Relaxor Ferroelectric PbNi1/3Ta2/3O3: Synthesis, Structure, Raman Spectra, and Dielectric Susceptibility
- Authors: Levin A.A.1, Smirnova T.A.1, Obozova E.D.1, Zalesskii V.G.1, Fedoseev A.I.1, Lushnikov S.G.1
-
Affiliations:
- Ioffe Institute, Russian Academy of Sciences, 194021, St. Petersburg, Russia
- Issue: Vol 68, No 5 (2023)
- Pages: 722-733
- Section: СТРУКТУРА НЕОРГАНИЧЕСКИХ СОЕДИНЕНИЙ
- URL: https://journal-vniispk.ru/0023-4761/article/view/137408
- DOI: https://doi.org/10.31857/S0023476123600532
- EDN: https://elibrary.ru/DLIWSO
- ID: 137408
Cite item
Full Text
Abstract
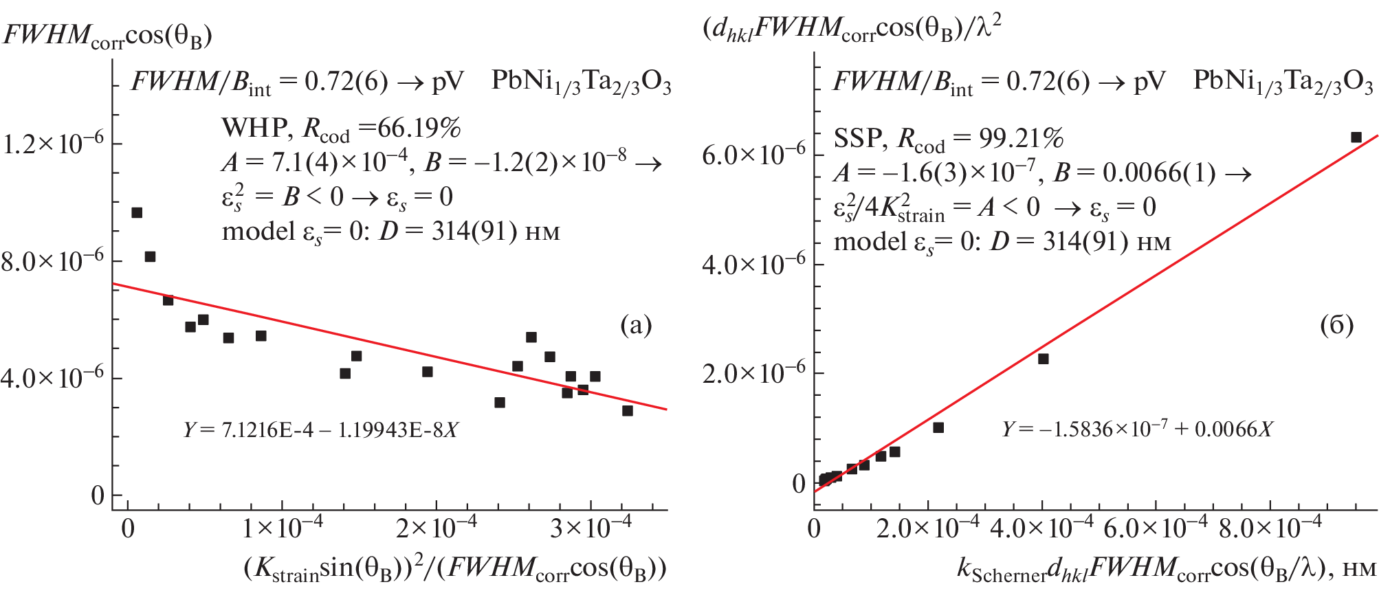
The structure of the relaxor ferroelectrics PbNi1/3Ta2/3O3 (PNT) was studied by powder X-ray diffraction. The measurements were performed at 313.5 ± 1 K using a powder, which was prepared by grinding PNT single crystals grown by the spontaneous crystallization. The structure refinement and the fitting of the simulated diffraction pattern to the experimental data were performed by the Rietveld method. It was demonstrated that the grown crystals of PNT have a perovskite structure (sp. gr. Pm3m (221), a = 4.02679(2) Å). Polarized Raman spectra of PNT were recorded at room temperature. The main modes of the light scattering spectra were assigned to the Е1 and А1 components of the transverse optical phonon (ТО1) and the А1 component of the longitudinal optical phonon (LO3). The temperature dependence of the dielectric susceptibility shows a broad frequency-dependent anomaly with a maximum at 89 К at a frequency of 1 kHz.
