PHASE COMPOSITION, STRUCTURE, AND MAGNETIC PROPERTIES OF Cd1–хZnхTe SOLID SOLUTIONS AT LOW Zn CONCENTRATIONS
- Authors: Podkur P.L.1,2, Volchkov I.S.1, Pavlyuk M.D.1, Kvartalov V.B.1, Morgunov R.B.3, Kanevskii V.M.1
-
Affiliations:
- Shubnikov Institute of Crystallography, Federal Scientific Research Centre “Crystallography and Photonics,” Russian Academy of Sciences, Moscow, 119333 Russia
- MIREA—Russian Technological University, Moscow, Russia
- Institute of Problems of Chemical Physics, Russian Academy of Sciences, Chernogolovka, Moscow oblast, 142432 Russia
- Issue: Vol 68, No 1 (2023)
- Pages: 51-57
- Section: ФИЗИЧЕСКИЕ СВОЙСТВА КРИСТАЛЛОВ
- URL: https://journal-vniispk.ru/0023-4761/article/view/137363
- DOI: https://doi.org/10.31857/S0023476123010216
- EDN: https://elibrary.ru/DQOFHG
- ID: 137363
Cite item
Full Text
Abstract
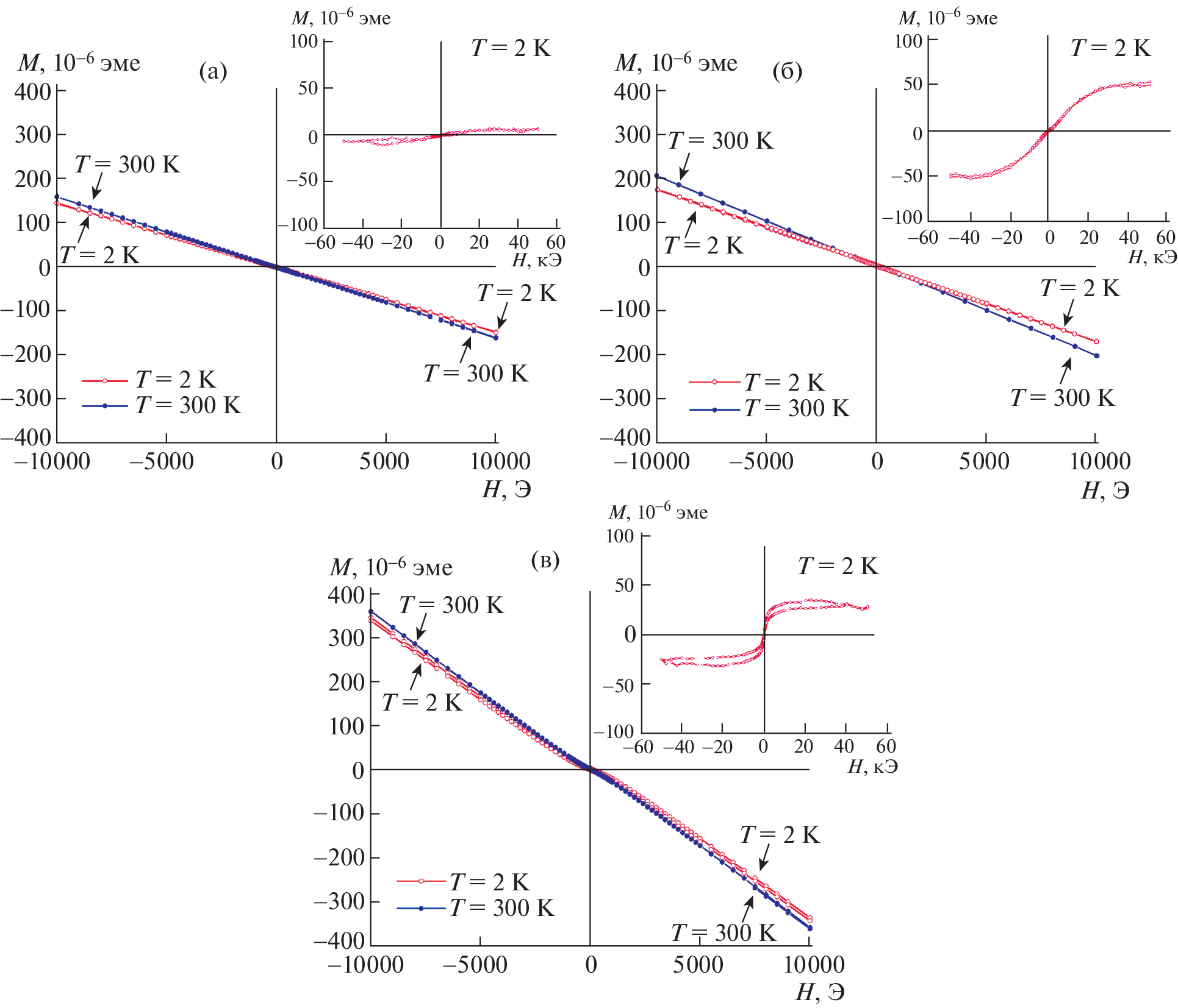
Polycrystalline Cd1–хZnхTe (x = 0.005, 0.03, 0.05) ingots have been obtained by the modified Obreimov–Shubnikov method. The selected single-crystal blocks are studied applying the X-ray diffraction analysis, measurement of electrical characteristics, and magnetometry. The concentration dependence of changes in the magnetic and electrical properties of crystals is investiga11ted. It is established that at Zn concentrations of x = 0.03 and 0.05 ferromagnetic ordering is observed in clusters (inclusions) containing iron and/or nickel at 2 K, which is not observed for Cd1–хZnхTe (x = 0.005) samples.
About the authors
P. L. Podkur
