующее уравнение:
(1)
где С0 – начальная концентрация красителя; V – объем раствора; m – масса адсорбента.
Равновесную концентрацию ФЛЦ в растворе Се определяли по величине оптической плотности при длине волны 490 нм с использованием калибровочной зависимости. В предварительных исследованиях было установлено, что зависимость оптической плотности от концентрации ФЛЦ подчиняется закону Бугера–Ламберта–Бера при длине волны 490 нм в диапазоне концентраций 10–50 мкг/мл. Удельный коэффициент экстинкции для ФЛЦ в воде составил 228.7 л/г∙см.
Анализ изотерм адсорбции ФЛЦ на частицах ПЭК проводили в рамках моделей Ленгмюра [20] и Фрейдлиха [21]. Модель однослойной адсорбции Ленгмюра описывается уравнением:
(2)
где qm – адсорбционная емкость монослоя; KL – константа связывания.
С использованием изотермы Ленгмюра находили безразмерный параметр адсорбционного равновесия RL:
(3)
где Сmax – наибольшая начальная концентрация адсорбата.
Параметр RL указывает на тип адсорбции, который в зависимости от выбранного диапазона концентраций адсорбата может быть необратимый (RL = 0), благоприятный (0 < RL < 1), неблагоприятный (RL > 1) [22].
Адсорбцию красителя на гетерогенной поверхности адсорбента ПЭК описывали также моделью Фрейндлиха:
(4)
где K – константа адсорбции Фрейндлиха; n – параметр, указывающий на степень неоднородности поверхности адсорбента.
Спектры флуоресценции ФЛЦ в присутствии ХТЗ и ПЭК получали на сканирующем спектрофлуориметре “CaryEclipse” фирмы “Varian”. В растворы красителя с концентрацией 3 мкМ объемом 5 мл добавляли от 0.1 до 0.5 мл раствора ХТЗ (концентрация 50 мМ) или ПЭК с такой же концентрацией ХТЗ. Длина волны возбуждения составляла 440 нм. Регистрацию спектров возбуждения производили в интервале длин волн от 450 до 650 нм. Константы связывания красителя с ХТЗ и ПЭК определяли на основе данных тушения флуоресценции. Динамическое тушение флуоресценции описывали уравнением Штерна – Фольмера [23]:
(5)
где F0 и F – интенсивности флуоресценции в отсутствие и присутствии тушителя; [Q] – концентрация тушителя; К – эффективная константа связывания красителя с полимером.
Устойчивость комплексов ФЛЦ–ХТЗ в водных растворах изучали методом мольных отношений [24]. Готовили исходные растворы ХТЗ и ФЛЦ с концентрацией 10–4 М. В 10 мерных колб наливали по 2 мл раствора ХТЗ и от 0.5 до 8 мл ФЛЦ, затем доводили объем смеси водой до 10 мл. В соответствии с методом мольных отношений при постоянной концентрации ХТЗ и переменной концентрации ФЛЦ спектральные изменения для раствора красителя описывали уравнением:
(6)
где А и А0 – оптические плотности растворов в присутствии и отсутствии ХТЗ; [ХТЗ] – концентрация раствора хитозана, М; [ФЛЦ] – концентрация раствора флуоресцеина, М; ε и ε0 – молярные коэффициенты экстинкции комплекса и ФЛЦ; βк – константа устойчивости комплекса, М–1.
Константу устойчивости комплекса βк рассчитывали способом Клотца [24] из графика зависимости [ХТЗ]/(А–А0) от 1/[ФЛЦ].
