Evolution of Rotational Motion of the Planet Earth under the Influence of Internal Dissipative Forces
- Authors: Amelkin N.I.1
-
Affiliations:
- Moscow Institute of Physics and Technology, 141701, Moscow, Russia
- Issue: Vol 61, No 6 (2023)
- Pages: 486-497
- Section: Articles
- URL: https://journal-vniispk.ru/0023-4206/article/view/231818
- DOI: https://doi.org/10.31857/S0023420623600162
- EDN: https://elibrary.ru/CDEVXC
- ID: 231818
Cite item
Full Text
Abstract
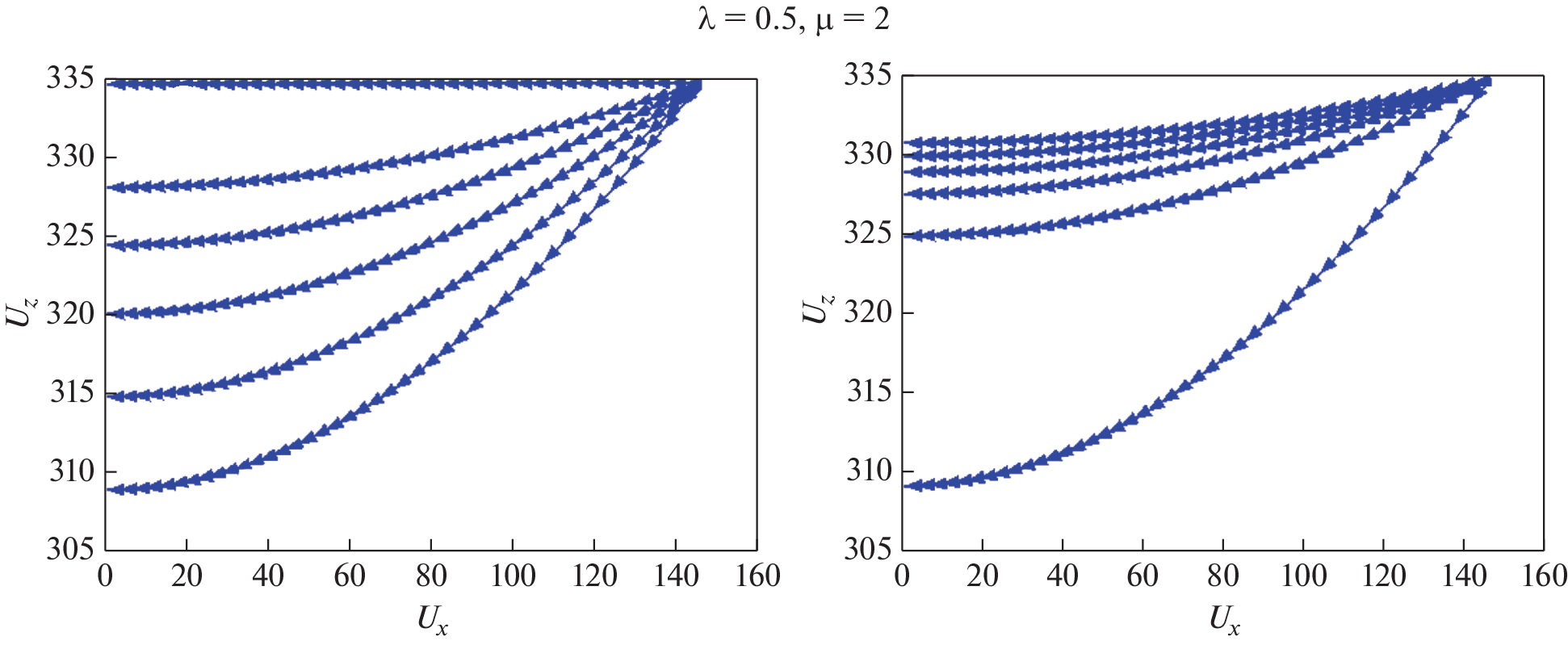
The influence of internal dissipation on the rotational motion of the Earth in the gravitational field of the Sun and Moon is studied within the model of M.A. Lavrentiev. The averaged equations of second approximation describing the evolution of the Earth’s rotation axis and the magnitude of its angular velocity are obtained. The dependence of the rate of evolution on the values of the model parameters is studied. Phase trajectories of the evolutionary process are constructed for different parameter values. It is shown that the observed drift of the Earth’s magnetic poles can be explained within the framework of a mechanical model by the angular acceleration of the Earth.
