Структурный и магнитный переход в многокомпонентных составах на основе R5X4
- Авторы: Смирнов А.В.1, Овченкова Ю.А.1, Богданов А.Е.1, Морозкин А.В.1, Терёшина И.С.1, Никитин С.А.1
-
Учреждения:
- Московский государственный университет им. М.В. Ломоносова
- Выпуск: Том 68, № 3 (2023)
- Страницы: 434-442
- Раздел: ДИНАМИКА РЕШЕТКИ И ФАЗОВЫЕ ПЕРЕХОДЫ
- URL: https://journal-vniispk.ru/0023-4761/article/view/137415
- DOI: https://doi.org/10.31857/S0023476123700145
- EDN: https://elibrary.ru/XBUTSE
- ID: 137415
Цитировать
Полный текст
Аннотация
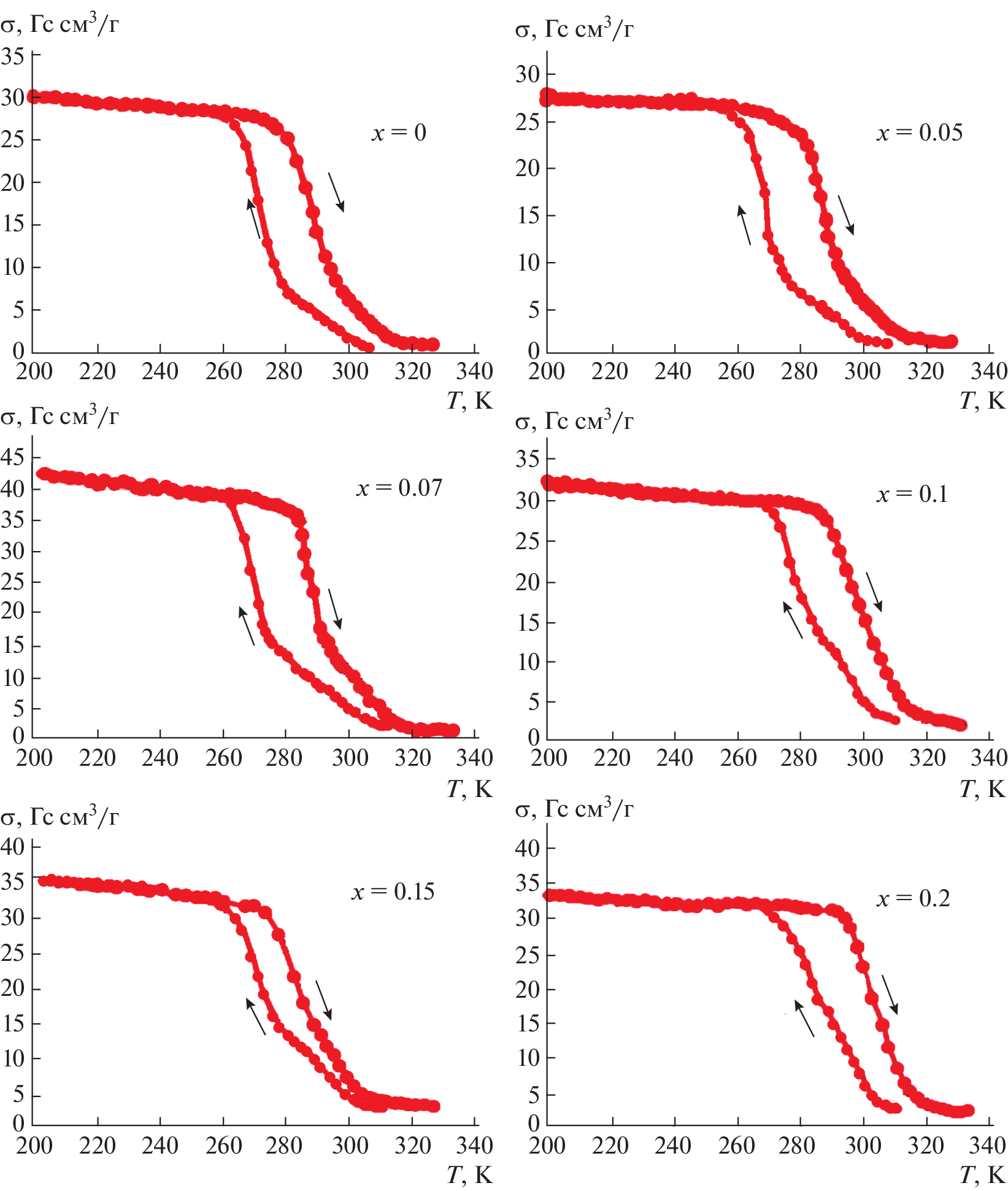
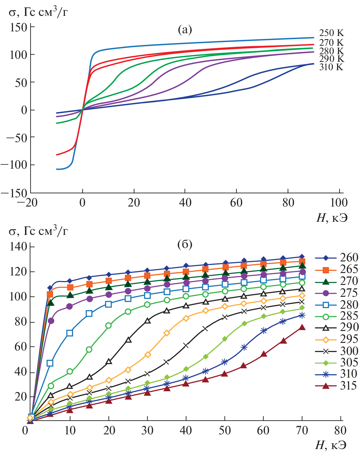
Проведены исследования структуры, магнитных, магнитотепловых и магнитоупругих свойств интерметаллических соединений Gd5Si\(_{{2--x}}\)Ge\(_{{2--x}}\)In2x (x = 0–0.1) в области магнитоструктурных фазовых переходов. Показано, что введение In выполняет функцию отрицательного давления, приводя к изменению критической температуры магнитного фазового перехода в моноклинной фазе исследуемых соединений и к частичному разделению в них магнитного и структурного фазовых переходов.
Ключевые слова
Об авторах
А. В. Смирнов
Московский государственный университет им. М.В. Ломоносова
Email: irina_tereshina@mail.ru
Россия, Москва
Ю. А. Овченкова
Московский государственный университет им. М.В. Ломоносова
Email: irina_tereshina@mail.ru
Россия, Москва
А. Е. Богданов
Московский государственный университет им. М.В. Ломоносова
Email: irina_tereshina@mail.ru
Россия, Москва
А. В. Морозкин
Московский государственный университет им. М.В. Ломоносова
Email: irina_tereshina@mail.ru
Россия, Москва
И. С. Терёшина
Московский государственный университет им. М.В. Ломоносова
Email: irina_tereshina@mail.ru
Россия, Москва
С. А. Никитин
Московский государственный университет им. М.В. Ломоносова
