Радиационная стойкость покрытия для космических аппаратов, полученного принтерной печатью
- Authors: Михайлов М.М.1, Артищев С.А.1, Лапин А.Н.1, Юрьев С.А.1, Горончко В.А.1, Труфанова Н.С.1, Михайлова О.А.1, Федосов Д.С.1
-
Affiliations:
- Томский государственный университет систем управления и радиоэлектроники
- Issue: Vol 62, No 3 (2024)
- Pages: 249-253
- Section: Articles
- URL: https://journal-vniispk.ru/0023-4206/article/view/271734
- DOI: https://doi.org/10.31857/S0023420624030023
- EDN: https://elibrary.ru/JKKZAW
- ID: 271734
Cite item
Full Text
Abstract
Представлены результаты исследований изменений спектров диффузного отражения и интегрального коэффициента поглощения солнечной радиации (as) терморегулирующего покрытия класса “Оптические солнечные отражатели” для космических аппаратов при облучении электронами. Диэлектрическую керамическую пасту, состоящую из наполнителя — измельченного поликора (Al2O3) и растворителя с загустителем (терпинеол с этилцеллюлозой), наносили 3D-принтером на подложку. Затем осуществляли прогрев при 150 °C и отжиг при 850 °C, получали “белое” покрытие с высоким коэффициентом отражения и малым коэффициентом поглощения as, удовлетворяющим требованиям и стандартам терморегулирующего покрытия рассматриваемого класса. Радиационная стойкость полученного покрытия на основе диэлектрической керамической пасты сравнима со стойкостью высокостабильного покрытия на основе пигмента ZnO с жидким литиевым стеклом и значительно выше стойкости плазменнонапыленного покрытия — шпинели MgAl2O4.
Full Text
ВВЕДЕНИЕ
Космическая отрасль на протяжении более 60 лет нуждалась и в настоящее время нуждается в высокостабильных к действию излучений космического пространства (КП) терморегулирующих покрытиях. Такое положение не указывает на плохое качество разработанных за эти годы терморегулирующих покрытий (ТРП) — такие ТРП были и в настоящее время существуют [1, 2], но требования к ним повышаются. Если в первые десятилетия освоения КП значение коэффициента поглощения as — основной рабочей характеристики ТРП класса “Оптические солнечные отражатели” (ОСО), при as = 0.2, являлось вполне удовлетворительным, то в 20–30-х гг. XXI века оно должно быть меньше [3]. Это связано как с уменьшением размеров и веса радиаторов терморегулирования в космических аппаратах (КА), так и с увеличением сроков их орбитальных полетов. Вторым требованием является высокая фото- и радиационная стойкость таких ТРП и малое изменение коэффициента поглощения as при все увеличивающихся сроках активного существования КА.
В настоящее время существует отдельная проблема обеспечения нормального теплового режима приборов и устройств малых космических аппаратов. Проблема вызвана их малыми размерами и весом, и возросшими требованиями к системе пассивного терморегулирования.
Целью настоящей работы является исследование радиационной стойкости ТРП для космических аппаратов класса ОСО, полученного из пасты, нанесенной на подложку 3D-принтером.
МЕТОДИКА ЭКСПЕРИМЕНТА
Диэлектрическая керамическая паста (ДКП) была изготовлена на основе порошка Al2O3. Его измельчение происходило в планетарной микромельнице PULVERISETTE7 Premium Line в две стадии: сначала 6 мин со скоростью 850 об/мин, затем 4 минуты со скоростью 1000 об/мин. В состав пасты было добавлено стекло С52–1 для обеспечения адгезии пленки к подложке. В качестве органического связующего использовалась этилцеллюлоза в терпинеоле. Процентное соотношение компонентов в пасте (порошок Al2O3: стекло С52–1: этилцеллюлоза в терпинеоле) составляло 68:2:30. Смешивание компонентов пасты осуществлялось в мельнице Fritsch PULVERISETTE7 Premium Line. Сначала в течение 5 мин со скоростью 850 об/мин смешивались порошки Al2O3 и С52–1. Затем после добавления органического связующего смесь перемешивалась 60 мин с такой же скоростью.
Образцы печатали на 3D-принтере для печатных плат Voltera V-One. После печати их для сглаживания рельефа выдерживали при температуре 22 °C в течение 10 мин, затем сушили при температуре 150 °C в течение 15 мин. Отжиг паст проходил в течение 60 мин, время выдержки при максимальной температуре 850 °C составляло 10 мин.