Количество ФЛЦ, высвободившегося из полимерных носителей, рассчитывали по величине оптической плотности при длине волны 490 нм. Высвобождение ФЛЦ проводили в условиях in vitro при температуре 37° в модельных средах желудочно-кишечного тракта (кислая среда желудка, pH 2.0; нейтральная среда тонкого кишечника, pH 7.0) и характеризовали величиной Q, которую определяли как отношение количества вещества mt, высвободившегося из носителя к моменту времени t, к равновесному количеству вещества m∞:
(7)
РЕЗУЛЬТАТЫ И ОБСУЖДЕНИЕ
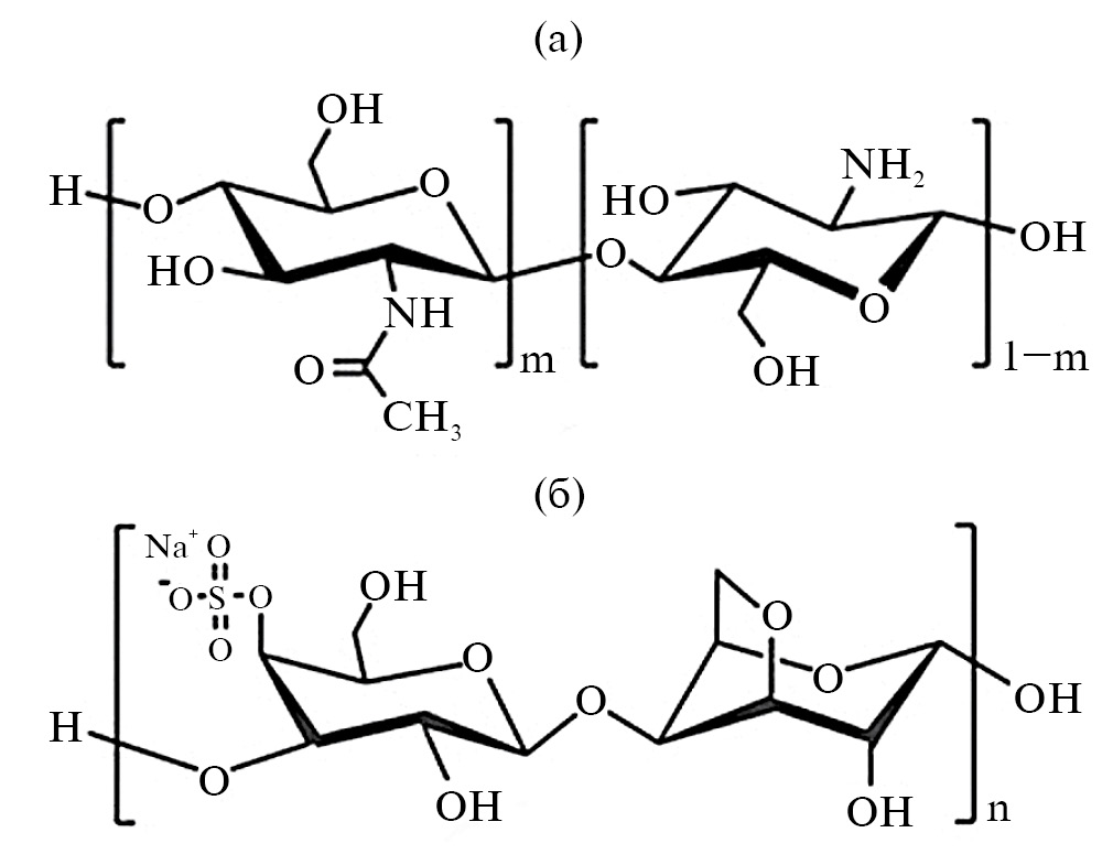
ХТЗ состоит преимущественно из остатков 2-амино-2-дезокси-β-D-глюкопиранозы, связанных (1 → 4) связями (рис. 1а), к-КРГ – из остатков дисахарида β-D-галактопиранозы и α-D-галакто-пиранозы, связанных соответственно (1 → 3) и (1 → 4) связями (рис. 1б). В соответствии с природой функциональных групп ХТЗ относится к слабым катионным полиэлектролитам, заряд которых зависит от рН раствора. к-КРГ является сильным анионным сульфатированным полисахаридом, его заряд сохраняется постоянным во всем диапазоне рН [25]. В кислых растворах ХТЗ в присутствии отрицательно заряженных макромолекул КРГ происходит формирование ПЭК, высокая стабильность которого достигается за счет кооперативного характера межмолекулярных связей, возникающих между комплементарными макромолекулами (электростатические, ван-дер-ваальсовые и гидрофобные взаимодействия). Механизм образования придает полученным полимерным системам восприимчивость к незначительным изменениям внешних факторов [26]. Для эффективного электростатического взаимодействия макромолекулы полимеров должны находиться в растворе в ионизированном виде. В качестве значения pH, при котором аминогруппы ХТЗ протонированы и сульфатные группы КРГ заряжены отрицательно, было выбрано pH 5.6.
Рис. 1. Структурные формулы повторяющихся звеньев ХТЗ (а) и к-КРГ (б).
По изменению электропроводности смешанных растворов КРГ и ХТЗ судили о характере межмолекулярного взаимодействия полиэлектролитов (рис. 2). При смешении КРГ и ХТЗ наблюдается резкое уменьшение электропроводности растворов, что свидетельствует об электростатическом взаимодействии протонированных свободных аминогрупп ХТЗ и сульфатных групп КРГ. На изотерме электропроводности смесей полиионов имеется выраженный перегиб, указывающий на образование стехиометрического ПЭК с максимальным количеством ионных связей. В условияx проведения нашего эксперимента комплекс был обогащен звеньями каррагинана ([КРГ] : [ХТЗ] = 1.5).
Рис. 2. Зависимость удельной электропроводимости смесей КРГ и ХТЗ от их состава [КРГ] : [ХТЗ].
