Spherical polymer gels containing sulfonate groups: synthesis and adsorption properties
- Authors: Laishevkina S.G.1, Druian L.M.1, Iakobson O.D.1, Ivankova Е.М.1, Shabsels B.М.1, Shevchenko N.N.1
-
Affiliations:
- Филиал федерального государственного бюджетного учреждения «Петербургский институт ядерной физики им. Б.П. Константинова Национального исследовательского центра «Курчатовский институт»
- Issue: Vol 87, No 1 (2025)
- Pages: 24-34
- Section: Articles
- Submitted: 24.04.2025
- Accepted: 24.04.2025
- Published: 24.01.2025
- URL: https://journal-vniispk.ru/0023-2912/article/view/289061
- DOI: https://doi.org/10.7868/S3034543X25010031
- EDN: https://elibrary.ru/UTAPVR
- ID: 289061
Cite item
Abstract
Porous cross-linked polyelectrolyte microspheres with diameter from 1 to 5 μm based on para-styrene sulfonate or copolymer of para-styrene sulfonate with vinyl acetate were synthesized. The content of sulfonate groups in the obtained polyelectrolyte microspheres is more than 2 mmol/g. It was shown that introduction of hydrophobic comonomer significantly increased the degree of swelling of polyelectrolyte microspheres. It was found that the value of adsorption of model compounds (fuchsin, methylene blue) significantly exceed the concentration of sulfonate groups. Morphology, structure of the surface layer of polyelectrolyte matrices were studied by optical and scanning electron microscopy, FTIR spectroscopy, specific surface by the BET method.
Full Text
ВВЕДЕНИЕ
Современная медицина и фармакология представляют собой динамично развивающиеся области, направленные на внедрение инновационных технологий и улучшение методов диагностики и лечения. Одной из ключевых задач в этих сферах является целенаправленная/адресная доставка лекарственных веществ (ЛВ) преимущественно к зонам очагов воспалений, в результате значительно снижаются нежелательные реакции организма на используемые препараты ЛВ и уменьшается их дозировка. Кроме того, такие системы доставки могут постепенно высвобождать действующее вещество, что позволяет уменьшить кратность введения препарата и повысить эффективность лечения [1]. Наиболее перспективными материалами для разработки систем доставки ЛВ являются полимеры, которые могут быть представлены в виде частиц [2–4], капсул [5], гидрогелей [6], дендримеров [7] и др. При этом именно гидрогели вызывают особый интерес у исследователей, занимающихся разработкой систем доставки лекарственных веществ. Они характеризуются высоким содержанием воды, биосовместимостью и требуемыми механическими свойствами. Кроме того, существующие знания позволяют синтезировать гидрогели в макро-, микро- и наномасштабах. Согласно литературным данным, именно микро- и наногели обладают наибольшим потенциалом в области разработки систем доставки лекарств [8–10].
Полимерные системы доставки ЛВ можно разделить на две большие группы: био- и небиоразлагаемые композиции, выбор между которыми зависит от конкретных клинических требований и типа ЛВ. Небиоразлагаемые системы часто применяются в области рентгенохирургии в качестве эмболизатов [6], в стоматологии как стоматологические реставрационные материалы [4] или универсальные имплантируемые системы доставки ЛВ [11]. Распространенными полимерами для небиоразлагаемых систем доставки ЛВ являются полиметилметакрилат [12, 13], полиэтиленвинилацетат [14], поливиниловый спирт [15], а также сополимеры на их основе. В последнее время, помимо ранее упомянутых полимеров, объектом активных исследований в сфере адресной доставки ЛВ также становятся и полиэлектролиты [5, 16]. Это обусловлено их уникальными свойствами: высокая адсорбционная емкость и способность к ионному обмену [17]. Именно это особенно интересно для формул с пролонгированным высвобождением, где диффузия лекарственного вещества ограничивается ионным обменом между ЛВ с ионногенными группами и полиэлектролитами.
Полианионы содержат отрицательно заряженные ионогенные группы – SO3– (COO–). Они демонстрируют свою эффективность в доставке катионных ЛВ, что подтверждается рядом примеров: полистиролсульфонат для доставки фосфат лигустразина для лечения различных заболеваний глаз [3] или частицы CaCO3, покрытые поливинилсульфонатом или декстрансульфонатом, для доставки гидрохлорида доксорубицина для терапии рака [18]. Оказалось, что модификация частиц CaCO3 декстрансульфонатом является наиболее оптимальным при последующем исследовании таких частиц in-vivo. Кроме того, полианионы могут использоваться для доставки гормонов, таких как инсулин [2].
Тем не менее синтез микросфер на основе полиэлектролитов – это не простая задача. Большинство опубликованных статей используют сульфирование полистирольных частиц [19, 20] для формирования в их структуре сульфонатных групп, однако морфология, электроповерхностные свойства или набухание таких микросфер в растворителях значительно разнятся по сравнению с микросферами, полученными с использованием в качестве функционального мономера пара-стиролсульфоната. Другой распространенный метод получения микросфер с сульфонатными группами – это многостадийный синтез, включающий в себя защиту сульфонатных групп, синтез гидрофобных микросфер и снятие защиты [21, 22]. Несмотря на высокое содержание сульфонатных групп в конечных микросферах, такой метод достаточно сложен, а некоторые этапы характеризуются низким выходом или образованием нестабильных соединений. Поэтому наиболее перспективным методом является синтез микро- сфер на основе коммерчески доступных мономеров с сульфонатными группами в процессе обратной эмульсионной полимеризации.