About the authors
A. A. Levin
Ioffe Institute, Russian Academy of Sciences, 194021, St. Petersburg, Russia
Email: Sergey.Lushnikov@mail.ioffe.ru
Россия, Санкт-Петербург
T. A. Smirnova
Ioffe Institute, Russian Academy of Sciences, 194021, St. Petersburg, Russia
Email: Sergey.Lushnikov@mail.ioffe.ru
Россия, Санкт-Петербург
E. D. Obozova
Ioffe Institute, Russian Academy of Sciences, 194021, St. Petersburg, Russia
Email: Sergey.Lushnikov@mail.ioffe.ru
Россия, Санкт-Петербург
V. G. Zalesskii
Ioffe Institute, Russian Academy of Sciences, 194021, St. Petersburg, Russia
Email: Sergey.Lushnikov@mail.ioffe.ru
Россия, Санкт-Петербург
A. I. Fedoseev
Ioffe Institute, Russian Academy of Sciences, 194021, St. Petersburg, Russia
Email: Sergey.Lushnikov@mail.ioffe.ru
Россия, Санкт-Петербург
S. G. Lushnikov
Ioffe Institute, Russian Academy of Sciences, 194021, St. Petersburg, Russia
Author for correspondence.
Email: Sergey.Lushnikov@mail.ioffe.ru
Россия, Санкт-Петербург
References
- Смоленский Г.А., Аграновская А.И. // ФТТ. 1959. Т. 1. С. 1562.
- Боков В.А., Мыльникова И.Е. // ФТТ. 1960. Т. 11. С. 2728.
- Cross L.E. // Ferroelectrics. 1987. V. 76. P. 241. https://doi.org/10.1080/00150198708016945
- Смоленский Г.А., Боков В.А., Юсупов В.А. и др. Физика сегнетоэлектрических явлений. Л.: Наука, 1985.
- Cowley R.A., Gvasaliya S.N., Lushnikov S.G. et al. // Adv. Phys. 2011. V. 60. P. 229. https://doi.org/10.1080/00018732.2011.555385
- Kimura T., Goto T., Shintani H. et al. // Nature. 2003. V. 426. P. 55. https://doi.org/10.1038/nature02018
- Blinc R., Cevc P., Zorko A. et al. // J. Appl. Phys. 2007. V. 101. P. 033901. https://doi.org/10.1063/1.2432309
- Chillia S. Microscopic coexistence of antiferromagnetic and spin glass states in disordered perovskites, PhD Thesis. ETH, Zurich, 2015.
- Shirakami T., Mituskawa M., Imai T., Urabe K. // Jpn. J. Appl. Phys. 2000. V. 39. L678. https://doi.org/10.1143/JJAP.39.L678
- Ханнанов Б.Х., Залесский В.Г., Головенчиц Е.И. и др. // ЖЭТФ. 2020. Т. 157. С. 523. https://doi.org/10.31857/S004445102003013X
- Полушина А.Д., Обозова Е.Д., Залесский В.Г. и др. // ФТТ. 2021. Т. 63. С. 1382.
- Li Z., Vilarinho P.M. // J. Eur. Ceram. Soc. 2005. V. 25. P. 2527. https://doi.org/10.1016/j.jeurceramsoc.2005.03.213
- Preeti C., Pandey A., Selvamani R. et al. // Ferroelectrics. 2017. V. 517. P. 90. https://doi.org/10.1080/00150193.2017.1370265
- Bruker AXS. Diffrac. Suite Eva. Version 5.1.0.5. Bruker AXS, Karlsruhe. Germany, 2019.
- International Centre for Diffraction Data (ICDD), Powder Diffraction File-2 Release 2014. ICDD: Newton Square, PA, USA, 2014.
- Maunders C., Etheridge J., Wright N., Whitfield H.J. // Acta. Cryst. B. 2005. V. 61. P. 154. https://doi.org/10.1107/S0108768105001667
- Levin A.A. Program SizeCr for calculation of the microstructure parameters from X-ray diffraction data. Preprint. ResearchGate. 2022. https://doi.org/10.13140/RG.2.2.15922.89280
- Terlan B., Levin A.A., Börrnert F. et al. // Chem. Mater. 2015. V. 27. P. 5106. https://doi.org/10.1021/acs.chemmater.5b01856
- Terlan B., Levin A.A., Börrnert F. et al. // Eur. J. Inorg. Chem. 2016. V. 6. P. 3460. https://doi.org/10.1002/ejic.201600315
- Rietveld H.M. // Acta Cryst. 1967. V. 22. P. 151. https://doi.org/10.1107/S0365110X67000234
- Le Bail A., Duroy H., Fourquet J.L. // Mat. Res. Bull. 1988. V. 23. P. 447. https://doi.org/10.1016/0025-5408(88)90019-0
- Brucker AXS, TOPAS, Version 5, Technical reference, Brucker AXS, Karlsruhe, Germany, 2014.