Автор, ответственный за переписку.
Email: irina_tereshina@mail.ru
Россия, Москва
Список литературы
- Pecharsky V.K., Gschneidner K.A. // Phys. Rev. Lett. 1997. V. 78. № 23. P. 4494. https://doi.org/10.1103/PhysRevLett.78.4494
- Pecharsky A.O., Gschneidner K.A., Jr., Pecharsky V.K. // J. Appl. Phys. 2003. V. 93. № 8. P. 4722. https://doi.org/10.1063/1.1558210
- Tishin A.M., Spichkin Y.I. The Magnetocaloric Effect and its Applications. Philadelphia: Institute of Physics Publishing, Bristol, 2003. https://doi.org/10.1201/9781420033373
- De Oliveira N.A. // J. Appl. Phys. 2013. V. 113. P. 033910.
- Rudolph K., Pathak A.K., Mudryk Y., Pecharsky V.K. // Acta Mater. 2018. V. 145. P. 369. https://doi.org/10.1016/j.actamat.2017.12.024
- Paudyal D., Mudryk Y., Pecharsky V.K., Gschneidner K.A. // Phys. Rev. B. 2011. V. 84. P. 014421. https://doi.org/10.1103/PhysRevB.84.014421
- Nazih M., de Visser A., Zhang L. et al. // Solid State Commun. 2003. V. 126. P. 255.
- Han M., Jiles D.C., Snyder J.E. et al. // J. Appl. Phys. 2004. V. 95. P. 6945.
- Svitelskiy O., Suslov A., Schlagel D.L. et al. // Phys. Rev. B. V. 74. P. 184105. https://doi.org/10.1103/PhysRevB.74.184105
- Zou M., Pecharsky V.K., Gschneidnper K.A. et al. // Phys. Rev. B. V. 80. P. 174411. https://doi.org/10.1103/PhysRevB.80.174411
- Hadimani R.L., Jiles D.C. // IEEE Magn. Lett. 2010. V. 1. P. 6000104. https://doi.org/10.1109/LMAG.2010.2041902
- Gschneidner K.A., Pecharsky V.K., Tsokol A.V. // Rep. Progr. Phys. 2005. V. 68. № 6. P. 1479. https://doi.org/10.1088/0034-4885/68/6/R04
- Tan L., Kreyssig A., Kim J.W. et al. // Phys. Rev. B. 2005. V. 71. P. 214408. https://doi.org/10.1103/PhysRevB.71.214408
- Pecharsky V.K., Gschneidner K.A. // J. Magn. Magn. Mater. 1997. V. 167. № 3. P. L179.