Таким образом, сшитые системы на основе полианионов могут быть перспективны в качестве небиоразлагаемых систем доставки ЛВ. В связи с этим необходимо изучать механизмы сорбции и десорбции лекарственных веществ на полиэлектролитные микросферы. В рамках настоящей работы мы синтезировали сшитые гидрогелевые микросферы на основе полистиролсульфоната и его сополимера с винил- ацетатом с целью изучить их возможность сорбировать катионные формы лекарственных препаратов на примере фуксина и метиленового синего. В работе определены оптимальные условия получения полимерных микросфер методом обратной эмульсионной полимеризации, а также рассмотрено влияние сомономера винилацетата на сорбционную способность синтезированных частиц. Структурные характеристики всех полимерных микросфер были исследованы с использованием методов ИК-спектроскопии, оптической и растровой электронной микроскопии, а также методом БЭТ. Результаты показали, что синтезированные микросферы обладают развитой удельной поверхностью и высоким содержанием сульфонатных групп (более 2 ммоль/г), большая часть которых локализуется в объеме микросфер. Данные значения на порядок превышают значения концентрации поверхностных сульфонатных групп для полистирольных микросфер (получены после их сульфирования). При этом введение винилацетата в качестве сомономера снижает содержание сульфонатных групп, что, в свою очередь, ухудшает их сорбционные свойства в отношении фуксина и метиленового синего.
ЭКСПЕРИМЕНТАЛЬНАЯ ЧАСТЬ
Материалы
Синтез частиц проводили с использованием следующих реактивов: натриевая соль стиролсульфоната (ССт) (Sigma Aldrich, Германия), N,N’-метилен-бис-акриламид (МБА) (ООО «Вектон», Россия), винил- ацетат (ООО «Вектон», Россия), персульфат калия (K2S2O8) (ООО «Вектон», Россия), Span 80 (Sigma Aldrich, Германия), Tween 80 (Sigma Aldrich, Германия). Винилацетат очищали вакуумной перегонкой по стандартной методике, персульфат калия очищали перекристаллизацией из воды. Другие мономеры и эмульгаторы использовали без предварительной очистки. Для исследования частиц использовали NaCl, HCl, NaOH, этанол (ООО «Вектон», Россия), циклогексан (АО «ЛенРеактив, Россия) без предварительной очистки. Фуксин (ООО «Вектон», Россия) и метиленовый синий (ООО «Вектон», Россия) использовали без предварительной очистки.
Синтез частиц полистиролсульфоната
Синтез полимерных частиц проводили в трехгорлой колбе, оснащенной верхнеприводной мешалкой и обратным холодильником. Сначала в колбе растворяли эмульгатор Span 80 в 12 мл циклогексана при температуре 50°C. Параллельно готовили раствор реагентов в воде, последовательно растворяя на ультразвуковой бане при температуре 50°C Tween 80, ССт (1.98 г), винилацетат (0–10 масс. % от ССт-Na), МБА (50 масс. % от общего содержания мономеров) и K2S2O8 (3 масс. % от общего содержания мономеров). Количество эмульгаторов составляло 5 масс. % от общего содержания эмульсии (мономеры и растворители), соотношение Tween 80/Span 80 составляло 16/84. Сразу после растворения K2S2O8 приготовленный раствор вносили в трехгорлую колбу. Образовавшуюся эмульсию перемешивали в течение 30 минут со скорость 600 об/мин при температуре 50°C для достижения равновесия. Затем температуру повышали до 70°C и продолжали реакцию в течение 4 часов при постоянном перемешивании. Непрореагировавшие мономеры, эмульгатор и циклогексан удаляли центрифугированием в течение 30 минут при 10 000 об/мин (Centrifuge 5804, Eppendorf, Германия), редиспергируя осажденные частицы в водно-спиртовой смеси.
Определение размера и формы частиц
Размер и форму частиц определяли методами оптической и растровой электронной микроскопии (РЭМ). Оптическую микроскопию проводили с помощью оптического микроскопа (МИКМЕД-5, Россия), оборудованного линзами с увеличением ×100 и ×40. Для исследования готовили дисперсию частиц в воде, после чего ее наносили на предметное стекло и производили съемку частиц в набухшем состоянии. РЭМ проводили на растровом электронном микроскопе SUPRA 55 VP (Германия). Для проведения РЭМ высушенные образцы наносили на стеклянные подложки, после чего их покрывали Au/Pd. Расчет диаметра микросфер производили с использованием программы Image J.
