CHOICE OF STARTING VALUES OF PARTICLE-SIZE DISTRIBUTION PARAMETERS FOR THEIR CALCULATION FROM SMALL-ANGLE X-RAY SCATTERING DATA
- Authors: Amarantov S.V.1, Peters G.S.2
-
Affiliations:
- Shubnikov Institute of Crystallography, Federal Scientific Research Centre “Crystallography and Photonics,” Russian Academy of Sciences, Moscow, 119333 Russia
- National Research Centre “Kurchatov Institute,” Moscow, 123182 Russia
- Issue: Vol 68, No 4 (2023)
- Pages: 514-530
- Section: ДИФРАКЦИЯ И РАССЕЯНИЕ ИОНИЗИРУЮЩИХ ИЗЛУЧЕНИЙ
- URL: https://journal-vniispk.ru/0023-4761/article/view/137422
- DOI: https://doi.org/10.31857/S0023476122600549
- EDN: https://elibrary.ru/JOJQKJ
- ID: 137422
Cite item
Full Text
Abstract
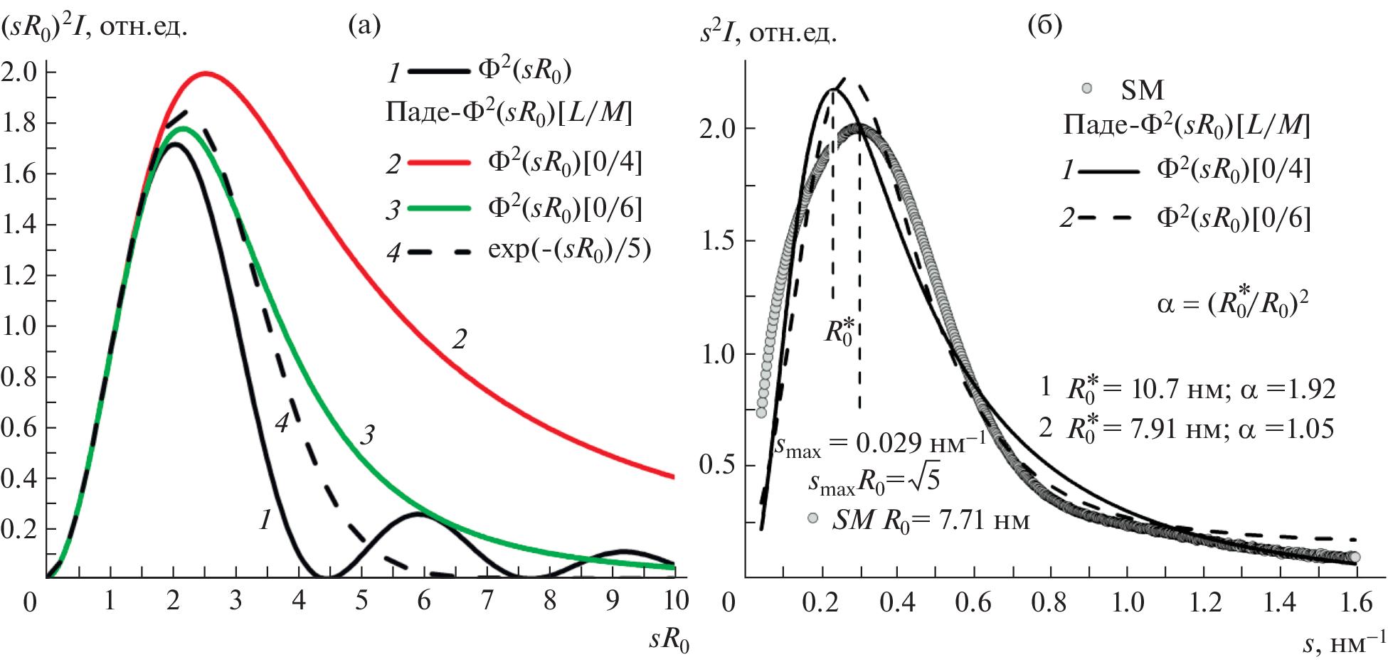
Simple methods are proposed for determining the starting values of the parameters of particle-size distribution models (mean radius and its standard deviation), calculated from small-angle X-ray scattering curves. Estimates of these parameters from above based on the obtained analytical expression for the Guinier region of the scattering curve from a polydisperse system obeying the Schultz distribution are proposed for systems with narrow distributions. It is proposed to estimate the parameters and range of sizes from below based on the obtained expression of the Porod asymptotics for a polydisperse system. A method for calculating the generalized Guinier–Porod approximation in Kratky coordinates, from which independent estimates of the average size and variance can also be obtained, is proposed. The efficiency of the developed approach is demonstrated by an example of analyzing the scattering intensity from aqueous solutions of silicasol nanoparticles.
