Сдвиги осцилляций Кизиха и фарадеевское вращение для рентгеновского отражения от намагниченной пленки
- Авторы: Андреева М.А.1, Баулин Р.А.1
-
Учреждения:
- Московский государственный университет им. М.В. Ломоносова
- Выпуск: Том 68, № 3 (2023)
- Страницы: 376-384
- Раздел: ДИФРАКЦИЯ И РАССЕЯНИЕ ИОНИЗИРУЮЩИХ ИЗЛУЧЕНИЙ
- URL: https://journal-vniispk.ru/0023-4761/article/view/137402
- DOI: https://doi.org/10.31857/S0023476123700078
- EDN: https://elibrary.ru/WZYMKA
- ID: 137402
Цитировать
Полный текст
Аннотация
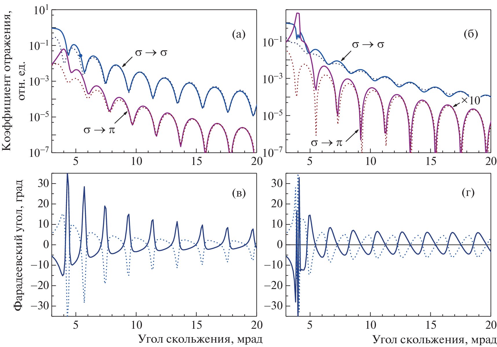
Проявление эффектов преломления и фарадеевского вращения плоскости поляризации линейно поляризованного рентгеновского излучения проанализировано для пропускания и отражения при скользящих углах падения от резонансной пленки с учетом рентгеновского магнитного или мессбауэровского рассеяния. Показано, что, когда намагниченность ориентирована в направлении пучка излучения, магнитные добавки к восприимчивости не влияют на фазовые сдвиги между волнами, отраженными от поверхности и подложки, но определяют появление в отраженном пучке “ортогональной поляризации”, что соответствует повороту плоскости поляризации. Поворот плоскости поляризации максимален для критического угла полного внешнего отражения и характеризуется осциллирующей зависимостью от угла скольжения, что может в перспективе использоваться для варьирования состояния поляризации пучков рентгеновского излучения.
Ключевые слова
Об авторах
М. А. Андреева
Московский государственный университет им. М.В. Ломоносова
Email: Mandreeva1@yandex.ru
Россия, Москва
Р. А. Баулин
Московский государственный университет им. М.В. Ломоносова
Автор, ответственный за переписку.
Email: baulin.roman@physics.msu.ru
Россия, Москва
Список литературы
- Kiessig H. // Annalen der Physik. 1931. B. 402. S. 715. https://doi.org/10.1002/andp.19314020607
- Segmüller A. // Thin Solid Films. 1973. V. 18. № 2. P. 287. https://doi.org/10.1016/0040-6090(73)90107-7
- Andreeva M.A., Smekhova A., Baulin R.A. et al. // J. Synchrotron Radiat. 2021. V. 28. № 5. P. 1535. https://doi.org/10.1107/S1600577521007694
- Смехова А.Г., Андреева М.А., Одинцова E.E. и др. // Кристаллография. 2010. Т. 55. № 5. С. 906. https://doi.org/10.1134/S1063774510050263
- Toperverg B.P., Lauter H.J., Lauter-Pasyuk V.V. // Physica B. 2005. V. 356. P. 1. https://doi.org/10.1016/j.physb.2004.10.035
- Федоров Ф.И. Теория гиротропии. Минск: Наука и техника, 1976. 456 с.