Методом динамического светорассеяния устанавливали характер изменения размера и ζ-потенциала частиц ПЭК в зависимости от состава смесей полиэлектролитов (табл. 1). ζ-потенциал макромолекул ХТЗ в отсутствии полианиона имеет положительное значение. Введение КРГ в раствор ХТЗ приводит к закономерному снижению ζ-потенциала поверхности частиц. В интервале составов смеси полиэлектролитов [КРГ] : [ХТЗ] = 1÷1.5 отмечается полная нейтрализация противоположно заряженных групп хитозана и каррагинана в комплексе, что согласуется с кондуктометрическими данными. Дальнейший рост концентрации КРГ в смеси с ХТЗ приводит к перезарядке частиц ПЭК. В избытке либо одного, либо второго полиэлектролита значения ζ-потенциала частиц находятся в диапазоне, необходимом для сохранения коллоидной стабильности суспензии ПЭК.
Таблица 1. Размер и ζ-потенциал частиц ПЭК КРГ–ХТЗ
Отношение концентраций [КРГ]: [ХТЗ], моль : моль | Размер d, нм | ζ-потенциал, мВ |
0 | 141.7 ± 2.8 | +29.5 |
0.25 | 122.5 ± 2.5 | +17.4 |
0.43 | 105.7 ± 2.1 | +11.5 |
1.0 | 91.3 ± 1.8 | +8.2 |
1.5 | 50.2 ± 1.0 | –8.0 |
2.33 | 43.5 ± 0.1 | –19.7 |
4.0 | 34.8 ± 0.1 | –29.7 |
В области средних составов комплекса электростатическое связывание приводит к гидрофобизации частиц ПЭК и изменению их размера. Диаметр частиц ХТЗ составляет 142 нм. Учитывая, что теоретически рассчитанный радиус идеальной полимерной цепи данного полисахарида лежит в пределах 5–15 нм [27], следует сделать вывод о том, что частицы такого размера представляют собой ассоциаты макроцепей. С добавлением КРГ размер частиц значительно уменьшается, что особенно ярко проявляется после перезарядки ПЭК. Компактизация частиц комплекса, по-видимому, обусловлена конформационными изменениями макромолекул и распадом их ассоциатов. При четырехкратном избытке КРГ можно предположить, что в состав ПЭК входят отдельные макромолекулы полиэлектролитов.
Ионное состояние флуоресцеина в водных растворах зависит от рН. При значениях pH < 5.5 ФЛЦ заряжен слабо положительно, в области pH 5.5–6.8 краситель находится в нейтральной форме. При значениях pH 6.8–8.0 ФЛЦ заряжен слабо отрицательно и является моноанионом, а при более высоких pH находится в виде дианиона с высоким отрицательным зарядом [28]. Основную роль во взаимодействии ФЛЦ с ХТЗ играет электростатический механизм связывания карбоксильных групп красителя (ФЛЦ диссоциирует преимущественно по карбоксильной группе) и протонированных аминогрупп ХТЗ. Дополнительный вклад могут вносить диполь-дипольные взаимодействия полярных амино- и гидроксильных групп ХТЗ с ксантоновым трициклом красителя, а также гидрофобные взаимодействия глюкозаминовых звеньев полисахарида с неполярными фрагментами молекул красителя.
По данным метода динамического светорассеяния (табл. 2), в смешанных растворах ФЛЦ и ХТЗ формируются высоко ассоциированные частицы, размеры которых превышают размер частиц исходного полисахарида примерно на 300–550 нм. Образовавшиеся частицы были визуализированы с помощью люминесцентной микроскопии.
Таблица 2. Размер и ζ-потенциал частиц ФЛЦ–ХТЗ*
Образец | Размер d, нм | ζ-потенциал, мВ |
ХТЗ | 140.2 ± 2.8 | +30.1 |
ФЛЦ–ХТЗ (pH 2.0) | 430.4 ± 8.6 | +17.0 |
ФЛЦ–ХТЗ (pH 5.6) | 598.6 ± 12.0 | +15.2 |
ФЛЦ–ХТЗ (pH 7.0) | 708.3 ± 14.2 | +7.4 |
* Концентрации компонентов в смеси: сФЛЦ = 20 мкг/мл, сХТЗ = 12.5 мМ
На рис. 3 в качестве примера приведено изображение частиц ФЛЦ–ХТЗ при pH 5.6. Как видно, результаты по определению размеров частиц согласуются с данными, полученными методом динамического светорассеяния. С изменением рН среды размер частиц увеличивается, что указывает на различия адсорбционной емкости полимера по отношению к ФЛЦ в зависимости от значений рН. ζ-потенциал частиц ФЛЦ–ХТЗ составляет менее 30 мВ, что свидетельствует о недостаточной электростатической стабилизации водной суспензии. Наиболее эффективное связывание ФЛЦ хитозаном за счет электростатического взаимодействия отмечается при pH 7.0, т. е. в той области, где функциональные группы красителя и полиэлектролита имеют слабые противоположные заряды.