Гранулометрический состав порошка поликора исследовали в диапазоне 0.1–40 мкм лазерным анализатором частиц. Зарегистрировано четыре максимума распределения при 0.39, 0.76, 1.9 и 11 мкм. С увеличением размера частиц интенсивность пиков возрастала. Средний размер частиц составил 4.82 мкм. Спектры диффузного отражения регистрировались в вакууме, на месте облучения образцов (in situ) в имитаторе условий КП “Спектр” [4]. Интегральный коэффициент поглощения солнечного излучения рассчитывался по спектрам диффузного отражения с использованием международных стандартов [5, 6].
ЭКСПЕРИМЕНТАЛЬНЫЕ РЕЗУЛЬТАТЫ И ОБСУЖДЕНИЕ
Исследования инфракрасных спектров поглощения
Исследование ИК-спектров сырой пасты показали (рис. 1) наличие полос поглощения при 470, 690, 800, 1070, 1285, 1460, 1730, 2355 и 2915 см–1. Наиболее интенсивными являются полосы при 470, 690, 800, 1070 см–1. Полосы при 470 и 1070 могут быть отнесены к характеристическим полосам поглощения связи Al — O в α-Al2O3 [7, 8]. В области от 600 см–1 до 800 см–1 полосы поглощения соответствуют деформационным и валентным колебаниям Al2O3 [9]. Полоса при 2355 см–1 относится к колебаниям CO2 [10], полосы при 1285 и 1460 см–1 соответствуют деформационным колебаниям H2O [11]. Прогрев и дальнейший отжиг пасты приводят к уменьшению интенсивности и исчезновению полос поглощения, обусловленных колебаниями молекул воды и диоксида углерода. В спектрах остаются только полосы, обусловленные колебаниями молекул Al2O3. Поэтому можно заключить, что нанесенная на подложку паста ДКП после ее прогрева и отжига представляет собой ТРП, состоящее только из оксида алюминия.
Рис. 1. ИК-спектры поглощения диэлектрической пасты: сырой (а); после 15 мин высушивания при 150 °C (б); после отжига в течение 10 мин при 850 °C (в)
Исследование спектра диффузного отражения и его изменение при облучении
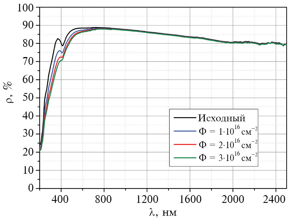
Из спектра диффузного отражения исходного порошка Al2O3 следует, что край основного поглощения имеет два значения при 168 и 195 нм (рис. 2). С увеличением длины волны коэффициент отражения увеличивается до 82 %. Затем регистрируется провал при 412 нм. Предположительно, он может быть связан с термической ионизацией междоузельных атомов при прогреве пасты с образованием ионов алюминия, полоса поглощения которых находится в этой области. Аналогичный процесс ранее регистрировали при прогреве порошка оксида цинка [12]. В области 500–800 нм коэффициент отражения достигает максимального значения, равного 89 %. С увеличением длины волны он не значительно уменьшается и при λ = 2500 нм составляет 80 %.
Рис. 2. Спектры диффузного отражения ТРП, изготовленного из диэлектрической пасты до и после облучения электронами
После облучения электронами с энергией 30 кэВ коэффициент отражения уменьшается в области от края основного поглощения и до 800 нм. В более длинноволновой области он не изменяется.
В разностных спектрах диффузного отражения (∆ρλ), получаемых вычитанием из спектра до облучения (ρλо) спектров после облучения образцов (ρλф) регистрируются полосы при 254, 303, 346 и 452 нм (рис. 3). Эти полосы являются полосами поглощения, наведенного облучением. Они определяются собственными радиационными дефектами, образованными в покрытии из Al2O3 при облучении. Такими дефектами могут быть: F22+-центры (452 нм –2.74 эВ), VAl′ (346 нм –3.58 эВ), Vo (303 нм –4.09 эВ), Ali (254 нм –4.88 эВ), описанные в работах [13–17]. При ионизационном механизме [18] при облучении электронами с энергией 30 кэВ в обеих подрешетках оксида алюминия образуются вакансии алюминия и кислорода и междоузельные ионы в различном зарядовом состоянии. Наиболее интенсивными являются полосы поглощения вакансий алюминия и кислорода.
Рис. 3. Разностные спектры диффузного отражения ТРП, изготовленного из диэлектрической пасты ДКП после облучения электронами
Исследование интегрального коэффициента поглощения
Интегральный коэффициент поглощения солнечного излучения as показывает, какую долю энергии солнечного потока поглощает данный материал, данное покрытие. И если ТРП предназначено для отражения этого потока, т. е. оно относится к классу ОСО, то задачей разработчиков является уменьшение значения as. В процессе орбитального полета КА на ТРП действуют различные виды излучений, что приводит к образованию дефектов, появлению полос поглощения и уменьшению коэффициента отражения в различных областях спектра.
