The Optimal Control by the Thrust Vector of Air-Breathing Electric Propulsion to Maximize the Apogee Altitude of Orbit with an Ultra-Low Perigee
- Authors: Filatyev A.S.1,2, Yanova O.V.2,3
-
Affiliations:
- Moscow State University, 119991, Moscow, Russia
- Moscow Aviation Institute, 125080, Moscow, Russia
- Zhukovsky Central Aerohydrodynamic Institute, 140181, Zhukovsky, Moscow oblast, Russia
- Issue: Vol 61, No 2 (2023)
- Pages: 163-176
- Section: Articles
- URL: https://journal-vniispk.ru/0023-4206/article/view/137346
- DOI: https://doi.org/10.31857/S0023420622600222
- EDN: https://elibrary.ru/LTTYMJ
- ID: 137346
Cite item
Full Text
Abstract
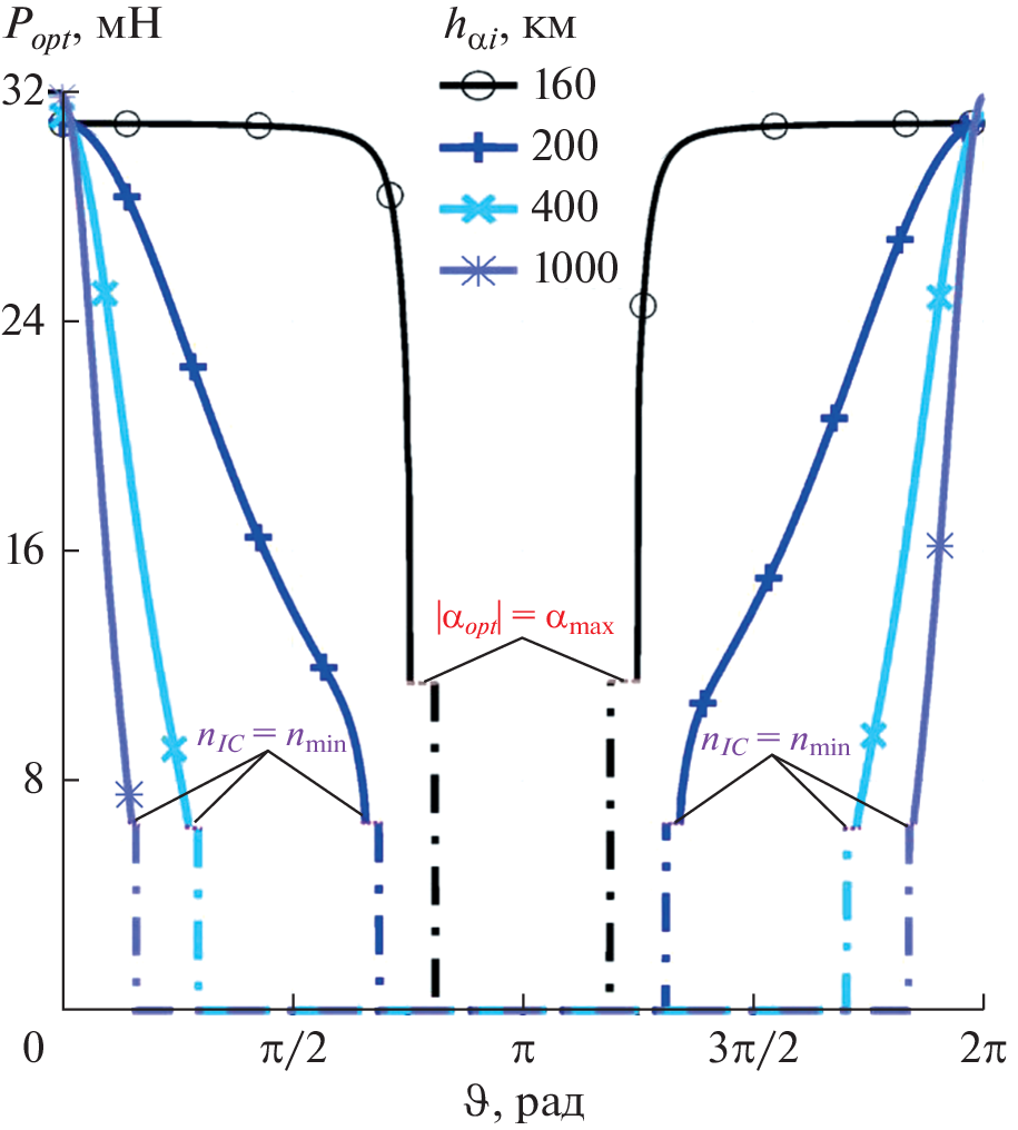