Рис. 3. Изображения частиц ФЛЦ–ХТЗ при pH 5.6, полученные на люминесцентном микроскопе (сФЛЦ = 20 мкг/мл, сХТЗ = 12.5 мМ).
Константа устойчивости комплекса ФЛЦ–ХТЗ βк, найденная методом мольных отношений, в растворе с pH 2.0 составила 6.5∙106 л∙моль–1, с pH 5.6–4.0∙105 л∙моль–1, с pH 7.0–2.1∙105 л∙моль–1. Константа устойчивости комплексов в слабокислой и нейтральной средах βк<106, что характеризует их как комплексы низкой устойчивости. Следует отметить, что наименьшей устойчивостью обладает комплекс при pH 7.0.
Для подтверждения комплексообразования ФЛЦ с ХТЗ проведено исследование структуры образцов исходных компонентов и комплекса методом ИК-спектроскопии (рис. 4).
Рис. 4. ИК-спектры ФЛЦ (1), ХТЗ (2) и комплекса ФЛЦ–ХТЗ (3), выделенного из водного раствора при pH 5.6.
В спектре ФЛЦ имеется полоса поглощения 3700–3000 см–1 с максимумом при 3378 см–1, характерная для валентных колебаний гидроксильных групп. ИК-спектр образца не содержит признаков лактонной структуры, так как отсутствуют полосы поглощения в области 1800–1600 см–1, относящиеся к валентным колебаниям карбонильной группы лактона. Полосы карбоксилат-аниона COO– (1582, 1463, 1397 см–1), по-видимому, перекрываются поглощением ароматических колец. Присутствует полоса 1250 см–1, соответствующая валентным колебаниям связи С–О в фенольной группе. В спектре ХТЗ наблюдаются характерные для полисахаридов полосы поглощения: νO–H, ν N–H (полоса поглощения с максимумом при 3418 см–1), νC–H (полоса поглощения 3000–2800 см–1 с максимумом при 2891 см–1), νC–С, νC–О пиранозных колец (полоса поглощения 1200–1000 см–1). В спектре имеются полосы в интервале, характерном для амидных групп δNH2 (1650–1300 см–1). Наличие полос поглощения 1318 см–1 и 1518 см–1 подтверждает высокую степень деацетилирования образца ХТЗ и его катионную форму, обусловленную NH3+-группами. Положение полос поглощения индивидуальных образцов красителя и ХТЗ согласуется с опубликованными данными [28, 29].
В ИК-спектре продукта взаимодействия ФЛЦ с ХТЗ появляются полосы при 1631 см–1 (деформационные колебания NH2-группы) и 1517 см–1 (NH3+-группы). Отмечаются полосы 1463 и 1254 см–1, свидетельствующие о присутствии в структуре карбоксилат-анионов и фенольных гидроксилов красителя. Можно предположить, что отмеченные изменения в спектре вызваны ионным взаимодействием функциональных групп ФЛЦ и ХТЗ. Наблюдается также сдвиг полос поглощения в области валентных колебаний O–H- и N–H-связей (максимум при 3406 см–1) и увеличение их интенсивности, что указывает на образование водородных связей между функциональными группами компонентов.
Далее связывание флуоресцеина с ХТЗ и комплексом КРГ–ХТЗ изучали на основе анализа изменений спектров поглощения и флуоресценции красителя при добавлении биополимеров. В электронном спектре водного раствора ФЛЦ (рис. 5, кривая 1) при pH 7.0 присутствует интенсивная полоса поглощения 490 нм и перегиб в районе 470 нм, что отвечает существованию красителя в растворе в форме дианиона R2– и согласуется с литературными данными [28]. Спектр поглощения ФЛЦ, связанного с ХТЗ (кривая 2), существенно отличается от спектра раствора красителя – с добавлением ХТЗ (сам полиэлектролит в данной области не поглощает), появляется широкая полоса с двойным максимумом в области 455–475 нм и плечом при 425 нм, что характерно для анионной формы HR– ФЛЦ в воде. Причиной такого изменения в спектре ФЛЦ, по-видимому, является присутствие в растворе различных ионных свободных и связанных форм красителя. Похожие по характеру спектральные изменения красителя наблюдаются и в результате его адсорбции на частицах ПЭК.
Рис. 5. Спектры поглощения растворов ФЛЦ (1) в присутствии ХТЗ (2) и ПЭК (3) (сФЛЦ = 20 мкг/мл, сХТЗ = 12.5 мМ, отношение концентраций в ПЭК [КРГ] : [ХТЗ] = 1.5, pH 7.0).
С целью изучения равновесного процесса адсорбции красителя на частицах комплекса КРГ–ХТЗ были получены изотермы сорбции. Удельную концентрацию адсорбированного ФЛЦ qe находили по уравнению (1) с учетом характеристик приготовленных растворов. Равновесную концентрацию ФЛЦ Се определяли спектрофотометрически после удаления из раствора частиц ПЭК с адсорбированным красителем центрифугированием. В таблице 3 представлены результаты математической обработки экспериментальной изотермы адсорбции ФЛЦ из водного раствора на частицах ПЭК с помощью уравнений Ленгмюра (2) и Фрейдлиха (4).