Shubnikov Institute of Crystallography, Federal Scientific Research Centre “Crystallography and Photonics,” Russian Academy of Sciences, Moscow, 119333 Russia; MIREA—Russian Technological University, Moscow, Russia
Email: volch2862@gmail.com
Россия, Москва; Россия, Москва
I. S. Volchkov
Shubnikov Institute of Crystallography, Federal Scientific Research Centre “Crystallography and Photonics,” Russian Academy of Sciences, Moscow, 119333 Russia
Email: volch2862@gmail.com
Россия, Москва
M. D. Pavlyuk
Shubnikov Institute of Crystallography, Federal Scientific Research Centre “Crystallography and Photonics,” Russian Academy of Sciences, Moscow, 119333 Russia
Email: volch2862@gmail.com
Россия, Москва
V. B. Kvartalov
Shubnikov Institute of Crystallography, Federal Scientific Research Centre “Crystallography and Photonics,” Russian Academy of Sciences, Moscow, 119333 Russia
Email: volch2862@gmail.com
Россия, Москва
R. B. Morgunov
Institute of Problems of Chemical Physics, Russian Academy of Sciences, Chernogolovka, Moscow oblast, 142432 Russia
Email: volch2862@gmail.com
Россия, Черноголовка
V. M. Kanevskii
Shubnikov Institute of Crystallography, Federal Scientific Research Centre “Crystallography and Photonics,” Russian Academy of Sciences, Moscow, 119333 Russia
Author for correspondence.
Email: volch2862@gmail.com
Россия, Москва
References
- Owens A., Peacock A. // Nucl. Instrum. Methods Phys. Res. A. 2004. V. 531. P. 18. https://doi.org/10.1016/j.nima.2004.05.071
- Takeda S. Experimental study of a Si/CdTe semiconductor Compton camera for the next generation of gamma-ray astronomy / Ph. D. Thesis. University of Tokyo. 2009.