Определение содержания сульфонатных групп
Определение содержания сульфонатных групп проводили методом кондуктометрического титрования и путем измерения ионообменной емкости. Измерение ионообменной емкости проводили по стандартной методике, для этого 0.3 г частиц диспергировали в 10 мл HCl (0.5 н.) и выдерживали в течение 24 часов, после чего частицы промывали (избыток кислоты удаляли центрифугированием) и сушили с помощью лиофильной сушки. Затем частицы диспергировали в 20% водном растворе NaCl и выдерживали в течение 24 часов. Выделившуюся в результате ионного обмена кислоту под током аргона оттитровывали водным раствором NaOH (0.01 н.) в присутствии индикатора фенолфталеина.
Кондуктометрическое титрование проводили в токе аргона с использованием 0.1% масс. дисперсии частиц. Для этого в дисперсию вносили известный избыток HCl (0.01 н.), после чего внесенную HCl и сульфонатные группы оттитровывали водным раствором NaOH (0.01 н.), снимая значения электропроводности дисперсии с помощью кондуктометра SevenMulti (MetlerToledo, Швейцария).
Определение удельной поверхности частиц
Удельную поверхность частиц измеряли с помощью анализатора поверхности NOVA 1200e (Quantachrome, США). Перед началом измерений проводили дегазацию образца в токе азота при пониженном давлении.
ИК-спектроскопия
Исследование спектральных характеристик синтезированных образцов проводили методом ИК-спектроскопии нарушенного полного внутреннего отражения. ИК-спектры снимали на ИК-спектрометре IR-Affinity-1S (Shimadzu, Япония) с алмазной призмой. Все спектры представляют собой среднее значение 32 сканирований, проведенных в диапазоне волновых чисел 20 000–600 см–1.
Определение сорбции фуксина и метиленового синего
Определение сорбционной способности синтезированных микросфер в отношении фуксина и метиленового синего (МС) проводили спектрофотометрическим методом. Для этого 1.1–4.3 мг синтезированных частиц выдерживали в водном растворе фуксина или метиленового синего с концентрацией 4.8∙10–5 до 1.45∙10–3 моль/л в течение 1.5 часов. После чего частицы осаждали с помощью центрифугирования, а растворы супернатанта с несорбированным фуксином/МС изучали методом оптической спектроскопии в видимой области (λ = 542 нм и λ = 662 нм для фуксина и МС). Концентрацию фуксина и МС определяли с помощью предварительно построенной калибровочной прямой.
Анализ экспериментальных данных по сорбционной ёмкости в отношении ЛВ проводили с помощью моделей Ленгмюра и Фрейндлиха. Для этого строили линейные изотермы и рассчитывали параметры по формулам (1) и (2) для моделей Ленгмюра и Фрейндлиха, соответственно.
, (1)
где q – величина адсорбции, моль/г; qмакс – максимальная величина адсорбции, моль/г; KL – константа Ленгмюра, г/ммоль; Ce – равновесная концентрация, моль/г.
, (2)
где q – величина адсорбции, моль/г; KF – константа Фрейндлиха (при С = 1 моль/л KF равна qмакс); 1/n – константа (адсорбционный показатель, зависящий от температуры и природы адсорбента).
Кроме того, для модели Ленгмюра по формуле (3) был рассчитан параметр RL – коэффициент разделения (параметр равновесия).
, (3)
где С0 – начальная концентрация абсорбата, моль/г.
Оценку применимости теоретической модели изотерм адсорбции к полученным экспериментальным данным проводили на основе коэффициента детерминации (R2), рассчитанного в программном обеспечении Origin 2019.
РЕЗУЛЬТАТЫ И ОБСУЖДЕНИЯ
Синтез микросфер
В работе были синтезированы полиэлектролитные частицы, перспективные для сорбции лекарственных препаратов. Цель данной работы состояла в исследовании сорбционных свойств микросфер на основе сшитого полистиролсульфоната в отношении катионных лекарственных веществ. Полиэлектролитные частицы были синтезированы методом обратной эмульсионной сополимеризации ССт-Na и МБА, а также сополимеризации ССт-Na, МБА и винилацетата (П(ССт-ВА)) (табл. 1). Полистиролсульфонат (ПССт) – биосовместимый полимер, который применяется для лечения гиперкалиемии. Введение в реакционную систему сшивающего агента МБА было необходимо для формирования сшитых полимерных цепей, чтобы предотвратить их растворимость в водной фазе. Винилацетат использовали с целью формирования гидрофобных участков в структуре полимерной цепи, что может улучшить взаимодействие микросфер с нерастворимыми в воде ЛВ. Кроме того, винилацетат позволит сформировать в структуре полимера звенья поливинилового спирта (за счет дальнейшего гидролиза звеньев поливинилацетата). Звенья поливинилового спирта способствуют улучшению мукоадгезивных свойств полимерных микросфер, что важно при использовании микросфер в качестве эмболизатов или универсальных имплантируемых систем доставки ЛВ. В качестве дисперсионной среды был выбран циклогексан. При проведении реакции важное значение имеет устойчивость образующейся эмульсии. Поэтому в качестве эмульгирующей системы были выбраны эмульгаторы Span 80 и Tween 80. Span 80 обладает низким значением гидрофильно-липофильного баланса (ГЛБ) (4.3), что позволяет эффективно стабилизировать капли мономеров в масляной фазе. Вспомогательный эмульгатор Tween 80 со значением ГЛБ 15 обеспечивал равномерное распределение полярных веществ в водной фазе и улучшал стабильность эмульсий за счет уменьшения коалесценции капель. Кроме того, гидрофобные хвосты данных эмульгаторов идентичны, а гидрофильная головка сильно отличается по размерам (рис. 1), в результате чего они имеют максимальный синергетический эффект [23]. Кроме того, согласно исследованию [24], наиболее эффективная стабилизация эмульсий наблюдается при введении эмульгаторов в разные фазы (липофильный – в масляную, гидрофильный – в воду). В этом случае после смешения фаз отсутствует этап диффузии поверхностно-активного вещества (ПАВ) в водную фазу, наоборот, молекулы ПАВ сразу ориентируются на границе раздела фаз в нужном направлении, что обеспечивает формирование более плотного слоя на границе раздела фаз. Поэтому в данной работе ПАВ вводили в различные фазы и после смешения выдерживали 30 минут для установления равновесия.