Таблица 3. Константы изотерм адсорбции Ленгмюра и Фрейндлиха флуоресцеина на частицах ПЭК КРГ–ХТЗ*
Константы изотермы адсорбции Ленгмюра | |||
qm, мг/г | КL, л/мг | RL | R2 |
1.64 | 0.51 | 0.99 | 0.891 |
Константы изотермы адсорбции Фрейндлиха | |||
К, л/мг | 1/n | n | R2 |
0.0113 | 0.87 | 1.15 | 0.997 |
* Отношение концентраций полиэлектролитов в ПЭК [КРГ]:[ХТЗ] = 1.5
Константа сорбционного равновесия KL в уравнении Ленгмюра характеризует химическое сродство сорбата к сорбенту – чем сильнее это взаимодействие, тем больше константа сорбционного равновесия. Сродство между ФЛЦ и частицами ПЭК оценивали по величине безразмерного параметра адсорбционного равновесия RL, рассчитанного с использованием константы связывания уравнения Ленгмюра КL (3). По значению параметра RL можно сделать вывод, что условия для сорбционного процесса ФЛЦ на частицах комплекса КРГ–ХТЗ благоприятны.
Модель изотермы Фрейндлиха широко используется для описания адсорбции растворенного вещества из раствора на гетерогенной поверхности и предполагает, что, в первую очередь, заполняются сорбционные центры с более сильной связывающей способностью и прочность связывания уменьшается с увеличением степени заполнения поверхности сорбента. Параметр n в уравнении Фрейндлиха характеризует интенсивность сорбционного процесса и распределение активных центров. Если n < 1, энергия связей возрастает, при n > 1 энергия связи сорбент–сорбат уменьшается по мере заполнения поверхности, в случае n = 1 все сорбционные центры эквивалентны [21]. В нашем случае n > 1, следовательно, заполнение поверхности ПЭК приводит к уменьшению энергии связи между ФЛЦ и комплексом.
Как видно из табл. 3, модель адсорбции Фрейндлиха дает лучшую сходимость с экспериментальными результатами сорбции ФЛЦ на частицах ПЭК, о чем говорят более высокие коэффициенты корреляции, полученные при линеаризации экспериментальной изотермы по модели Фрейндлиха по сравнению с моделью Ленгмюра. Следует отметить, что адсорбция ФЛЦ на частицах ПЭК на основе ХТЗ и КРГ в целом невелика.
В работе [4] при изучении адсорбции ФЛЦ и его галогенпроизводных (эозина и эритрозина) на комплексах ХТЗ–хондроитинсульфат и ХТЗ–гиалуронат не удалось спектральными методами выявить связывание ФЛЦ с ПЭК в изученном диапазоне концентраций в отличие от сорбции эозина и эритрозина, что авторами объяснено различиями в эффективности диполь-дипольных и гидрофобных взаимодействий ФЛЦ с ПЭК по сравнению с его галогензамещенными производными.
На следующей стадии работы изучалось тушение флуоресценции ФЛЦ в присутствии ХТЗ и ПЭК для нахождения констант связывания по уравнению Штерна – Фольмера (5). На рис. 6а представлены спектры флуоресценции раствора ФЛЦ (кривая 1) и растворов красителя постоянной концентрации с различными добавками ХТЗ (кривые 2–4) при рН 7.0. Раствор ФЛЦ обладает желто-зеленой люминесценцией, имеет эмиссию при 510 нм, что делает его хорошим наномаркером для визуализации процессов в организме человека. Форма спектров флуоресценции красителя и положение максимума не изменяются при введении ХТЗ. Однако отмечается снижение интенсивности флуоресценции ФЛЦ, что объясняется межмолекулярными взаимодействиями молекул красителя с макромолекулами ХТЗ. На рис. 6б в качестве примера приведено сравнение тушения флуоресценции ФЛЦ добавлением ХТЗ определенной концентрации и ПЭК КРГ–ХТЗ с такой же концентрацией ХТЗ. Как видно из рисунка, в присутствии комплекса наблюдается еще более интенсивное тушение флуоресценции красителя по сравнению с добавками ХТЗ.
Рис. 6. Спектры флуоресценции ФЛЦ (3 мкМ) (1) в растворах с различными концентрациями ХТЗ: 1 (2), 3 (3), 5 (4) мМ. Справа – тушение флуоресценции ФЛЦ добавлением ХТЗ, [Q] – концентрация ХТЗ (а); спектры флуоресценции растворов ФЛЦ (3 мкМ) (1) в присутствии ХТЗ (2) и ПЭК (3) (сХТЗ = 1 мМ, отношение концентраций полиэлектролитов в ПЭК [КРГ] : [ХТЗ] = 1.5). Справа – тушение флуоресценции ФЛЦ добавлением ПЭК, [Q] – концентрация ПЭК (б). (λвозб = 440 нм, pH 7.0).