Интегральный коэффициент поглощения включает в себя все эти полосы поглощения, нормированные на спектр излучения Солнца, поэтому он является рабочей характеристикой ТРП.
Для исходного покрытия его значение равно 0.143, что является удовлетворительным значением для ТРП класса ОСО. После облучения флюенсом электронов (1, 2 и 3) ·1016 см–2 с энергией 30 кэВ он увеличивается до 0.158, 0.167 и 0.173 соответственно (рис. 4).
Рис. 4. Зависимость изменений коэффициента поглощения (∆as) ТРП, изготовленного из пасты ДКП, от флюенса при облучении электронами с энергией 30 кэВ
Увеличение коэффициента поглощения составляет 0.015, 0.024 и 0.03 для флюенса электронов (1, 2 и 3) ·1016 см–2 соответственно. Эти величины показывают высокую радиационную стойкость разрабатываемого покрытия. Их сравнение проводили со значениями, полученными ранее для современного перспективного ТРП на основе пигмента ZnO и неорганического связующего — литиевого жидкого стекла Li2SiO3 [19]. При одинаковых условиях облучения (Р = 1·10–6 торр, Т = 300 °C, φ = 5·1012 см–2 с–1) значения ∆as отличаются незначительно (табл. 1).
Таблица. Зависимость коэффициента поглощения as и его изменений ∆as после облучения электронами различных терморегулирующих покрытий от флюенса электронов
Покрытие | Коэффициент | Φ, ×1016 см–2 | |||
Исходный | 1 | 2 | 3 | ||
Диэлектрическая керамическая паста | as | 0.143 | 0.158 | 0.167 | 0.173 |
∆as | 0 | 0.015 | 0.024 | 0.03 | |
Li2SiO3 + ZnO | as | 0.136 | 0.152 | 0.159 | 0.162 |
∆as | 0 | 0.016 | 0.023 | 0.026 | |
MgAl2O4 | as | 0.16 | 0.217 | 0.235 | 0.248 |
∆as | 0 | 0.057 | 0.075 | 0.088 | |
ЗАКЛЮЧЕНИЕ
В настоящей работе представлены результаты исследований, направленные на получение терморегулирующего покрытия класса “оптические солнечные отражатели” новым методом с использованием 3D-принтера. Приведены результаты исследования оптических свойств и радиационной стойкости ТРП, полученного из приготовленной диэлектрической керамической пасты.
Установлено, что и по исходному значению основной рабочей характеристики — интегрального коэффициента поглощения солнечного излучения, и его изменению при облучении, данное покрытие отвечает требованиям ТРП класса “Оптические солнечные отражатели”. Сравнение по этим характеристикам с их параметрами для перспективного ТРП на основе пигмента оксида цинка и связующего литиевого жидкого стекла показало их близкие значения. Сравнение с этими характеристиками шпинели MgAl2O4, напыленной на подложку плазменным способом и облученной электронами в таких же условиях [20], показывает более высокую радиационную стойкость оптических свойств разрабатываемого покрытия из пасты ДКП.
Можно заключить, что разрабатываемое ТРП, созданное путем нанесения 3D-принтером на подложку диэлектрической пасты ДКП и последующего ее прогрева и отжига, обладает значениями исходного интегрального коэффициента поглощения as и его радиационной стойкости, соответствующими требованиям, предъявляемым в настоящее время к таким покрытиям. С учетом широких возможностей нанесения такой пасты 3D-принтером на поверхности различной конфигурации и различных размеров, можно ожидать практическое использование такой ТРП в космической отрасли.
ФИНАНСИРОВАНИЕ РАБОТЫ
Работа выполнена при финансовой поддержке Министерства науки и высшего образования Российской Федерации в рамках проекта FEWM-2022–0005.
КОНФЛИКТ ИНТЕРЕСОВ
Авторы данной работы заявляют, что у них нет конфликта интересов.
About the authors
М. М. Михайлов
Томский государственный университет систем управления и радиоэлектроники
Email: yusalek@gmail.com
Russian Federation, Томск
С. А. Артищев
Томский государственный университет систем управления и радиоэлектроники
Email: yusalek@gmail.com
Russian Federation, Томск
А. Н. Лапин
Томский государственный университет систем управления и радиоэлектроники
Email: yusalek@gmail.com
Russian Federation, Томск
С. А. Юрьев
Томский государственный университет систем управления и радиоэлектроники
Author for correspondence.
