The Relationship of Magnetospheric Parameters with Cosmic-Ray Cutoff Rigidities Depending on Latitude
- Authors: Danilova O.A.1, Ptitsyna N.G.1, Tyasto M.I.1, Sdobnov V.E.2
-
Affiliations:
- St. Petersburg Branch of Pushkov Institute of Terrestrial Magnetism, Ionosphere and Radio Wave Propagation, Russian Academy of Sciences, 191023, St. Petersburg, Russia
- Institute of Solar-Terrestrial Physics, Siberian Branch, Russian Academy of Sciences, 664033, Irkutsk, Russia
- Issue: Vol 61, No 1 (2023)
- Pages: 21-30
- Section: Articles
- URL: https://journal-vniispk.ru/0023-4206/article/view/137320
- DOI: https://doi.org/10.31857/S0023420623010028
- EDN: https://elibrary.ru/FHYHNE
- ID: 137320
Cite item
Full Text
Abstract
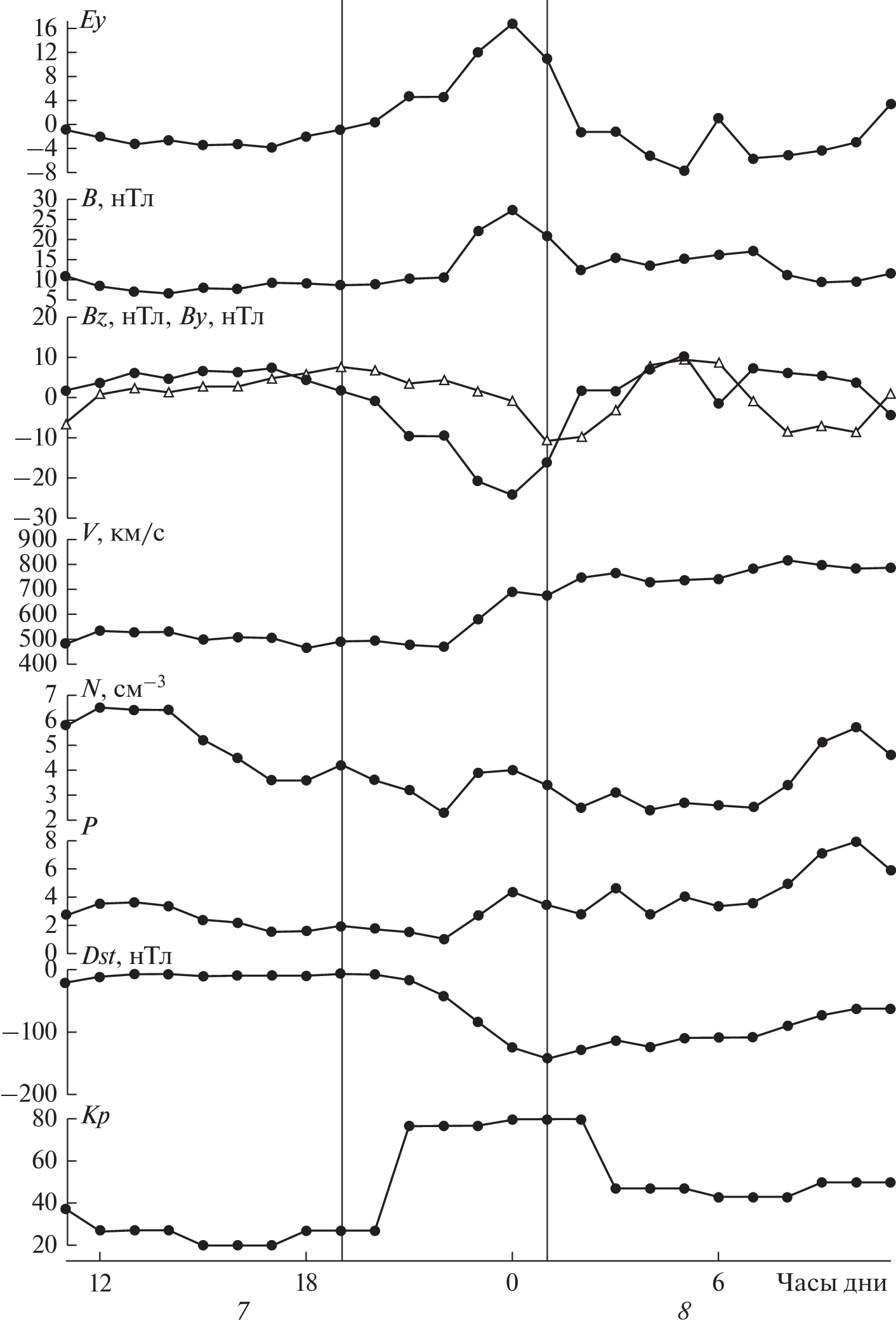
We have studied the features of the latitudinal behavior of geomagnetic thresholds of cosmic rays R, as well as their sensitivity to the interplanetary medium and magnetospheric parameters during three phases of the magnetic storm on September 7–8, 2017, in the initial, main, and recovery phases. For this purpose, values of R were calculated in two different ways—by the method of spectrographic global survey (Rsgs) and by the method of tracing the trajectories of cosmic-ray (CR) particles in the model magnetic field (Ref). The maximum lowering of thresholds is observed at the storm maximum (Dst = –142 nT), reaching the values of ΔRsgs = –0.52 GV and ΔRef = –0.66 GV. The curve of ΔRsgs variations, depending on the observation station (latitude) cutoff rigidity, assumes a classical form with a maximum dropping the thresholds at midlatitudinal stations. ΔR correlates most strongly with the Dst index, which indicates that the ring current plays a main part in the dependence of variations of CR cutoff rigidities. The