Таблица 1. Состав мономерной смеси
N | Конц. мон-ов, моль/л | ССт-Na: МБА, мол. % | Винилацетат, масс. % | Эмульгатор | ||
Tween 80/ Span 80 | Содержание, масс. % | ГЛБ | ||||
ПССт | 2 | 60:40 | – | 16/84 | 5 | 6 |
П(ССт-ВА) | 2 | 60:40 | 10 | 16/84 | 5 | 6 |
Рис. 1. Схематическое расположение эмульгаторов на границе раздела фаз вода-циклогексан.
Образовавшиеся эмульсии представляли собой коллоидные системы белого цвета. После установления равновесия температуру увеличивали до 70°C для начала реакции полимеризации. Через два часа протекания реакции наблюдалось резкое увеличение вязкости системы, что, вероятно, связано с высоким содержанием набухшего в воде полимера относительно объема водной фазы. В результате синтеза формировались гидрогелевые сферические микросферы диметром 1–5 мкм в набухшем состоянии (рис. 2), о чем свидетельствовали фотографии оптической микроскопии (рис. 3а, г). Введение винилацетата способствовало образованию частиц с более узким распределением частиц по размерам, что может быть связано с незначительным увеличением количества эмульгаторов в системе, зависимым от массы вводимых сомономеров. Кроме того, синтезированные микросферы обладали большой удельной поверхностью, значение удельной поверхности для микросфер ПССт и П(ССт-со-ВА) составило 2.09 и 2.23 м2/г, соответственно. Однако стоит отметить, что такой размер микросфер подходит не для всех способов доставки лекарств. Известно, что при оральном использовании частиц полистиролсульфоната частицы размером менее 5 мкм могут абсорбироваться через слизистую оболочку и откладываться в тканях системы мононуклеарных фагоцитов.
Рис. 2. Распределение частиц по размерам для частиц ПССт (а) и сополимера П(ССт-со-ВА) (б).
Рис. 3. Микрофотографии оптической микроскопии частиц ПССт (а) и П(ССт-со-ВА) (г); микрофотографии РЭМ- частиц ПССт (б, в) и частиц сополимера П(ССт-со-ВА) (д, е).
Размер и форма полимерных частиц на основе ПССт и сополимера П(ССт-со-ВА) также были исследованы методом растровой электронной микроскопии. По фотографиям видно, что все частицы имеют сферическую форму. При этом размер частиц на фотографиях РЭМ (в сухом виде) и оптической микроскопии (набухшем виде) отличается, что подтверждает их гелеподобную структуру. Кроме того, степень набухания частиц на основе сшитых ПССт и сополимера П(ССт-со-ВА) составила ~20% и 95%, соответственно. Степень набухания П(ССт-со-ВА) выше по сравнению со степенью набухания ПССт, несмотря на то, что содержание МБА в условиях для синтеза микросфер П(ССт-со-ВА) выше на 10 масс. %. Введение ВА могло повлиять на гомогенность фазы на границе раздела фаз вода-циклогексан, что отразилось на том, как МБА располагается в структуре полимерной сетки. Результаты ИК-спектроскопии (рис. 4) показали, что в структуре полимера присутствуют винильные группы МБА, которые не участвовали в реакции полимеризации. Учитывая это, можно предположить, что сшивающий агент встраивается в полимерную цепь только одной винильной группой.
Рис. 4. ИК-спектры ССт-Na (зеленый), МБА (синий) и синтезированных частиц ПССт (красный) и П(ССт-со-ВА) (черный).