Email: yusalek@gmail.com
Russian Federation, Томск
В. А. Горончко
Томский государственный университет систем управления и радиоэлектроники
Email: yusalek@gmail.com
Russian Federation, Томск
Н. С. Труфанова
Томский государственный университет систем управления и радиоэлектроники
Email: yusalek@gmail.com
Russian Federation, Томск
О. А. Михайлова
Томский государственный университет систем управления и радиоэлектроники
Email: yusalek@gmail.com
Russian Federation, Томск
Д. С. Федосов
Томский государственный университет систем управления и радиоэлектроники
Email: yusalek@gmail.com
Russian Federation, Томск
References
- Kauder L. Spacecraft Thermal Control Coatings References. 2005. NASA Technical Publication 20070014757. https://ntrs.nasa.gov/citations/20070014757
- Михайлов М. М. Спектры отражения терморегулирующих покрытий космических аппаратов. Т. 1. Томск: Изд-во Томского ун-та, 2007. 314 с.
- Yanchao X., Hong G., Ming W. et al. Review of Spacecraft Thermal Control Materials and Applications // Materials Reports. 2022. V. 36. Iss. 22. Art. ID. 22050193–6.
- Kositsyn L. G., Mikhailov M. M., Kuznetsov N. Y. et al. Apparatus for study of Diffuse — Reflection and Luminescence Spectra of Solids in Vacuum // Instruments and Experimental Techniques. 1985. V. 28. P. 929–932.
- ASTM E490–00a(2019) Standard Solar Constant and Zero Air Mass Solar Spectral Irradiance Tables, 2022. https://www.astm.org/e0490–00ar19.html.
- ASTM E903–12 Standard Test Method for Solar Absorptance, Reflectance, and Transmittance of Materials Using Integrating Spheres, 2012.
- Boumaza A., Djelloul A., Guerrab F. Specific signatures of α-alumina powders prepared by calcination of boehmite or gibbsite // Powder Technology. 2010. V. 201. P. 177–180. doi: 10.1016/j.powtec.2010.03.036.
- Hosseini S. A., Niaei A., Salari D. Production of γ-Al2O3 from Kaolin // Open J. Physical Chemistry. 2011. V. 1. P. 23–27. doi: 10.4236/OJPC.2011.12004.
- Roscoe J. M., Abbatt J. P.D. Diffuse Reflectance FTIR Study of the Interaction of Alumina Surfaces with Ozone and Water Vapor // J. Physical Chemistry A. 2005. V. 109. P. 9028–9034. doi: 10.1021/jp050766r.
- Clament Sagaya Selvam N., Thinesh Kumar R., John Kennedy L. et al. Comparative Study of Microwave and Conventional Methods for the Preparation and Optical Properties of Novel MgO-Micro and Nano-Structures // J. Alloys and Compounds. 2011. V. 509. P. 9809–9815. https://doi.org/10.1016/j.jallcom.2011.08.032.
- Stomp M., Huisman J., Stal L. J. et al. Colorful niches of phototrophic microorganisms shaped by vibrations of the water molecule // The ISME Journal. 2007. V. 1. P. 271–282.
- Mikhailov M. M. Change in activation energy of surface conduction in polycrystalline zinc oxide upon irradiation by electrons // Soviet Physics J. 1984. V. 27. P. 624–627.
- Kristianpoller N., Rehavi A., Shmilevich A. et al. Radiation effects in pure and doped Al2O3 crystals // Nuclear Instruments and methods in Physics Research. Section B. 1998. V. 141. P. 343–346. doi: 10.1016/S0168-583X(98)00096-2.
- Evans B. D., Pogatshnik G. J., Chen Y. Optical properties of lattice defects in α-Al2O3 // Nuclear Instruments and Methods in Physics Research. Section B. 1994. V. 91. P. 258–2 62.
- Watcharatharapong T., T-Thienprasert J., Limpijumnong S. Theoretical Study of Optical Properties of Native Point Defects in α-Al2O3 // Integrated Ferroelectrics. 2014. V. 156. P. 79–85. doi: 10.1080/10584587.2014.906290.
- Levy P. Color Centers and Radiation-Induced Defects in Al2O3 // Physical Review. 1961. V. 123. P. 1226–1233.
- Aluker E.D., Gavrilov V. V., Chernov S. A. Short-lived Frenkel defects in α-Al2O3 // Physica Status Solidi. Section B. 1992. V. 171. P. 283–288.
- Mikhailov M. M. Optical properties and radiation stability of Metal Oxide Powders modified with Nanoparticles. V. 6. Tomsk: Publ. House TUSUR, 2019. 312 p.
- Mikhailov M.M., Yuryev S. A., Lapin A. N. et al. Reflective thermal control coating for spacecraft based on ZnO pigment and Li2SiO3 silicate modified by SiO2 nanoparticles // Ceramics International. 2023. V. 49. P. 20817–20821. doi: 10.1016/j.ceramint.2023.03.214.
- Михайлов М. М. Спектры отражения терморегулирующих покрытий космических аппаратов. Т. 1. Томск: Изд-во Томского ун-та, 2010. 322 с.
Supplementary files