significant influence of solar-wind velocity V and interplanetary magnetic field (IMF) parameters on ΔRsgs and ΔRef is also seen. In the main phase, ΔRef depends on B and Bz of the IMF, and ΔRsgs depends on B and By. For ΔRsgs, the correlation with electromagnetic parameters varies, depending on the observation station, in a regular manner. There is no such tendency for ΔRef.
About the authors
O. A. Danilova
St. Petersburg Branch of Pushkov Institute of Terrestrial Magnetism, Ionosphere and Radio Wave Propagation, Russian Academy of Sciences, 191023, St. Petersburg, Russia
Email: md1555@mail.ru
Россия, Санкт-Петербург
N. G. Ptitsyna
St. Petersburg Branch of Pushkov Institute of Terrestrial Magnetism, Ionosphere and Radio Wave Propagation, Russian Academy of Sciences, 191023, St. Petersburg, Russia
Email: md1555@mail.ru
Россия, Санкт-Петербург
M. I. Tyasto
St. Petersburg Branch of Pushkov Institute of Terrestrial Magnetism, Ionosphere and Radio Wave Propagation, Russian Academy of Sciences, 191023, St. Petersburg, Russia
Email: md1555@mail.ru
Россия, Санкт-Петербург
V. E. Sdobnov
Institute of Solar-Terrestrial Physics, Siberian Branch, Russian Academy of Sciences, 664033, Irkutsk, Russia
Author for correspondence.
Email: md1555@mail.ru
Россия, Иркутск
References
- Dorman L.I. Elementary particle and cosmic ray physics. Elsevier. New York. 1963. 456 p.
- Kress B.T., Hudson M.K., Selesnick R.S. et al. Modeling geomagnetic cutoffs for space weather applications // J. Geophys. Res. 2015. V. 120. № 7. P. 5694–5702. https://doi.org/10.1002/2014JA020899
- Буров В.А., Мелешков Ю.С., Очелков Ю.П. Методика оперативной оценки уровня радиационной опасности, обусловленной возмущениями космической погоды, при авиаперевозках // Гелиогеофизические исслед. 2005. Вып. 7. С. 1–41.