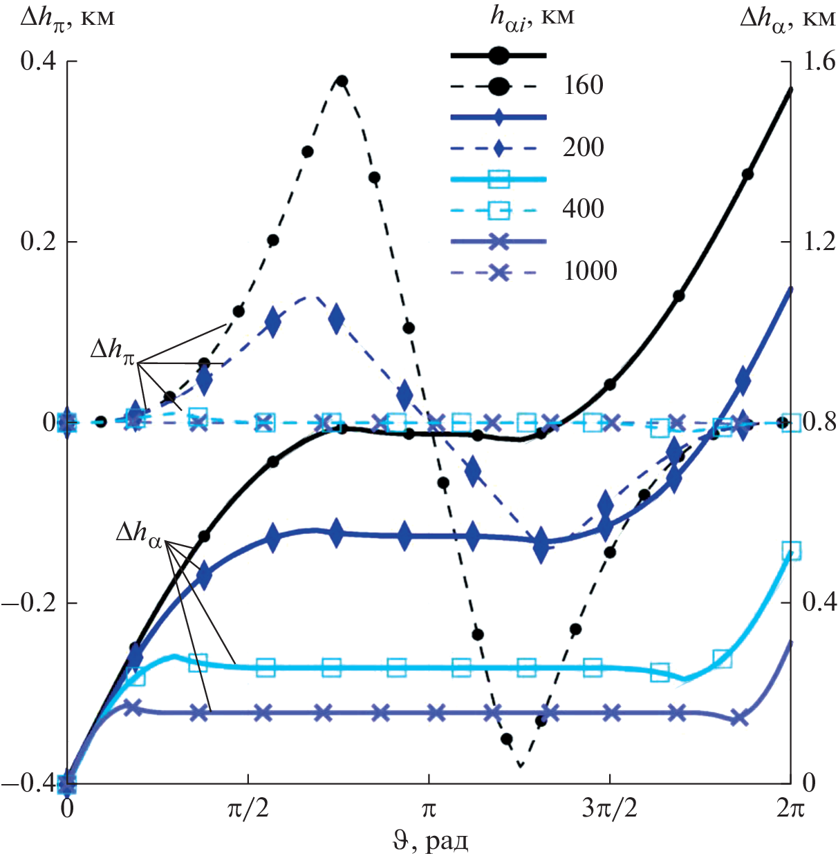
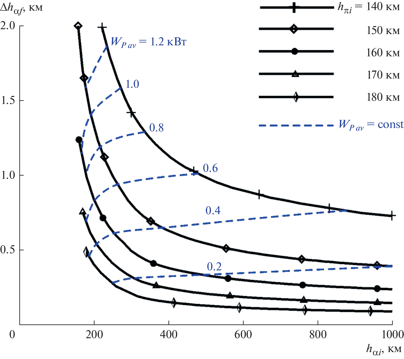
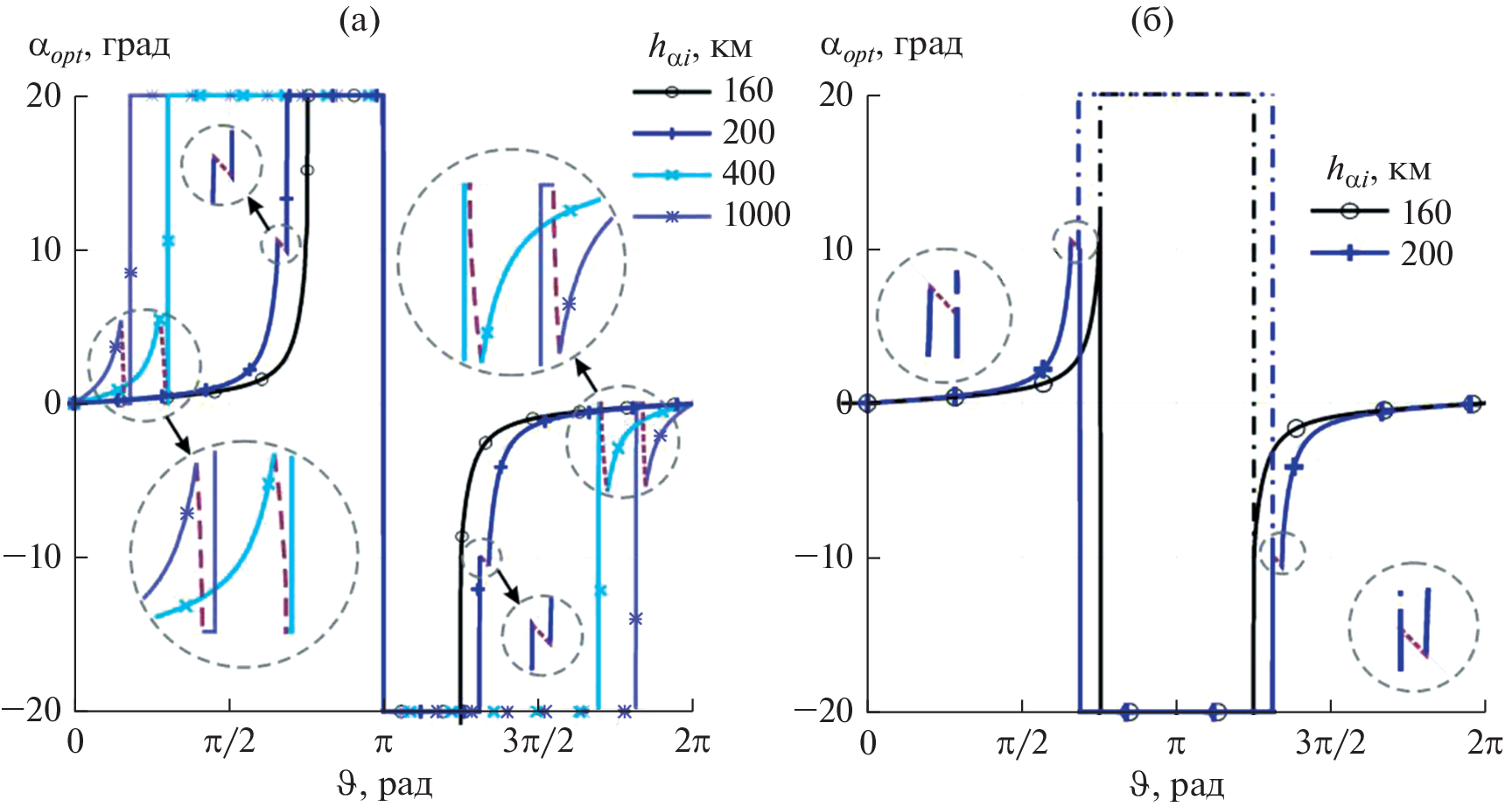
The problem of changing the apogee altitude of orbits with ultralow perigee (altitude 120–250 km) is considered. To compensate for the aerodynamic drag of the spacecraft, an air-breathing electric propulsion (ABEP) is used, the fuel for which is the gases of the outboard atmosphere. The decrease in the efficiency of an ABEP with an increase in the angle of attack and the possibility of ABEP operation only at a sufficient gas concentration in the ionization chamber are taken into account. The problem is solved on the basis of the Pontryagin maximum principle under the assumption that the aerodynamic drag and thrust are small compared to the gravitational forces. The results of studies of optimal programs for controlling the thrust vector of an ABEP depending on the parameters of the orbit, the layout of the spacecraft, the engine, and the power of the energy source are presented.
About the authors
A. S. Filatyev
Moscow State University, 119991, Moscow, Russia; Moscow Aviation Institute, 125080, Moscow, Russia
Email: yanova2007@yandex.ru
Россия, Москва; Россия, Москва
O. V. Yanova
Moscow Aviation Institute, 125080, Moscow, Russia; Zhukovsky Central Aerohydrodynamic Institute, 140181, Zhukovsky, Moscow oblast, Russia
Author for correspondence.