ИК-спектроскопия
Анализ химического состава полученных частиц проводили методом ИК-спектроскопии нарушенного полного внутреннего отражения. Полученные ИК-спектры для образцов ПССт и сополимера П(ССт-со-ВА) представлены на рис. 4. На содержание в частицах структуры полистиролсульфоната указывают полосы пропускания при 673 см–1, что соответствует C–S и С–Н связям в сульфонатной группе, присоединенной к ароматическому кольцу. Валентные асимметричные колебания при 1179 см–1 и валентные симметричные при 1033 см–1 также указывают на наличие в структуре группы , замещенной в пара-положение, что подтверждается плоскостными колебаниями 1122 см–1 и 1007 см–1. Полосы пропускания при 836 см–1 и 772 см–1 соответствуют деформационным колебаниям ẟ(C–H)ароматического кольца. Полоса пропускания при 1651 см–1 намного шире относительно исходных мономеров. Это может быть связано с одновременным перекрыванием валентных колебаний ν(С=С) ароматического кольца ПССт и валентных колебаний ν(C–O), принадлежащих структуре МБА, с валентными колебаниями ν(С=С) винильной группы МБА (полоса пропускания при 1620 см–1). На содержание в частицах МБА также указывает полоса при 1521 см–1, соответствующая деформационным колебаниям ẟ(N–H) [25]. Тем не менее на ИК-спектрах частиц П(ССт-ВА) отсутствуют характерные полосы пропускания при 1018 см–1, 1206 см–1 и 1755 см–1, соответствующие колебаниям C–O, O–C=O и С=О в структуре ВА. Это может свидетельствовать о том, что содержание в структуре сополимера винилацетата ниже порога чувствительности метода.
Содержание сульфонатных групп
Содержание сульфонатных групп в синтезированных микросферах изучали 2 методами: кондуктометрическим титрованием и измерением ионо- обменной емкости. Как видно из рис. 5, результаты для двух методов сильно различаются. Гидрогелевая/проницаемая для растворителей структура микро- сфер способствовала тому, что в ионном обмене участвовали сульфонатные группы, расположенные как на поверхности, так и во всём объеме частиц. Вероятно, вследствие диффузионных ограничений методом кондуктометрического титрования удалось оттитровать только сульфонатные группы, локализованные в поверхностном слое микросфер. В то время как измерение ионообменной ёмкости предполагало длительное выдерживание частиц в водных растворах HCl и NaOH, что позволило исключить диффузионные ограничения и измерить полное содержание доступных к ионному обмену сульфонатных групп. Введение ВА в состав микросфер привело к уменьшению содержания сульфонатных групп на 33 и 24% для кондуктометрического титрования и измерения ионообменной ёмкости, соответственно, что может служить косвенным подтверждением присутствия ВА в структуре сополимера.
Рис. 5. Содержание сульфонатных групп в синтезированных частицах, определенное методом кондуктометрического титрования (оранжевый) и при измерении ионообменной емкости (голубой).
Адсорбция фуксина и метиленового синего
Для исследования сорбционных свойств синтезированных микросфер были выбраны два лекарственных препарата: метиленовый синий и фуксин. Метиленовый синий является многофункциональным препаратом, обладающим антимикробными свойствами и применяемым для лечения заболеваний мочевыводящих путей, метгемоглобинемии, а также в качестве красителя при различных медицинских манипуляциях. Фуксин также проявляет антимикробные свойства и может использоваться в качестве антисептика для обработки ран и других поверхностей. Эти соединения были выбраны в качестве модельных образцов из-за их положительно заряженной катионной структуры, которая способна взаимодействовать с сульфонатными группами в структуре синтезированных микросфер. Взаимодействие МС и фуксина с частицами осуществлялась за счет ион-ионного взаимодействия (рис. 6), а также за счет других видов связи (водородных, π–π взаимодействий и др).
Рис. 6. Схема взаимодействия микросфер с фуксином (а) и метиленовым синим (б).
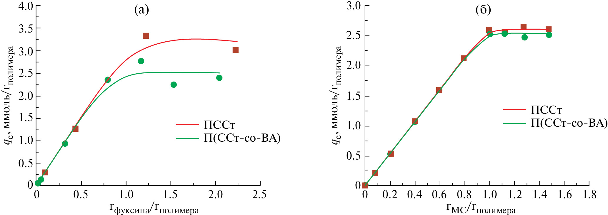
Изучение сорбционных свойств синтезированных частиц в отношении МС и фуксина проводили методом спектрофотомерии. На рис. 7 представлены изотермы адсорбции фуксина и МС из водных растворов на синтезированные микросферы ПССт и сополимера П(ССт-со-ВА). Из рисунка видно, что все изотермы относятся к классу L согласно классификации Чарльза Гильса. Для них характерно возрастание адсорбции с увеличением равновесной концентрации адсорбата и её постепенное приближение к максимальному значению сорбционной ёмкости. Согласно полученным данным, максимальные значения сорбции фуксина через 2 часа равны 3.3 и 2.3 ммоль/г для ПССт и П(ССт-со-ВА), соответственно. Для МС максимальная сорбционная ёмкость через 2 часа составила 2.7 и 2.5 ммоль/г для ПССт и П(ССт-со-ВА), соответственно. Стоит отметить, что полученные значения превышают значение содержания сульфонатных групп, доступных к ион-ионному взаимодействию. В связи с чем можно предположить, что происходит многослойная адсорбция фуксина и МС на синтезированные частицы.
Рис. 7. Изотермы адсорбции фуксина (а) и метиленового синего (б) на синтезированные микросферы.