- Hubbell J.H., Seltzer S.M. Tables of X-Ray Mass Attenuation Coefficients and Mass Energy-Absorption Coefficients from 1 keV to 20 MeV for Elements Z = 1 to 92 and 48 Additional Substances of Dosimetric Interest // National Institute of Standards and Technology. 2004. NISTIR 5632. https://doi.org/10.18434/T4D01F
- Del Sordo S., Abbene L., Caroli E. et al. // Sensors. 2009. V. 9 № 5. P. 3491. https://doi.org/10.3390/s90503491
- Duarte D.D. Edge effects in a pixelated CdTe radiation detector / Ph. D. Thesis. University of Surrey. 2016. https://doi.org/10.13140/RG.2.2.20470.86081
- Chaouai Z., Daniel G., Martinez J.M. et al. // Nucl. Instrum. Methods Phys. Res. A. 2022. V. 1033. P. 166670. https://doi.org/10.1016/j.nima.2022.166670
- Clements N., Richtsmeier D., Hart A., Bazalova-Carter M. // J. Instrumentation. 2022. V. 17. P. 1004. https://doi.org/10.1088/1748-0221/17/01/P01004
- Brombal L., Donato S., Brun F. et al. // J. Synchrotron Radiat. 2018. V. 25. P. 1068. https://doi.org/10.1107/S1600577518006197
- Chen Y., Wang X., Song Q. et al. // AIP Adv. 2018. V. 8. P. 105113. https://doi.org/10.1063/1.5052027
- Krucker S., Benz A.O., Hurfordal G.J. et al. // Nucl. Instrum. Methods Phys. Res. A. 2013. V. 732. P. 295. https://doi.org/10.1016/j.nima.2013.05.050
- Krause L., Tolborg K., Gronbech T.B.E. et al. // J. Appl. Cryst. 2020. V. 53. P. 635. https://doi.org/10.1107/S1600576720003775
- Павлюк М.Д. Дис. “Детекторные кристаллы на основе CdTe и Cd1 – xZnxTe для прямого счета рентгеновских и гамма-квантов”… канд. физ.-мат. наук. М.: ФНИЦ “Кристаллография и фотоника” РАН, 2020.
- Шалдин Ю.В., Вархульска И., Рабаданов М.Х., Комарь В.К. // Физика и техника полупроводников. 2004. Т. 38. С. 300.
- Raiss A.A., Sbai Y., Bahmad L., Benyoussef A. // J. Magn. Magn. Mater. 2015. V. 385. P. 295. https://doi.org/10.1016/j.jmmm.2015.02.077
- Goumrhar F., Bahmad L., Mounkachi O., Benyoussef A. // J. Magn. Magn. Mater. 2017. V. 428. P. 368. https://doi.org/10.1016/j.jmmm.2016.12.041
- Chavan K.T., Chandra S., Kshirsagar A. // Mater. Today Commun. 2022. V. 30. P. 103104. https://doi.org/10.1016/j.mtcomm.2021.103104
- Allahgholi A., Becker J., Delfs A. et al. // Nucl. Instrum. Methods Phys. Res. A. 2019. V. 942. P. 1. https://doi.org/10.1016/j.nima.2019.06.065
- Zerrai A., Cherkaoui K., Marrakchi G. et al. // J. Cryst. Growth. 1999. V. 197. P. 646. https://doi.org/10.1016/S0022-0248(98)00763-5
- Marbeuf A., Druilhe R., Triboulet R., Patriarche G. // J. Cryst. Growth. 1992. V. 117. P. 10. https://doi.org/10.1016/0022-0248(92)90707-P
- Аветисов И.Х. Дис. “Физико-химические основы технологии кристаллических халькогенидов кадмия и цинка с контролируемой стехиометрией” … д-ра физ.-мат. наук. М.: РХТУ им. Д.И. Менделеева, 2011.
- Косяченко А.А., Склярчук В.М., Склярчук О.В., Маслянчук О.Л. // Физика и техника полупроводников. 2011. Т. 45. С. 1323.
- Prokesch M., Szeles C. // J. Appl. Phys. 2006. V. 100. P. 014503. https://doi.org/10.1063/1.2209192
- Кондрик А.И. // Функциональная микроэлектроника. 2004. № 6. С. 17.
- Pavlyuk M.D., Subbotin I.A., Kanevsky V.M., Artemov V.V. // J. Cryst. Growth. 2017. V. 457. P. 112. https://doi.org/10.1016/j.jcrysgro.2016.06.046
- Ivanov Yu.M. // J. Cryst. Growth. 1998. V. 194. P. 309. https://doi.org/10.1016/S0022-0248(98)00620-4
- Павлюк М.Д., Каневский В.М., Иванов Ю.М. // Журн. неорган. химии. 2013. Т. 58. С. 1082. https://doi.org/10.7868/S0044457X13080187
- Кондрик А.И., Ковтун Г.П. // Материалы электроники. 2019. № 4–5. С. 43. https://doi.org/10.15222/TKEA2019.5-6.43
- Ivanov Yu.M., Artemov V.V., Kanevsky V.M. et al. // Eur. Phys. J. Appl. Phys. 2004. V. 27. P. 371. https://doi.org/10.1051/epjap:2004086
- Комарь В.К., Наливайко Д.П., Герасименко А.С. и др. // Поверхность. Рентген. синхротр. и нейтр. исследования 2002. Т. 3. С. 94.
Supplementary files