Email: yanova2007@yandex.ru
Россия, Москва; Россия, Московская обл., Жуковский
References
- Гродзовский Г.Л., Иванов Ю.Н., Токарев В.В. Механика космического полета с малой тягой. М.: Наука, 1966.
- Маров М.Я., Филатьев А.С. Комплексные исследования электрореактивных двигателей при полетах в ионосфере Земли: К 50-летию Государственной программы “Янтарь” // Косм. исслед. 2018. Т. 56. № 2. С. 137–144. https://doi.org/10.7868/S0023420618020061 (Cosmic Research. 2018. Т. 56. № 2. P. 123–129).10.7868/S0023420618020061
- Virgili J., Roberts P.C.E., Palmer K. et al. Very Low Earth Orbit mission concepts for Earth Observation: Benefits and challenges // Proc. 12th Reinventing Space Conf. London, UK. 2014. BIS-RS-2014-37.
- Filatyev A.S., Golikov A.A., Nosachev L.V. et al. Spacecraft with air-breathing electric propulsion as the future ultra-speed aircraft // Proc. 71th Intern. Astronautical Congress. The CyberSpace Edition. 1–5 Oct. 2020. IAC-20-C4.6.8.
- Dolgich A. Soviet Studies on Low-Thrust Orbital Propellant-Scooping Systems // Foreign Sciebce Bull. 1969. V. 5. № 7. P. 1–9.
- Цой Э.П. Выбор оптимальной программы управления тягой накопителя рабочего вещества в нестационарном режиме // Тр. ЦАГИ. 1968. Вып. 1145.
- Шумилкин В.Г. Управление тягой орбитального аппарата с двигателем ограниченной мощности при полете с накоплением атмосферного воздуха // Ученые записки ЦАГИ. 1976. Т. 7. № 2. С. 81–87.
- Romano F. et al. System Analysis and Test-Bed for an Atmosphere-Breathing Electric Propulsion System Using an Inductive Plasma Thruster // Proc. 68th Intern. Astronautical Congress. Adelaide, Australia, 25–29 Sept. 2017. IAC-17-C4.6.5.
- Rock B.St., Blandino J.J., Demetriou M.A. Propulsion Requirements for Drag-Free Operation of Spacecraft in Low Earth Orbit // J. Spacecraft and Rockets. 2006. V. 43. № 3. P. 594–606. https://doi.org/10.2514/1.15819
- Marchetti P., Blandino J.J., Demetriou M.A. Electric Propulsion and Controller Design for Drag-Free Spacecraft Operation // J. Spacecraft and Rockets. 2008. V. 45. № 6. P. 1303–1315. https://doi.org/10.2514/1.36307
- Becedas J., González G., Domínguez R.M. et al. Aerodynamic Technologies for Earth Observation Missions in Very Low earth Orbit. A: Reinventing Space Conference // Proc. 16th Reinventing Space Conf. (RISpace). London, UK, 30 Oct. – 1 Nov. 2018. P. 1–10.
- Filatyev A.S., Erofeev A.I., Yanova O.V. et al. Physical Grounds and Control Optimization of Low-Orbit Spacecraft with Electric Ramjet // Proc. 68th Intern. Astronautical Congress. Adelaide, Australia, 25–29 Sept. 2017. IAC-17-C4.IP.51.
- Barral S., Cifali G., Albertoni R. et al. Conceptual Design of an Air-Breathing Electric Propulsion System // Proc. 34th Intern. Electric Propulsion Conf. Kobe, Japan, 4–10 July 2015. IEPC-2015-271.
- Понтрягин Л.С., Болтянский В.Г., Гамкрелидзе Р.В., Мищенко Е.Ф. Математическая теория оптимальных процессов. М.: Наука, 1969.
- Filatyev A.S., Yanova O.V. On the optimal use of electric ramjet for low-orbit spacecraft // Procedia Engineering. 2017. V. 185. P. 173–181. https://doi.org/10.1016/j.proeng.2017.03.299
- Filatyev A.S., Erofeev A.I., Nikiforov A.P. et al. Comparative evaluation of the applicability of electrical ramjets // Proc. 58th Israel Annual Conf. Aerospace Science. WeL1T4.3. Tel-Aviv, Haifa, Israel, 14–15 Mar. 2018. P. 503–519. http://toc.proceedings.com/ 37020webtoc.pdf.