- Iucci N., Levitin A.E., Belov A.V. et al. Space weather conditions and spacecraft anomalies in different orbits // Space weather. 2005. V. 3. S01001. https://doi.org/10.1029/2003SW000056
- Mask E. Starship: Earth to Earth in less than 60 minutes. // 68th International Astronautic Congress. Adelaide, Australia. 25–29 Sep. 2017.
- Flueckiger E.O., Shea M.A., Smart D.F. On the latitude dependence of cosmic ray cutoff rigidiy variations during the initial phase of a geomagnetic storm // Proc. 20th Int. Conf. Cosmic Rays. August 1987. Moscow. USSR. 1987. V. 4. P. 2016–2020.
- Antonova O.F., Baisultanova L.M., Belov A.V. et al. The longitude and latitude dependences of the geomagnetic cutoff rigidity variations during strong magnetic storms // Proc. 21st Int. Cosmic Ray Conf. January 1990. Adelaide, Australia. V. 7. P. 10–13.
- Belov A., Baisultanova L., Eroshenko E. et al. Magnetospheric effects in cosmic rays during the unique magnetic storm on November 2003 // J. Geophys. Res. 2005. V. 110. A09S20. https://doi.org/10.1029/2005JA011067
- Данилова О.А., Демина И.А., Птицына Н.Г. и др. Картирование жесткости обрезания космических лучей во время главной фазы магнитной бури 20 ноября 2003 г. // Геомагнетизм и аэрономия. 2019. Т. 59. № 2. З. С. 160–167. https://doi.org/10.1134/S0016794019020056
- Яновский Б.М. Земной магнетизм. (4-ое издание). Изд. Ленинградского Университета, Ленинград. 1978. 592 стр.
- Shea M.A., Smart D.F., McCracken K.G. A study of vertical cutoff rigidities using sixth degree simulations of the geomagnetic field // J. Geophys. Res. 1965. V. 70. P. 4117–4130.
- Tsyganenko N.A. A model of the near magnetosphere with a dawn-dusk asymmetry: 1. Mathematical structure // J. Geophys. Res. 2002a. 107. A8. https://doi.org/10.1029/2001JA000219
- Tsyganenko N.A. A model of the near magnetosphere with a dawn-dusk asymmetry: 2. Parametrization and fitting to observation // J. Geophys. Res. 2002b. 107. A8. https://doi.org/10.1029/2001JA000220
- Dvornikov V.M., Kravtsova M.V., Sdobnov V.E. Diagnostics of the electromagnetic characteristics of the interplanetary medium based on cosmic ray effects // Geomagn. Aeron. (Engl. Transl.). 2013. V. 53, iss. 4. P. 430–440.
- King J.H., Papitashvili N.E. Solar wind spatial scales in and comparisons of hourly Wind and ACE plasma and magnetic field data //JGR. 2005. V. 110. A02104. https://doi.org/10.1029/2004JA010649
- Chertok I.M., Belov A.V., Abunin A.A. Solar Eruptions, Forbush Decreases and Geomagnetic Disturbances from Outstanding Active Region 12673// Space Weather. 2018. V. 16. P. 1549–1568. https://doi.org/10.1029/2018SW001899
- Hajra R., Tsurutani B.T., Lakhina G.S. The Complex Space Weather Events of 2017 September // ApJ. 2020. V. 899. № 1. https://doi.org/10.3847/1538-4357/aba2c5
- Kudela K., Bucik R. Low Energy Cosmic Rays and the Disturbed Magnetosphere // Proc. 2nd Int. Symp. SEE-2005. Nor-Amberd, Armenia. 2005. P. 57–62. https://arxiv.org/pdf/1303.4052.pdf
- Левитин А.Е., Дремухина Л.А., Громова Л.И. и др. Генерация магнитного возмущения в период исторической магнитной бури в сентябре 1859 г. // Геомагнетизм и аэрономия. 2014. Т. 54. № 3. с. 324–332. https://doi.org/10.7868/S0016794014030110
- Ganushkina N.Y., Liemohn M.W., Dubyagin S. Current systems in the Earth’s magnetosphere // Reviews of Geophysics. 2018. V. 56. P 309–332. https://doi.org/10.1002/2017RG000590
- Borovsky J.E., Thomsen M.F., Elphic R.C. et al. The transport of plasma sheet material from the distant tail to geosynchronous orbit // J. Geophys. Res. 1998. V. 103. A9. P. 20297–20331.