Исследование взаимодействий адсорбент-адсорбат проводилось путем анализа линейных изотерм адсорбции, используя модели Ленгмюра (1) и Фрейндлиха (2). Линейные корреляции изотерм Ленгмюра и Фрейндлиха представлены на рис. 8. Рассчитанные константы, соответствующие каждой модели, а также коэффициент детерминации, показывающие сходимость теоретических и экспериментальных данных, представлены в табл. 2.
Рис. 8. Линейные корреляции изотерм Ленгмюра для фуксина (а) и метиленового синего (б); линейные корреляции изотерм Фрейндлиха для фуксина (в) и метиленового синего (г)
Таблица 2. Основные параметры моделей изотерм адсорбции фуксина и МС на микросферы ПССт и П(ССт-со-ВА)
Модель | Параметры модели | Фуксин | Метиленовый синий | ||
ПССт | П(ССт-со-ВА) | ПССт | П(ССт-со-ВА) | ||
Ленгмюра | qэксп, ммоль/г | 3.3 | 2.3 | 2.7 | 2.5 |
qмакс теор, ммоль/г | 5.2 | 4.6 | 10.1 | 7.6 | |
KL∙10–3 | 0.83 | 0.78 | 0.29 | 0.41 | |
RL (при 0.25) | 0.83 | 0.84 | 0.93 | 0.91 | |
R2 | 0.83 | 0.86 | 0.64 | 0.63 | |
Фрейндлиха | 1/n | 0.86 | 0.81 | 0.91 | 0.88 |
KF, ммоль/г | 2.48 | 2.02 | 2.33 | 1.09 | |
R2 | 0.97 | 0.95 | 0.98 | 0.97 | |
Модель Ленгмюра подразумевает формирование монослоя молекул адсорбата за счет их адсорбции на гомогенной поверхности твердого тела, содержащего конечное число активных центров с равной энергией. В то время как модель Фрейндлиха описывает многослойную адсорбцию адсорбата на гомогенной поверхности твердого тела, активные центры которой обладают различной энергией адсорбции. Полученные коэффициенты детерминации для модели Ленгмюра показали низкие значения (0.63–0.86) для всех исследуемых микросфер как для адсорбции в отношении фуксина, так и МС. Это свидетельствует о низкой применимости данной теории к процессам, происходящим при адсорбции. Наиболее подходящей моделью для всех микросфер оказалась модель Фрейндлиха (R2 = 0.95–0.98). Это свидетельствует о формировании нескольких слоев молекул фуксина и МС как на поверхности, так и в объеме полимерных микросфер. Кроме того, в модели Фрейндлиха параметр 1/n является показателем силы и показывает характер протекания адсорбции. При 1/n = 1 распределение адсорбированных молекул между двумя фазами не зависит от концентрации; при 1/n, равном 0, адсорбция носит необратимый характер; при 1/n < 1 адсорбция благоприятная, а при 1/n > 1 адсорбция неблагоприятная. Для данной работы показатель 1/n во всех случаях был в диапазоне 0.81–0.91, что свидетельствует о благоприятной адсорбции фуксина и МС на синтезированные частицы.
С учетом использования многослойной модели адсорбции Фрейндлиха и увеличенного значения максимальной сорбционной ёмкости относительно содержания сульфонатных групп в синтезированных микросферах, можно предположить, что адсорбция фуксина и МС происходит не только за счет ион-ионных взаимодействий. Возможно, при адсорбции важное значение также имеют другие взаимодействия, например, водородные связи [26] или π–π стэкинг между ароматическими кольцами ЛВ и ароматическим кольцом в структуре ПССт. Кроме того, известно, что МС склонен к самоассоциации и формированию димеров и тримеров [27], поэтому можно предположить, что в адсорбции участвуют не только мономерные молекулы МС, но и димеры и тримеры, что может быть причиной такой высокой сорбционной ёмкости.
ЗАКЛЮЧЕНИЕ
В работе были синтезированы сшитые микросферы полистиролсульфоната методом обратной эмульсионной полимеризации как с использованием сомономера ВА, так и без него. Было показано, что данным методом формируются микросферы с высоким содержанием сульфонатных групп, которые локализованы как в поверхностном слое, так и в объеме микросфер. Такая локализация сульфонатных групп оказывает влияние на сорбционные свойства микросфер по отношению к модельным катионным хромофорам – фуксину и метиленовому синему. Полученные полиэлектролитные микросферы обладают развитой удельной поверхностью, что подтверждено методом БЭТ. Полученные результаты свидетельствуют о перспективности полученных полиэлектролитных микросфер для их дальнейшего изучения в качестве носителей ЛВ.
ФИНАНСИРОВАНИЕ РАБОТЫ
Работа выполнена в рамках гос. задания (№ 124013000730-3).
СОБЛЮДЕНИЕ ЭТИЧЕСКИХ СТАНДАРТОВ
В данной работе отсутствуют исследования человека или животных.
КОНФЛИКТ ИНТЕРЕСОВ
Авторы заявляют, что у них нет конфликта интересов.