По полученным спектрам флуоресценции ФЛЦ в растворах с различными концентрациями ХТЗ и ПЭК построены зависимости в координатах уравнения Штерна – Фольмера F0/F – 1 от [Q] (вставки на рис. 6а и 6б). График зависимости F0/F – 1 от [Q] представляет собой прямую линию с наклоном K в случае одного механизма взаимодействия красителя с биополимером, а при наличии нескольких механизмов связывания наномаркера наблюдаются отклонения от линейности [9]. Видно, что зависимости F0/F – 1 от [Q] при тушении флуоресценции ФЛЦ как хитозаном, так и ПЭК имеют отклонения от линейности, что указывает на различные механизмы связывания ФЛЦ с ХТЗ и ПЭК при pH 7.0. Эффективные константы связывания красителя с ХТЗ и ПЭК (усредненно учитывающие все механизмы связывания) равны 186 М–1 и 340 М–1 соответственно. На основании полученных данных можно сделать вывод о возможном более сильном взаимодействии красителя с комплексом КРГ–ХТЗ по сравнению с хитозаном. Вероятными причинами этого является усиление вторичных типов взаимодействия (гидрофобных, диполь-дипольных) молекул красителя с более гидрофобной поверхностью частиц комплекса. Адсорбционная емкость зависит также от формы адсорбента – оптимальным соотношением между площадью поверхности и объемом частицы характеризуются частицы сферической формы. В работе [4] было показано, что адсорбционная емкость флуороновых красителей на сферических частицах ПЭК хитозана имеет большее значение по сравнению с молекулярным хитозаном, что достигается, по мнению авторов, за счет оптимальной площади и качества поверхности частиц ПЭК.
На заключительной стадии работы для моделирования высвобождения ФЛЦ (как модельного лекарственного вещества анионной природы) из полученных полимерных носителей в организме человека была проведена оценка количества выделившегося красителя при нахождении ПЭК КРГ–ХТЗ с иммобилизованным ФЛЦ в растворе 0.01 М HCl (кислая среда желудка) с последующим его перемещением в воду (нейтральная среда тонкого кишечника), что соответствует пути, который лекарственная форма проходит в желудочно-кишечном тракте. Обнаружено, что на динамику высвобождения ФЛЦ из комплекса pH среды оказывает значительное влияние. Кинетическая кривая высвобождения ФЛЦ в кислой среде выходит на плато за 1 ч, в течение которого лекарственная форма, вводимая перорально, обычно остается в желудке человека, и при этом выделяется 16% красителя. Далее на протяжении 6 ч количество выделившегося ФЛЦ практически не изменялось. В модельной среде с pH 7.0 высвобождается основное содержание ФЛЦ (до 74%) в течение 4 ч. Различия в профилях высвобождения ФЛЦ в условиях физиологических сред организма человека обусловлены, по-видимому, изменением закономерностей межмолекулярных взаимодействий компонентов системы. В кислых средах низкая скорость высвобождения ФЛЦ может быть объяснена сильными электростатическими взаимодействиями противоположно заряженных полиэлектролитов и более высокой устойчивостью комплекса красителя с ХТЗ. При pH 7.0 происходит депротонирование аминогрупп ХТЗ, что ослабляет его взаимодействие как с КРГ, так и с ФЛЦ. Отмечается также уменьшение устойчивости комплекса ФЛЦ–ХТЗ. В целом можно сделать вывод о том, что в нейтральной среде наблюдается общее ослабление межмолекулярных взаимодействий в системе “КРГ–ХТЗ–ФЛЦ”, что и приводит к увеличению скорости высвобождения красителя из полимерных частиц.
ЗАКЛЮЧЕНИЕ
На основе природных полисахаридов хитозана и к-каррагинана получены стабильные полиэлектролитные комплексы с размером от 35 до 142 нм, характеристики которых зависят от соотношения зарядов полиэлектролитов в комплексе. Сделано предположение, что механизм адсорбции флуоресцеина в процессе связывания с хитозаном и комплексом к-каррагинан–хитозан может включать несколько типов взаимодействий: определяющее электростатическое взаимодействие, диполь-дипольные и гидрофобные взаимодействия. Показано, что эффективная константа связывания флуоресцеина с комплексом к-каррагинан–хитозан выше по сравнению с константой связывания для индивидуального хитозана. Установлено, что высвобождение флуоресцеина из полимерных носителей в условиях in vitro в среды, имитирующие биологические жидкости в организме человека при перроральной доставке, является pH-зависимым процессом. Таким образом, полиэлектролитные комплексы хитозана и к-каррагинана рассматриваются в качестве перспективных биосовместимых наноносителей для лекарственных средств анионной природы, детектирование которых можно осуществлять с помощью спектральных методов.