About the authors
S. V. Amarantov
Shubnikov Institute of Crystallography, Federal Scientific Research Centre “Crystallography and Photonics,” Russian Academy of Sciences, Moscow, 119333 Russia
Email: amarantov_s@mail.ru
Россия, Москва
G. S. Peters
National Research Centre “Kurchatov Institute,” Moscow, 123182 Russia
Author for correspondence.
Email: amarantov_s@mail.ru
Россия, Москва
References
- Svergun D.I., Konarev P.V., Volkov V.V. et al. // J. Chem. Phys. 2000. V. 113. P. 1651. https://doi.org/10.1063/1.481954
- Peters G.S., Zakharchenko O.A., Konarev P.V. et al. // Nucl. Instrum. Methods Phys. Res. A. 2019. V. 945. P. 162616. https://doi.org/10.1016/j.nima.2019.162616
- Peters G.S., Gaponov Yu.A., Konarev P.V. et al. // Nucl. Instrum. Methods Phys. Res. A. 2022. V. 1025. P. 166170. https://doi.org/10.1016/j.nima.2021.166170
- Hammertsley A.P. // J. Appl. Cryst. 2016. V. 49. P. 646. https://doi.org/10.1107/S1600576716000455
- Schulz G.V. // J. Phys. Chem. B. 1935. V. 30. P. 379.
- Svergun D.I. // J. Appl. Cryst. 1992. V. 25. P. 495.
- Васильева А.Б., Тихонов Н.А. Интегральные уравнения. Изд. 2-е. М.: ФИЗМАТЛИТ, 2004. 160.
- Тихонов А.Н., Арсенин В.Я. Методы решения некорректных задач. Учебное пособие для вузов. Изд. 3-е, исправленное. М.: Гл. ред. физ.-мат. лит., 1986. 288 с.
- Верлань А.Ф., Сизиков В.С. Методы решения интегральных уравнений с программами для ЭВМ. Киев: Наук. думка, 1978. 292 с.
- Тихонов А.Н., Гончарский А.В., Степанов В.В., Ягола А.Г. Численные методы решения некорректных задач. М.: Наука. Гл. ред. физ.-мат. лит., 1990. 232 с.
- Гилл Ф., Мюррей У., Райт М. Практическая оптимизация. М.: Мир, 1985. 509 с.
- Dennis J.E., Gay D.M., Welsch R.E. // ACM Trans. Math. Softw. 1981. V. 7. № 3. P. 369.
- Porod G. // Kolloid-Zeitschrift. 1952. V. 125. P. 108.
- Jerri Abdul J. // A Tutorial Review. Proc. IEEE. 1977. V. 65. P. 1565. /https://doi.org/10.1109/proc.1977.10771
- Шеннон К.Э. Работы по теории информации и кибернетике. Сб. статей. М.: Изд-во. иностр. лит. 1963. 807 с.
- http://www.OriginLab.com
- Svergun D.I., Koch M.H.J., Timmins P.A., May R.P. // Small Angle X-Ray and Neutron Scattering from Solution of Biological Macromolecules. Oxford University Press, 2013.
- Guinier A., Fournet G. // Small-Angle Scattering of X-Rays. John Wiley & Sons, Inc., 1955.
- Свергун Д.И., Фейгин Л.А. Рентгеновское и нейтронное малоугловое рассеяние. М.: Наука. Гл. ред. физ.-мат. лит., 1986. 280 с.
- Бейкер Дж. мл., Грейвс-Моррис П. Аппроксимация Паде. Пер. с анг. М.: Мир, 1986. 502 с.
Supplementary files