About the authors
S. G. Laishevkina
Филиал федерального государственного бюджетного учреждения «Петербургский институт ядерной физики им. Б.П. Константинова Национального исследовательского центра «Курчатовский институт»
Email: natali.shevchenko29@gmail.com
Институт высокомолекулярных соединений
Russian Federation, 199004, Санкт-Петербург, Большой пр. В.О., 31L. M. Druian
Филиал федерального государственного бюджетного учреждения «Петербургский институт ядерной физики им. Б.П. Константинова Национального исследовательского центра «Курчатовский институт»
Email: natali.shevchenko29@gmail.com
Институт высокомолекулярных соединений
Russian Federation, 199004, Санкт-Петербург, Большой пр. В.О., 31O. D. Iakobson
Филиал федерального государственного бюджетного учреждения «Петербургский институт ядерной физики им. Б.П. Константинова Национального исследовательского центра «Курчатовский институт»
Email: natali.shevchenko29@gmail.com
Институт высокомолекулярных соединений
Russian Federation, 199004, Санкт-Петербург, Большой пр. В.О., 31Е. М. Ivankova
Филиал федерального государственного бюджетного учреждения «Петербургский институт ядерной физики им. Б.П. Константинова Национального исследовательского центра «Курчатовский институт»
Email: natali.shevchenko29@gmail.com
Институт высокомолекулярных соединений
Russian Federation, 199004, Санкт-Петербург, Большой пр. В.О., 31B. М. Shabsels
Филиал федерального государственного бюджетного учреждения «Петербургский институт ядерной физики им. Б.П. Константинова Национального исследовательского центра «Курчатовский институт»
Email: natali.shevchenko29@gmail.com
Институт высокомолекулярных соединений
Russian Federation, 199004, Санкт-Петербург, Большой пр. В.О., 31N. N. Shevchenko
Филиал федерального государственного бюджетного учреждения «Петербургский институт ядерной физики им. Б.П. Константинова Национального исследовательского центра «Курчатовский институт»
Author for correspondence.
Email: natali.shevchenko29@gmail.com
Институт высокомолекулярных соединений
Russian Federation, 199004, Санкт-Петербург, Большой пр. В.О., 31References
- Adepu S., Ramakrishna S. Controlled drug delivery systems: current status and future directions // Molecules. 2021. V. 26. № 19. P. 5905. https://doi.org/10.3390/molecules26195905
- Takenaga M., Serizawa Y., Azechi Y., Ochiai A., Kosaka Y., Igarashi R., Mizushima Y. Microparticle resins as a potential nasal drug delivery system for insulin // J. Control. Release. 1998. V. 52. № 1–2. P. 81–87. https://doi.org/10.1016/S0168-3659(97)00193-4
- Dong L., Zhang H., Zhang G., Li F., Li M., Wang H., Ye X., Ren X., Zhang J., Peng C., Liu H., Wu L. Polystyrene sulfonate resin as an ophthalmic carrier for enhanced bioavailability of ligustrazine phosphate controlled release system // J. Pharm Sci. 2024. V. 113. № 9. P. 2786–2794. https://doi.org/10.1016/j.xphs.2024.07.002
- Imazato S., Kitagawa H., Tsuboi R., Kitagawa R., Thongthai P., Sasaki J. Non-biodegradable polymer particles for drug delivery: A new technology for “bio-active” restorative materials // Dent. Mater. J. 2017. V. 36. № 5. P. 524–532. https://doi.org/10.4012/dmj.2017-156
- Kalenichenko D., Nifontova G., Karaulov A., Sukhanova A., Nabiev I. Designing functionalized polyelectrolyte microcapsules for cancer treatment // Nanomaterials. 2021. V. 11. № 11. P. 3055. https://doi.org/10.3390/nano11113055
- Кедик С.А., Суслов В.В., Шняк Е.А., Домнина Ю.М. Гелеобразующие полимеры для создания жидких эмболизатов // Разработка и регистрация лекарственных средств. 2017. V. 21. № 4. P. 56–63.