- Filatyev A.S., Yanova O.V. The control optimization of low-orbit spacecraft with electric ramjet // Acta Astronautica. 2019. V. 158. P. 23–31.
- Yanova O.V., Filatyev A.S. Synthesis of the optimal control of spacecraft with air-breathing electric propulsion in orbits with ultra-low perigee in view of dependence of the engine efficiency on angle of attack // Proc. 71th Intern. Astronautical Congress. The CyberSpace Edition. 1–5 Oct. 2020. IAC-20-C1.5.1.
- Ерофеев А.И., Никифоров А.П., Плугин В.В. Экспериментальные исследования воздухозаборника в свободномолекулярном потоке газа // Ученые записки ЦАГИ. 2017. Т. 48. № 3. С. 56–69.
- Ерофеев А.И., Никифоров А.П., Плугин В.В. Моделирование процессов в воздухозаборнике для низкоорбитальных космических аппаратов в вакуумной аэродинамической трубе // Актуальные вопросы проектирования автомат. космич. аппаратов для фундам. и прикладных науч. исслед.: сб. тр. конф. Вып. 2. Химки: Изд-во “НПО им. С.А. Лавочкина”. 2017. С. 365–374.
- Охоцимский Д.Е., Сихарулидзе Ю.Г. Основы механики космического полета. М.: Наука. Гл. ред. физ.-мат. лит., 1990.
- Мирер С.А. Механика космического полета. Орбитальное движение. М.: Резолит, 2007.
- Fearn D.G. Ion thruster thrust vectoring requirements and techniques // 27th Intern. Electric Propulsion Conf. Pasadena, CA. 15–19 Oct. 2001. IEPC-01-115.
- Munoz V., González D., Becedas J. et al. Attitude control for satellites flying in VLEO using aerodynamic surfaces // J. British Interplanetary Society. 2020. V. 73. № 3. P. 103–112.
- Prieto D.M., Graziano B.P., Roberts P.C.E. Spacecraft drag modelling // Progress in Aerospace Sciences. 2014. V. 64. P. 56–65. https://doi.org/10.1016/j.paerosci.2013.09.001
- Livadiotti S., Crisp N.H., Robert P.C.E. et al. A review of gas-surface interaction models for orbital aerodynamics applications // Progress in Aerospace Sciences. 2020. V. 119. Art. № 100675. https://doi.org/10.1016/j.paerosci.2020.100675
- Mehta P.M., Walker A., McLaughlin C.A., Koller J. Comparing Physical Drag Coefficients Computed Using Different Gas–Surface Interaction Models // J. Spacecraft and Rockets. 2014. V. 51. № 3. P. 873–883. https://doi.org/10.2514/1.A32566
- Koppenwallner G. Satellite Aerodynamics and Determination of Thermospheric Density and Wind // AIP Conf. Proc. 2011. V. 1333. P. 1307–1312. https://doi.org/10.1063/1.3562824
- Moe K., Moe M.M. Gas-surface interactions and satellite drag coefficients // Planetary and Space Science. 2005. V. 53. P. 793–801. https://doi.org/10.1016/j.pss.2005.03.005
- Koppenwallner G. Comment on special section: new perspectives on the satellite drag environments of Earth, Mars, and Venus // J. Spacecraft and Rockets. 2008. V. 45. № 6. P. 1324–1327. https://doi.org/10.2514/1.37539
- Sutton E.K. Normalized Force Coefficients for Satellites with Elongated Shapes // J. Spacecraft and Rockets. 2009. V. 46. № 1. P. 112–116. https://doi.org/10.2514/1.40940
- Doornbos E. Thermospheric Density and Wind Determination from Satellite Dynamics. Book Ser.: Springer Theses. 2012. https://link.springer.com/book/10.1007/ 978-3-642-25129-0
- Golikov A.A., Filatyev A.S. Integrated optimization of trajectories and layout parameters of spacecraft with air-breathing electric propulsion // Acta Astronautica. 2022. V. 193. P. 644–652. https://doi.org/10.1016/j.actaastro.2021.06.052
Supplementary files