About the authors
N. I. Amelkin
Moscow Institute of Physics and Technology, 141701, Moscow, Russia
Author for correspondence.
Email: namelkin@mail.ru
Россия, Москва
References
- Белецкий В.В. Движение спутника относительно центра масс в гравитационном поле. М.: Изд-во МГУ, 1975. 308 с.
- Моисеев Н.Н., Румянцев В.В. Динамика тела с полостями, содержащими жидкость. М.: Наука, 1965. 439 с.
- Черноусько Ф.Л. Движение твердого тела с полостями, содержащими вязкую жидкость. М.: Вычисл. центр АН СССР, 1968. 232 с.
- Сидоренко В.В. Эволюция вращательного движения планеты с жидким ядром // Астроном. вестник. 1993. Т. 27. № 2. С. 119–127.
- Черноусько Ф.Л. О движении твердого тела, содержащего сферический демпфер // Приклад. механика и техн. физика. 1968. № 1. С. 73–79.
- Амелькин Н.И. Об асимптотических свойствах движений спутников в центральном поле, обусловленных внутренней диссипацией // Прикладная математика и механика. 2011. Т. 75. № 2. С. 204–223.
- Амелькин Н.И., Холощак В.В. Об устойчивости стационарных вращений спутника с внутренним демпфированием в центральном гравитационном поле // Прикладная математика и механика. 2017. Т. 81. № 2. С. 123–136.
- Амелькин Н.И., Холощак В.В. Эволюция вращательного движения динамически симметричного спутника с внутренним демпфированием на круговой орбите // Прикладная математика и механика. 2019. Т. 83. № 1. С. 3–15. https://doi.org/10.1134/S0032823519010016
- Амелькин Н.И., Холощак В.В. Вращательное движение несимметричного спутника с демпфером на круговой орбите // Прикладная математика и механика. 2019. Т. 83. № 1. С. 16–31. https://doi.org/10.1134/S0032823519010028
- Амелькин Н.И. Эволюция вращательного движения планеты на круговой орбите под влиянием внутренних упругих и диссипативных сил // Известия Российской академии наук. Механика твердого тела. 2020. № 2. С. 96–111. https://doi.org/10.31857/S0572329920020038
- Манк У., Макдональд Г. Вращение Земли. М.: Мир, 1964. 385 с.
- Альвен Х., Аррениус Г. Эволюция солнечной системы. М.: Мир, 1979. 512 с.
- Мюррей К., Дермотт С. Динамика Солнечной системы. М.: Физматлит, 2010. 588 с.
- Вильке В.Г., Копылов С.А., Марков Ю.Г. Эволюция вращательного движения вязкоупругого шара в центральном ньютоновском поле сил // Прикладная математика и механика. 1985. Т. 49. № 1. С. 25–34.
- Джеффрис Г. Земля, ее происхождение, история и строение: пер. с 4-го англ. изд; под ред. Кейлис-Борока В.И., Магницкого В.А. М.: Иностр. лит., 1960. 485 с.
- Боголюбов Н.Н., Митропольский Ю.А. Асимптотические методы в теории нелинейных колебаний. М.: Наука, 1974. 503 с.
- Журавлев В.Ф., Климов Д.М. Прикладные методы в теории колебаний. М.: Наука, 1988. 326 с.
- Тихонов А.Н. Системы дифференциальных уравнений, содержащие малые параметры при производных // Матем. сб. 1952. Т. 31(73). № 3. С. 575–586.
- Alken P., Th’ebault E., Beggan C. et al. International geomagnetic reference field: the thirteenth generation // Earth, Planets and Space. 2021. V. 73. Iss. 1. Art. ID. 49. 25 p. https://doi.org/10.1186/s40623-020-01288-x
Supplementary files