ФИНАНСИРОВАНИЕ РАБОТЫ
Данная работа финансировалась за счет средств бюджета организации. Никаких дополнительных грантов на проведение или руководство данным конкретным исследованием получено не было.
СОБЛЮДЕНИЕ ЭТИЧЕСКИХ СТАНДАРТОВ
В данной работе отсутствуют исследования человека или животных.
КОНФЛИКТ ИНТЕРЕСОВ
Авторы данной работы заявляют, что у них нет конфликта интересов.
1 Тарасевич Б. Н. ИК-спектры основных классов органических соединений. Справочные материалы. М.: МГУ, 2012. С. 14–27.
About the authors
Г. М. Миргалеев
Казанский национальный исследовательский технологический университет
Email: s_shilova74@mail.ru
Russian Federation, 420015, Казань, ул. Карла Маркса, 68
С. В. Шилова
Казанский национальный исследовательский технологический университет
Author for correspondence.
Email: s_shilova74@mail.ru
Russian Federation, 420015, Казань, ул. Карла Маркса, 68
References
- Jain T., Kumar S., Dutta P.K. Teranostics: A way of modern diagnostics and the role of chitosan // J. Mol. Genet. Med. 2015. V. 9. № 1. P. e1000159. https://doi.org/10.4172/1747-0862.1000159
- Wu X., Yang H., Yang W., Chen X., Gao J., Gong X., Wang H., Duan Y., Wei D., Chang J. Nanoparticle-based diagnostic and therapeutic systems for brain tumors // J. Mater. Chem. B. 2019. V. 31. № 7. P. 4734–4750. https://doi.org/10.1039/C9TB00860H
- Wu Y., Zhang R., Tran H.D., Kurniawan N.D., Moonshi S.S., Whittaker A.K., Ta H.T. Chitosan nanococktails containing both ceria and superparamagnetic iron oxide nanoparticles for reactive oxygen species-related theranostics // ACS Applied Nano Materials. 2021. V. 4. № 4. P. 3604–3618. https://doi.org/10.1021/acsanm.1c00141
- Slyusareva E., Gerasimova M., Plotnikov А., Sizykh A. Spectral study of fluorone dyes adsorption on chitosan-based polyelectrolyte complexes // J. Colloid Interface Sci. 2014. V. 417. № 1. P. 80–87. https://doi.org/10.1016/j.jcis.2013.11.016
- Aladesuyi O.A., Lebepe T.C., Maluleke R., Oluwafemi O.S. Biological applications of ternary quantum dots: A review // Nanotechnology Reviews. 2022. V. 11. № 1. P. 2304–2319. https://doi.org/10.1515/ntrev-2022-0136
- Yuan D., Wang P., Yang L., Quimby J.L., Sun Y.P. Carbon “quantum” dots for bioapplication // Exp. Biol. Med. 2022. V. 247. № 4. P. 300–309. https://doi.org/10.1177/15353702211057513
- Buck S.T.G., Bettanin F., Orestes E., Homem-de-Mello P., Imasato H., Viana R.B., Perussi J.R., da Silva A.B.F. Photodynamic efficiency of xanthene dyes and their phototoxicity against a carcinoma cell line: A computational and experimental study // J. Chem. 2017. V. 2017. ID: 7365263. https://doi.org/10.1155/2017/7365263
- Bongard R.D., Lepley M., Gastonguay A., Syrlybaeva R.R., Talipov M.R., Lipinski R.A.J., Leigh N.R., Brahmbhatt J., Kutty R., Rathore R., Ramchandran R., Sem D.S. Discovery and characterization of halogenated xanthene inhibitors of DUSP5 as potential photodynamic therapeutics // J. Photochem. Photobiol. A: Chem. 2019. V. 375. P. 114–131. https://doi.org/10.1016/j.jphotochem.2019.01.005
- Власова И.М., Власов А.А., Кулешова А.А., Гордеева Ю.А., Салецкий А.М. Константы комплексообразования наномаркеров семейства флуоресцеина с бычьим сывороточным альбумином в водных растворах // Журнал физ. химии. 2020. Т. 94. № 1. С. 114–120. https://doi.org/10.31857/S0044453720010343
- Zhao D., Yu S., Sun B., Gao S., Guo S., Zhao K. Biomedical applications of chitosan and its derivative nanoparticles // Polymers. 2018. V. 10. № 4. P. 462–479. https://doi.org/10.3390/polym10040462
- de Sousa Victor R., Marcelo da Cunha Santos A., Viana de Sousa B., de Araújo Neves G., Navarro de Lima Santana L., Rodrigues Menezes R. A review on сhitosan’s uses as biomaterial: Tissue engineering, drug delivery systems and cancer treatment // Materials. 2020. V. 13. № 21. P. 4995. https://doi.org/10.3390/ma13214995
