Study of the Effect of Inverse Magnetostriction in Ferromagnet/Ferroelectric Heterostructures Using Ab Initio Calculations
- Authors: Gumarova I.I.1,2, Evseev K.V.1, Kamashev A.A.1, Mamin R.F.1
-
Affiliations:
- Zavoisky Kazan Physical-Technical Institute, Russian Academy of Sciences, 420029, Kazan, Russia
- Kazan Federal University, Institute of Physics, 420008, Kazan, Russia
- Issue: Vol 68, No 5 (2023)
- Pages: 809-816
- Section: ПОВЕРХНОСТЬ, ТОНКИЕ ПЛЕНКИ
- URL: https://journal-vniispk.ru/0023-4761/article/view/137436
- DOI: https://doi.org/10.31857/S0023476123600544
- EDN: https://elibrary.ru/DNYSRJ
- ID: 137436
Cite item
Full Text
Abstract
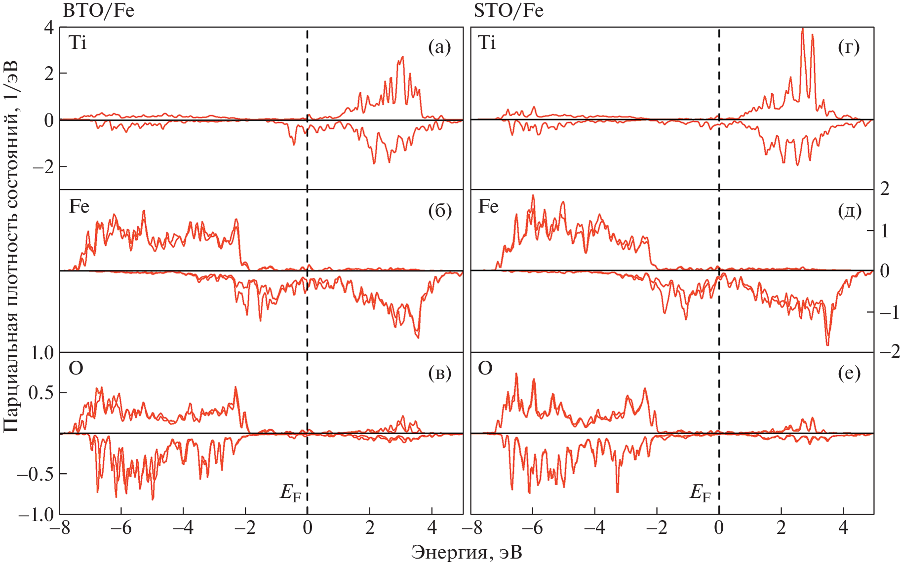
Fe/BaTiO3, Fe/SrTiO3, Co/BaTiO3, and Co/SrTiO3 heterostructures, which exhibit magnetoelectric effect, have been investigated. It is shown that the magnetic properties of thin ferromagnetic films can be controlled using an external electric field. The structural, electronic, and magnetic properties of the heterostructures have been investigated applying ab initio calculation methods. It is shown that, using the inverse piezoelectric effect, one can reduce the absolute value of the ferromagnet magnetization vector. This approach may be a basis for controlling the properties of one of the ferromagnetic layers of a superconducting spin valve and, as a consequence, the superconducting properties of the valve.
About the authors
I. I. Gumarova
Zavoisky Kazan Physical-Technical Institute, Russian Academy of Sciences, 420029, Kazan, Russia; Kazan Federal University, Institute of Physics, 420008, Kazan, Russia
Email: iipiyanzina@kpfu.ru
Россия, Казань; Россия, Казань
K. V. Evseev
Zavoisky Kazan Physical-Technical Institute, Russian Academy of Sciences, 420029, Kazan, Russia
Email: iipiyanzina@kpfu.ru
Россия, Казань
A. A. Kamashev
Zavoisky Kazan Physical-Technical Institute, Russian Academy of Sciences, 420029, Kazan, Russia
Email: iipiyanzina@kpfu.ru
Россия, Казань
R. F. Mamin
Zavoisky Kazan Physical-Technical Institute, Russian Academy of Sciences, 420029, Kazan, Russia
Author for correspondence.