- Stepanov S.A., Sinha S.K. // Phys. Rev. B. 2000. V. 61. P. 15302. https://doi.org/10.1103/PhysRevB.61.15302
- Kuneš J., Oppeneer P.M., Mertins H.-Ch. et al. // Phys. Rev. B. 2001. V. 64. P. 174417. https://doi.org/10.1103/PhysRevB.64.174417
- Mertins H.C., Valencia S., Gaupp A. et al. // Appl. Phys. A. 2005. V. 80. P. 1011. https://doi.org/10.1007/s00339-004-3129-5
- Kortright J.B., Rice M., Kim M. et al. // J. Magn. Magn. Mater. 1999. V. 191. P. 79. https://doi.org/10.1016/S0304-8853(98)00344-8
- Kortright J.B., Rice M., Carr R. // Phys. Rev. B. 1995. V. 51. P. 10240. https://doi.org/10.1103/PhysRevB.51.10240
- Kortright J.B., Kim S.-K. // Phys. Rev. B. 2000. V. 62. P. 12216. https://doi.org/10.1103/PhysRevB.62.12216
- Mertins H.-Ch., Schäfers F., Gaupp A. et al. // Phys. Rev. B. 2000. V. 61. P. R874. https://doi.org/10.1103/PhysRevB.61.R874
- Imbert P. // Phys. Lett. 1964. V. 8. P. 956. https://doi.org/10.1016/0031-9163(64)90724-3
- Imbert P. // J. Phys. 1966. V. 27. P. 429. https://doi.org/10.1051/jphys:01966002707-8042900
- Gonser U., Housley U. // Phys. Lett. A. 1968. V. 26. P. 157. https://doi.org/10.1016/0375-9601(68)90053-4
- Housley R.M., Gonser U. // Phys. Rev. 1969. V. 171. P. 480. https://doi.org/10.1103/physrev.171.480
- Kistner O.C. // Phys. Rev. Lett. 1967. V. 19. № 15. P. 872. https://doi.org/10.1103/PhysRevLett.19.872
- Blume M., Kistner O.C. // Phys. Rev. 1968. V. 171. P. 417. https://doi.org/10.1103/PhysRev.171.417
- Airy G.B. // Philos. Mag. 1833. V. 2. P. 20. https://doi.org/10.1080/14786443308647959
- Борн М., Вольф Э. Основы оптики. Пер с англ. / Под ред. Мотулевич Г.П. М.: Наука, 1973. 720 с.
- Parratt L.G. // Phys. Rev. 1954. V. 95. P. 359. https://doi.org/10.1103/PhysRev.95.359
- Hamley I.W., Pedersen J.S. // J. Appl. Cryst. 1994. V. 27. P. 29. https://doi.org/10.1107/S0021889893006260
- Andreeva M.A., Repchenko Yu.L. // Crystallography Reports. 2013. V. 58. № 7. P. 1037.
- Андреева М.А., Смехова А.Г. // Изв. РАН. Сер. физ. 2008. Т. 72. № 5. С. 693.
- Андреева М.А. Рентгеновское излучение в исследовании магнетизма. Уч. пособ. для аспирантов и студентов старших курсов / Под ред. проф. Илюшина А.С. М.: Физический факультет МГУ, 2018. 192 с.
- Андреева М.А., Линдгрен Б. // Письма в ЖЭТФ. 2002. Т. 76. № 12. С. 833. https://doi.org/10.1134/1.1556209
- Andreeva M.A., Baulin R.A., Repchenko Yu.L. // J. Synchrotron Radiat. 2019. V. 26. P. 483. https://doi.org/10.1107/S1600577518018398
- Toellner T.S., Sturhahn W., Röhlsberger R. et al. // Phys. Rev. Lett. 1995. V. 74. P. 3475. https://doi.org/10.1103/PhysRevLett.74.3475
- Andreeva M.A., Lindgren B. // Phys. Rev. B. 2005. V. 72. P. 125422. https://doi.org/10.1103/PhysRevB.72.125422
- Rüffer R. // C. R. Physique. 2008. V. 9. P. 595. https://doi.org/10.1016/j.crhy.2007.06.003
- Андреева М.А. Ядерно-резонансная спектроскопия конденсированных сред. Ч. 2. Мёссбауэровские исследования на синхротронном излучении. Уч. пособ. для магистров и аспирантов / Под ред. проф. Илюшина А.С. М.: Физический факультет МГУ, 2019. 263 с.
- Rüffer R., Chumakov A.I. // Modern Mössbauer Spectroscopy. Topics in Applied Physics. / Eds. Yoshida Y., Langouche G. Singapore: Springer Nature, 2021. P. 1. https://doi.org/10.1007/978-981-15-9422-9
Дополнительные файлы