- Kou S.G., Peters L., Mucalo M. Chitosan: A review of molecular structure, bioactivities and interactions with the human body and micro-organisms // Carbohydr. Polym. 2022. V. 282. P. 119132. https://doi.org/10.1016/j.carbpol.2022.119132
- Краюхина М.А., Самойлова Н.А., Ямсков И.А. Полиэлектролитные комплексы хитозана: формирование, свойства и применение // Успехи химии. 2008. Т. 77. № 9. С. 854–869
- Zhang W., Jin X., Li H., Zhang R., Wu C. Injectable and body temperature sensitive hydrogels based on chitosan and hyaluronic acid for pH sensitive drug release // Carbohydr. Polym. 2018. V. 186. P. 82–90. https://doi.org/10.1016/j.carbpol.2018.01.008
- Quadrado R.F.N., Fajardo A.R. Microparticles based on carboxymethyl starch/chitosan polyelectrolyte complex as vehicles for drug delivery systems // Arab. J. Chem. 2020. V. 13. № 1. P. 2183–2194. https://doi.org/10.1016/j.arabjc.2018.04.004
- Mahdavinia G.R., Mosallanezhad A., Soleymani M., Sabzi M. Magnetic- and pH-responsive -carrageenan/chitosan complexes for controlled release of methotrexate anticancer drug // Int. J. Biol. Macromol. 2017. V. 97. P. 209–217. https://doi.org/10.1016/j.ijbiomac.2017.01.012
- Kumar R., Najda A., Duhan J.S., Kumar B., Chawla P., Klepacka J., Malawski S., Kumar Sadh P., Poonia A.K. Assessment of antifungal efficacy and release behavior of fungicide-loaded chitosan-carrageenan nanoparticles against phytopathogenic fungi // Polymers. 2022. V. 14. № 1. P. 41. https://doi.org/10.3390/polym14010041
- Шилова С.В., Миргалеев Г.М., Барабанов В.П. pH-чувствительные микросферы альгината кальция, модифицированные хитозаном, для иммобилизации антибиотика цефотаксима // Высокомолек. соед.2022. Т. 64А. № 5. С. 348–357. https://doi.org/10.31857/S2308112022700109
- Миргалеев Г.М., Шилова С.В., Барабанов В.П. Межмолекулярные взаимодействия цефотаксима с биополимером альгинатом натрия в водных растворах // Журнал прикладной химии. 2023. Т. 96. № 4. С. 350–357. https://doi.org/10.31857/S0044461823040047
- Langmuir I. The constitution and fundamental properties of solids and liquids. Part I. Solids // J. Am. Chem. Soc. 1916. V. 38. № 11. P. 2221–2295.
- Freundlich H.M.F. Uber die adsorption in losungen // J. Phys. Chem. 1906. V. 57A. P. 385–470.
- Hall K.R., Eagleton L.C., Acrivos A., Vermeulen T. Pore- and solid-diffusion kinetics in fire-bed adsorption under constant-pattern conditions // Ind. Eng. Chem. Fund. 1966. V. 5. P. 212–223.
- Лакович Дж. Основы флуоресцентной спектроскопии. М.: Мир, 1986.
- Ельчищева Ю.Б. Спектрофотометрические методы анализа: учебное пособие. Пермь: ПГНИУ, 2023. С. 106–119.
- Щипунов Ю.А. Структура полиэлектролитных комплексов на примере гидрогелей хитозана с лямбда-каррагинаном // Высокомолек. соед. 2020. Т. 62А. № 1. С. 57–64. https://doi.org/10.31857/S2308112020010101
- Галаев И.Ю. “Умные” полимеры в биотехнологии и медицине // Успехи химии. 1995. Т. 64. № 5. С. 505–524.
- Kulikov S., Tikhonov V., Blagodatskikh I., Bezrodnykh E., Lopatin S., Khairullin R., Philippova Y., Abramchuk S. Molecular weight and pH aspects of efficacy of oligochitosan against methicillin-resistant Staphylococcus aureus (MRSA) // Carbohydr. Polym. 2012. V. 87. № 1. P. 545–550. https://doi.org/10.1016/j.carbpol.2011.08.017
- Пчедлов-Петросян Н.О. Флуоресцеиновые красители в растворах – хорошо изученные системы? // Вестник Харьковского национального университета. 2004. № 626. Химия. Вып. 11. № 34. С. 221–313.
- Brugnerotto J., Lizardi J., Goycoolea F.M., Argüéelles-Monal W., Desbriéres J., Rinaudo M. An infrared investigation in relation with chitin and chitosan characterization // Polymer. 2001. V. 42. № 8. P. 3569–3580. https://doi.org/10.1016/S0032-3861(00)00713-8
Supplementary files