Email: iipiyanzina@kpfu.ru
Россия, Казань
References
- Ota S., Ando A., Chiba D. // Nat. Electron. 2018. V. 1. P. 124. https://doi.org/10.1038/s41928-018-0022-3
- Makarov D., Melzer M., Karnaushenko D., Shmidt O.G. // Appl. Phys. Rev. 2016. V. 3. P. 011101. https://doi.org/10.1063/1.4938497
- Jia C., Zhao X., Lai Y.H. et al. // Nano Energy. 2019. V. 60. P. 476. https://doi.org/10.1016/j.nanoen.2019.03.053
- Liy Y., Yang T., Zhang Y. et al. // Adv. Mater. 2019. V. 31. P. 1902783. https://doi.org/10.1038/s41928-018-0022-3
- Won S.S., Seo H., Kawahara M. et al. // Nano Energy. 2019. V. 55. P. 182. https://doi.org/10.1016/j.nanoen.2018.10.068
- Yao J., Song X., Gao X. et al. // ACS Nano. 2018. V. 12. P. 6767. https://doi.org/10.1021/acsnano.8b01936
- Lu N., Zhang P., Zhang Q. et al. // Nature. 2017. V. 546. P. 124. https://doi.org/10.1038/nature22389
- Cao D., Wang F., Jiang Z. et al. // J. Mater. Sci. 2016. V. 51. P. 3297. https://doi.org/10.1007/s10853-015-9656-y
- Leksin P.V., Garif’yanov N.N., Garifullin I.A. et al. // Appl. Phys. Lett. 2010. V. 97. P. 102505. https://doi.org/10.48550/arXiv.1007.2511
- Тихомирова Н.А., Баранов А.И., Гинзберг А.В. и др. // Письма в ЖЭТФ. 1983. Т. 38. С. 365. https://doi.org/10.48550/arXiv.1007.2511
- Тихомирова Н.А., Донцова Л.И., Гигзберг А.В. и др. // ФТТ. 1988. Т. 30. С. 724. https://www.mathnet.ru/php/archive.phtml?wshow=paper&jrnid=ftt&paperid=4418&option_lang=rus
- Zhao Y., Peng R., Guo Y. et al. // Adv. Functional Mater. 2021. V. 31. P. 2009376. https://doi.org/10.1002/adfm.202009376
- Tsymbal E.Y., Duan C.G., Jaswal S.S. // Phys. Rev. Lett. 2006. V. 31. P. 047201. https://doi.org/10.1103/PhysRevLett.97.047201
- Duan C.G., Jaswal S.S., Tsymbal E.Y. // Phys. Rev. 2006. V. 97. P. 047201. https://doi.org/10.1103/PhysRevLett.97.047201
- Sahoo S., Srinivas P., Duan C.G. et al. // Phys. Rev. 2007. V. 76. P. 092108. https://doi.org/10.1103/PhysRevB.76.092108
- Muller K.A., Burkard H. // Phys. Rev. 1979. V. 19. P. 3593. https://doi.org/10.1103/PhysRevB.19.3593
- Hohenberg P., Kohn W. // Phys. Rev. B. 1964. V. 136. P. 864. https://doi.org/10.1103/PhysRev.136.B864
- Perdew J.P., Burke K., Ernzerhof M. // Phys. Rev. Lett. 1996. V. 77. P. 3865. https://doi.org/10.1103/PhysRevLett.77.3865
- Kohn W., Sham L.J. // Phys. Rev. A. 1965. V. 140. P. 1133. https://doi.org/10.1103/PhysRev.140.A1133
- Blöchl P.E. // Phys. Rev. 1994. V. 50. P. 17953. https://doi.org/10.1103/PhysRevB.50.17953
- Kresse G., Furthmüller J. // Comp. Mater. Sci. 1996. V. 6. P. 15. https://doi.org/10.1016/0927-0256(96)00008-0
- Kresse G., Furthmüller J. // Phys. Rev. 1996. V. 54. P. 11169. https://doi.org/10.1103/PhysRevB.54.11169
- Kresse G., Joubert D. // Phys. Rev. B. 1999. V. 59. P. 1758. https://doi.org/10.1103/PhysRevB.59.1758
- MedeA, version 3.6; Inc. San Diego, USA.
- Monkhorst H.J., Pack J.D. // Phys. Rev. 1976. V. 13. P. 5188. https://doi.org/10.1103/PhysRevB.13.5188
- Blöchl P.E., Jepsen O., Andersen O.K. // Phys. Rev. 1994. V. 49. P. 16223. https://doi.org/10.1103/PhysRevB.49.16223
- Methfessel M., Paxton A.T. // Phys. Rev. 1989. V. 40. P. 3616. https://doi.org/10.1103/PhysRevB.40.3616
- Dudarev S.L., Botton G.A., Savrasov S.Y. et al. // Phys. Rev. 1998. V. 57. P. 1505. https://doi.org/10.1103/PhysRevB.57.1505
- Calderon C.E., Plata J.J., Toher C. // Comp. Mater. Sci. 2015. V. 108. P. 233. https://doi.org/10.1016/j.commatsci.2015.07.019
- Oleinik I.I., Tsymbal E.Y., Pettifor D.G. // Phys. Rev. 2001. V. 65. P. 020401. https://doi.org/10.1103/PhysRevLett.98.115503
Supplementary files