- Bérar J.-F., Lelann P.J. // J. Appl. Cryst. 1991. V. 2. P. 1. https://doi.org/10.1107/S0021889890008391
- Levin A.A. “Program RietESD for correction of estimated standard deviations obtained in Rietveld-refinement programs”, Preprint, ResearchGate. 2022. https://doi.org/10.13140/RG.2.2.10562.04800
- Andreev Yu.G. // J. Appl. Cryst. 1994. V. 27. P. 288. https://doi.org/10.1107/S002188989300891X
- Popova E.A., Zalessky V.G., Shaplygina T.A. et al. // Ferroelectrics. 2011. V. 412. P. 15. https://doi.org/10.1080/00150193.2011.542688
- Hill R.J. // Acta Cryst. C. 1985. V. 41. P. 1281. https://doi.org/10.1107/S0108270185007454
- Sasaki S., Fujino K., Takeuchi Y. // Proc. Jpn. Acad. B. 1979. V. 55. P. 43. https://doi.org/10.2183/pjab.55.43
- Konyasheva E., Suard E., Irvine J.T.S. // Chem. Mater. 2009. V. 21. P. 5307. https://doi.org/10.1021/cm902443n
- Shimomura Y., Kojima M., Saito S. // J. Phys. Soc. Jpn. 1956. V. 11. P. 1136. https://doi.org/10.1143/JPSJ.11.1136
- Хитрова В.И., Клечковская В.В., Пинскер З.Г. // Кристаллография. 1972. Т. 17. С. 506.
- Langford J.I., Cernik R.J., Louer D. // J. Appl. Phys. 1991. V. 24. P. 913. https://doi.org/10.1107/S0021889891004375
- Stokes A.R., Wilson A.J.C. // Proc. Phys. Soc. London 1944. V. 56. P. 174. https://doi.org/10.1088/0959-5309/56/3/303
- Scherrer P. // Nachr. Kӧnigl. Ges. Wiss. Gӧttingen. 1918. V. 26. P. 98. (in German).
- Berger H. // X-ray Spectrom. 1986. V. 15. P. 241. https://doi.org/10.1002/xrs.1300150405
- Cheary R.W., Coelho A.A. // J. Appl. Cryst. 1992. V. 25. P. 109. https://doi.org/10.1107/S0021889891010804
- Balzar D. Voigt-function model in diffraction line-broadening analysis / Eds. Snyder R.L. et al. Defect and Microstructure Analysis by Diffraction, IUCr, Oxford Uni. Press, 1999. P. 94. https://doi.org/10.1107/S0021889890008391
- Dollase W.A. // J. Appl. Cryst. 1986. V. 19. P. 267. https://doi.org/10.1107/S0021889886089458
- Pecharsky V.K., Zavalij P.Y., Fundamentals of Powder Diffraction and Structural Characterization of Materials, 2nd edition, Springer Science+Business Media, LLC, 2009. https://doi.org/10.1007/978-0-387-09579-0
- Hill R.J., Fischer R.X. // J. Appl. Cryst. 1990. V. 23. P. 462. https://doi.org/10.1107/S0021889890006094
- Young R.A. Introduction to the Rietveld Method / Ed. Young R.A. The Rietveld Method, IUCr Book Series Oxford Uni. Press, Oxford, UK, 39 p.
- Hall M.M. Jnr, Veeraraghavan V.G., Rubin H., Winchell P.G. // J. Appl. Cryst. 1977. V. 10. P. 66. https://doi.org/10.1107/S0021889877012849
- Lushnikov S.G., Gvasaliya S.N., Katiyar R. // Phys. Rev. B. 2004. V. 70. 172101. https://doi.org/10.1103/PhysRevB.70.172101
- Gvasaliya S.N., Roessli B., Sheptyakov D. et al. // Eur. Phys. J. B. 2004. V. 40. P. 235. https://doi.org/10.1140/epjb/e2004-00276-8
- Siny I.G., Katiyar R.S., Bhalla A.S. // Ferroelectr. Rev. 2000. V. 2. P. 51.
- Lee J.W., Ko J.-H., Fedoseev A.I. et al. // J. Phys. Condens. Matter. 2021. V. 33. 025402. https://doi.org/10.1088/1361-648X/abb67f
Supplementary files