- Yucel A., Elerman Y., Aksoy S. // J. Alloys Compd. 2006. V. 420. № 1–2. P. 182. https://doi.org/10.1016/j.jallcom.2005.10.078
- Zhang T.B., Chen Y.G., Tang Y.B. et al. // J. Alloys Compd. 2007. V. 433. № 1–2. P. 18. https://doi.org/10.1063/1.5036723
- Aksoy S., Yucel A., Elerman Y. et al. // J. Alloys Compd. 2008. V. 460. № 1–2. P. 94. https://doi.org/10.1016/j.jallcom.2007.06.060
- Palacios E., Wang G.F., Burriel R. et al. // J. Phys.: Conf. Ser. 2010. V. 200. № 9. P. 092011. https://doi.org/10.1088/1742-6596/200/9/092011
- Sharma S., Patel A.K., Kumar P. // Mater. Today Commun. 2021. V. 26. P. 102091.
- Chen Y.G., Zhang T.B., Tang Y.B., Tu M.J. // Proc. First IIF-IIR Int. Conf. on Magnetic Refrigeration at Room Temperature. Montreux, Switzerland, 2005. P. 227.
- Campoy J.C.P., Plaza E.J.R., Nascimento F.C. et al. // J. Magn. Magn. Mater. 2007. V. 316. № 2. P. 368. https://doi.org/10.1016/j.jmmm.2007.03.023
- Li J.Q., Sun W.A., Jian Y.X. et al. // J. Appl. Phys. 2006. V. 100. № 7. P. 073904. https://doi.org/10.1063/1.2355430
- Pereira A.M., Kampert E., Moreira J.M. et al. // Appl. Phys. Lett. 2011. V. 99. P. 132510. https://doi.org/10.1063/1.3640213
- Morellon L., Algarabel P.A., Ibarra M.R. et al. // Phys. Rev. B. 1998. V. 58. P. R14721.
- Magen C., Morellon L., Algarabel P.A. et al. // Phys. Rev. B. 2005. V. 72. P. 024416.
- Bocarra N. Symtries Briseґes. Paris: Herman, 1976.
- Pereira A.M., Magen C., Braga M.E. et al. // J. Non-Crystalline Solids. 2008. V. 354. P. 5298.
- Morellon L., Arnold Z., Magen C. et al. // Phys. Rev. Lett. 2004. V. 93. P. 137201.
- Nikitin S.A., Bogdanov A.E., Ovchenkova I.A. et al. // Solid State Phenomena. 2015. V. 233–234. P. 208.
- Nikitin S.A., Smirnov A.V., Ovchenkova I.A., Ovchenkov Y.A. // J. Appl. Phys. 2018. V. 124. № 8. P. 083902. https://doi.org/10.1063/1.5036723
- Смирнов А.В., Курганская А.А., Овченкова Ю.А. и др. // Вестн. МГУ. Сер. 3. Физика, астрономия. 2022. № 6. С. 38.
- Nikitin S.A., Smirnov A., Bogdanov A., Ovchenkova I. // EPJ Web Conf. 2018. V. 185. P. 05006. https://doi.org/10.1051/epjconf/201818505006
- Izumi F. The Rietveld Method / Ed. Young R.A. Oxford: Oxford University Press, 1993.
- Izumi F. // Rigaku J. 1989. V. 6. № 1. P 10.
- Akselrud L.G., Grin Yu.N., Zavalij P.Yu. et al. // 12-th Eur. Crystallographic Meeting: Abstract of Papers. 1989. V. 3. P. 155.
- Белов К.П. Упругие, тепловые и электрические явления в ферромагнетиках. М.: Гостехиздат, 1957. 280 с.
- Nikitin S.A., Pankratov N.Yu., Smarzhevskaya A.I. et al. // J. Appl. Phys. 2015. V. 117. P. 193908.
Дополнительные файлы