- Wang J., Li B., Qiu L., Qiao X., Yang H. Dendrimer-based drug delivery systems: history, challenges, and latest developments // J. Biol. Eng. 2022. V. 16. № 18. P. 18. https://doi.org/10.1186/s13036-022-00298-5
- de Lima C.S.A., Balogh T.S., Varca J.P.R.O., Varca .H.C., Lugão A.B., Camacho-Cruz L.A., Bucio E., Kadlubowski S.S. An updated review of macro, micro, and nanostructured hydrogels for biomedical and pharmaceutical applications // Pharmaceutics. 2020. V. 12. № 10. P. 970. https://doi.org/10.3390/pharmaceutics12100970
- Wechsler M.E., Stephenson R.E., Murphy A.C., Oldenkamp H.F., Singh A., Peppas N.A. Engineered microscale hydrogels for drug delivery, cell therapy, and sequencing // Biomed. Microdevices. 2019. V. 21. P. 31. https://doi.org/10.1007/s10544-019-0358-0
- Oh J.K., Drumright R., Siegwart D.J., Matyjaszewski K. The development of microgels/nanogels for drug delivery applications // Prog. Polym. Sci. 2008. V. 33. № 4. P. 448–477. https://doi.org/10.1016/j.progpolymsci.2008.01.002
- Stewart S.A., Domínguez-Robles J., Donnelly R.F., Larrañeta E. Implantable polymeric drug delivery devices: classification, manufacture, materials, and clinical applications // Polymers (Basel). 2018. V. 10. № 12. P. 1379. https://doi.org/10.3390/polym10121379
- Bettencourt A., Almeida A.J. Poly(methyl methacrylate) particulate carriers in drug delivery // J. Microencapsul. 2012. V. 29. № 4. P. 353–367. https://doi.org/10.3109/02652048.2011.651500
- Shaked E., Shani Y., Zilberman M., Scheinowitz M. Poly(methyl methacrylate) particles for local drug delivery using shock wave lithotripsy: In vitro proof of concept experiment // J. Biomed. Mater. Res. B Appl. Biomater. 2015. V. 103. № 6. P. 1228–1237. https://doi.org/10.1002/jbm.b.33301
- Schneider C., Langer R., Loveday D., Hair D. Applications of ethylene vinyl acetate copolymers (EVA) in drug delivery systems // J. Control. Release. 2017. V. 262. P. 284–295. https://doi.org/10.1016/j.jconrel.2017.08.004
- Rivera-Hernández G., Antunes-Ricardo M., Martínez-Morales P., Sánchez M. Polyvinyl alcohol based-drug delivery systems for cancer treatment // Int. J. Pharm. 2021. V. 600. P. 120478. https://doi.org/10.1016/j.ijpharm.2021.120478
- Lankalapalli S., Kolapalli V.R.M. Polyelectrolyte complexes: A review of their applicability in drug delivery technology // Indian J. Pharm. Sci. 2009. V. 71. № 5. P. 481–487. https://doi.org/10.4103/0250-474X.58165
- Лаишевкина C.Г., Якобсон О.Д., Иванькова Е.М., Шабсельс Б.М., Шевченко Н.Н. Влияние структуры сульфосодержащих полиэлектролитных матриц на адсорбцию ионов Cu2+ // Коллоидный журнал. 2024. Т. 86. № 1. С. 94–105. https://doi.org/10.31857/S0023291224010092
- Sudareva N., Suvorova O., Saprykina N., Vlasova H., Vilesov A. Doxorubicin delivery systems based on doped CaCO3 cores and polyanion drug conjugates // J. Microencapsul. 2021. V. 38. № 3. P. 164–176. https://doi.org/10.1080/02652048.2021.1872724
- Li F., Ye X., Li M., Nie Q., Wang H., Zhang G., Dong ., Wang C., Wu L., Liu H., Wang L., Peng C., Zhang J. Enhanced ophthalmic bioavailability and stability of atropine sulfate via sustained release particles using polystyrene sulfonate resin // Int. J. Pharm. 2024. V. 60. P. 124294. https://doi.org/10.1016/j.ijpharm.2024.124294
- Jahn P., Zelner M., Freger V., Ulbricht M. Polystyrene sulfonate particles as building blocks for nanofiltration membranes // Membranes (Basel). 2022. V. 12. № 11. P. 1138. https://doi.org/10.3390/membranes12111138
- Tiwari R., Walther A. Strong anionic polyelectrolyte microgels // Polym. Chem. 2015. V. 6. № 31. P. 5550–5554. https://doi.org/10.1039/c5py00426h
- Hofman A.H., Pedone M., Kamperman M. Protected poly(3-sulfopropyl methacrylate) copolymers: synthesis, stability, and orthogonal deprotection // ACS Polymers Au. 2022. V. 2. № 3. P. 169–180. https://doi.org/10.1021/acspolymersau.1c00044
- Fu Z., Liu M., Xu J., Wang Q., Fan Z. Stabilization of water-in-octane nano-emulsion. Part I: Stabilized by mixed surfactant systems // Fuel. 2010. V. 89. № 10. P. 2838–2843. https://doi.org/10.1016/j.fuel.2010.05.031
- Voronina N.S., Nechaev A.I., Strel’nikov V.N. Val’tsifer .A. Inverse Emulsion Copolymerization of acrylamide and 2-acrylamido-2-methylpropane sulfonic acid sodium salt for preparing water-soluble drag reduction additives // Russ. J. Appl. Chem. 2021. V. 4. P. 748–757. https://doi.org/10.1134/S1070427221060082
- Reddy B.V., Rao G.R. Vibrational spectra and modified valence force field for N,N’-methylenebisa-crylamide // Indian J. Pure Appl. Phys. 2008. V. 46. № 9. P. 611–616.
- Li C., He Y., Zhou L., Xu T., Hu J., Peng C., Liu H. Fast adsorption of methylene blue, basic fuchsin, and malachite green by a novel sulfonic-grafted triptycene-based porous organic polymer // RSC Adv. 2018. V. 8. № 73. P. 41986–41993. https://doi.org/10.1039/C8RA09012B
- Florence Ng., Naorem H. Dimerization of methylene blue in aqueous and mixed aqueous organic solvent: a spectroscopic study // J. Mol. Liq. 2014. V. 198. P. 255–258. https://doi.org/10.1016/j.molliq.2014.06.030
Supplementary files
Note
In the print version, the article was published under the DOI: 10.31857/S0023291225010031