- Птицына Н.Г., Данилова О.А., Тясто М.И. и др. Влияние параметров солнечного ветра и геомагнитной активности на вариации жесткости обрезания космических лучей во время сильных магнитных бурь // Геомагнетизм и аэрономия. 2019. Т. 59. № 5. С. 569–577. https://doi.org/10.1134/S0016793219050098
- Liemohn M.W., Kozyra J.U., Thomsen M.F. et al. Dominant role of the asymmetric ring current in producing stormtime Dst // J. Geophys. Res. 2001. V. 106. A6. P. 10.883–10.904. https://doi.org/10.1029/2000JA000326
- Burton R.K., McPherron R.L., Russell C.T. An empirical relationship between interplanetary conditions and Dst // J. Geophys. Res. 1975. V. 80. Is. 31. P. 4204–4214. https://doi.org/10.1029/JA080i031p04204
- Siscoe G.L., McPherron R.L., Jordanova V.K. Diminished contribution of ram pressure to Dst during magnetic storms // J. Geophys. Res. 2005. V. 110 P. A12227. https://doi.org/10.1029/2005JA011120
- DuByagin S., Ganushkina N., Kubyshkina M. et al. Contribution from different current systems to SYM and ASY midlatitude indices // J. Geophys. Res. 2014. V. 119. P. 7243–7263. https://doi.org/10.1002/2014JA020122
- Ohtani S., Nose M., Rostoker G. et al. Storm-substorm relationship:Contribution of the tail current to Dst // J. Geophys. Res. 2001. V. 106. A10. P. 21199–21209. https://doi.org/10.1029/2000JA000400
- Turner N.E., Baker D.N., Pulkkinen T.I. et al. Evaluation of the tail current contribution to Dst // J. Geophys. Res. 2000. V. 105. № A3. P. 5431–5439. https://doi.org/10.1029/1999JA000248
- Птицына Н.Г., Данилова О.А., Тясто М.И. и др. Динамика жесткости обрезания космических лучей и параметров магнитосферы во время различных фаз бури 20 ноября 2003 г. // Геомагнетизм и аэрономия. 2021. Т. 61. № 2. С. 160–171. https://doi.org/10.31857/S0016794021010120
- Птицына Н.Г., Данилова О.А., Тясто М.И. Kорреляция жесткости обрезания космических лучей с параметрами гелиосферы и геомагнитной активности на разных фазах магнитной бури в ноябре 2004 г. // Геомагнетизм и Аэрономия. 2020. Т. 60. № 3. С. 281–292. https://doi.org/10.31857/S0016794020020145
- Adriani O., Barbarino G.C., Bazilevskaya G.N. et al. PAMEL-A’s measurements of geomagnetic cutoff variations during the 14 December 2006 storm // Space weather. 2016. V. 14. № 3. https://doi.org/10.1002/2016SW001364
- Shen C., Xu M., Wang Y. et al.. Why the Shock-ICME Complex Structure Is Important: Learning from the Early 2017 September CMEs // The Astrophysical Journal. 2018. V. 861. № 1. pp. 861–960. https://doi.org/10.3847/1538-4357/aac204
- Scolini C., Chane E., Temmer M. et al. CME-CME Interactions as Sources of CME Geoeffectiveness: The Formation of the Complex Ejecta and Intense Geomagnetic Storm in 2017 Early September // Astrophysical Journal Supplement Series. 2020. V. 247(1). https://doi.org/10.3847/1538-4365/ab6216
Supplementary files






