Structural Basis for Interactions between Influenza A Virus M2 Proton Channel and Adamantane-Based Antiviral Drugs
- Authors: Lashkov A.A.1, Garaev T.M.2, Rubinsky S.V.1, Samygina V.R.1,3
-
Affiliations:
- Shubnikov Institute of Crystallography of Federal Scientific Research Centre “Crystallography and Photonics,” Russian Academy of Sciences, 119333, Moscow, Russia
- National Research Center for Epidemiology and Microbiology named after Honorary Academician N.F. Gamaleya
- National Research Centre “Kurchatov Institute”, 123182, Moscow, Russia
- Issue: Vol 68, No 6 (2023)
- Pages: 845-853
- Section: REVIEWS
- URL: https://journal-vniispk.ru/0023-4761/article/view/231796
- DOI: https://doi.org/10.31857/S0023476123600374
- EDN: https://elibrary.ru/HAPIRE
- ID: 231796
Cite item
Full Text
Abstract
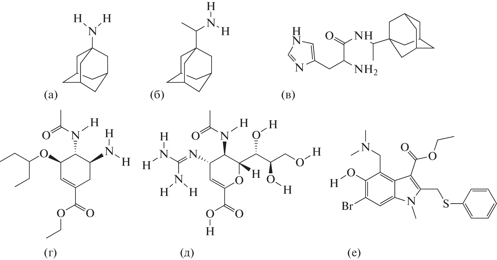
Influenza A virus pandemics still remain a threat to global health. One class of antiviral drugs, namely, inhibitors of the specific viral enzyme neuraminidase, is predominantly used in the fight against these pandemics. These antivirals include zanamivir (Relenza™) and oseltamivir (Tamiflu™). The viral resistance to this class of compounds steadily increases. The M2 proton channel of influenza A virus is an alternative clinically proven target for antiviral therapy. However, many circulating virus strains bear amino acid mutations in the M2 protein, causing resistance to drugs of the adamantane series, M2 blockers, such as rimantadine and amantadine. Consequently, inhibitors targeting mutants of the M2 channel are urgently needed for public biosafety and health. This review is devoted to structural-functional interactions used in practice and mediated by the action of experimental drugs on the protein target, the transmembrane domain of the influenza virus M2 proton channel. An analysis of the experimental and model structural data available in open access is presented.
About the authors
A. A. Lashkov
Shubnikov Institute of Crystallography of Federal Scientific Research Centre “Crystallography and Photonics,” Russian Academy of Sciences, 119333, Moscow, Russia
Email: alashkov83@gmail.com
Россия, Москва
T. M. Garaev
National Research Center for Epidemiology and Microbiology named after Honorary Academician N.F. Gamaleya
Email: tmgaraev@gmail.com
ORCID iD: 0000-0002-3651-5730
PhD in biology, leading researcher of the Laboratory of Molecular Diagnostics
Russian Federation, 123098, MoscowS. V. Rubinsky
Shubnikov Institute of Crystallography of Federal Scientific Research Centre “Crystallography and Photonics,” Russian Academy of Sciences, 119333, Moscow, Russia
Email: alashkov83@gmail.com
Россия, Москва
V. R. Samygina
Shubnikov Institute of Crystallography of Federal Scientific Research Centre “Crystallography and Photonics,” Russian Academy of Sciences, 119333, Moscow, Russia; National Research Centre “Kurchatov Institute”, 123182, Moscow, Russia
Author for correspondence.
Email: alashkov83@gmail.com
Россия, Москва; Россия, Москва
References
- Thorlund K., Awad T., Boivin G. et al. // BMC Infect. Dis. 2011. V. 134. https://doi.org/10.1186/1471-2334-11-134
- Singh A., Soliman M. // Drug Des. Devel. Ther. 2015. V. 9. P. 4137. https://doi.org/10.2147/DDDT.S81934
- Lampejo T. // Eur. J. Clin. Microbiol. Infect. Dis. 2020. V. 39 (7). P. 1201. https://doi.org/10.1007/s10096-020-03840-9
- Sriwilaijaroen N., Suzuki Y. // Proc. Jpn. Acad. B. Phys. Biol. Sci. 2012. V. 88 (6). P. 226.
- Ленева И.А., Гуськова Т.А. // Русский медицинский журнал. 2008. Т. 29 (16). С. 3.
- Leneva I.A., Russell R.J., Boriskin Y.S. et al. // Antiviral Res. 2009. V. 81 (2). P. 132. https://doi.org/10.1016/j.antiviral.2008.10.009
- WHO Guidelines for Pharmacological Management of Pandemic Influenza A(H1N1) 2009 and other Influenza Viruses. WHO Geneva, 2010. Part I.
- Centers for Disease Control and Prevention Recommendations. CS HCVG-15-FLU-107. 2018.
- Scott C., Griffin S. // J. Gen. Virol. 2015. V. 96 (8). P. 2000. https://doi.org/10.1099/vir.0.000201
- Wang J., Wu Y., Ma C. et al. // PNAS. 2013. V. 110 (4). P. 1315. https://doi.org/10.1073/pnas.1216526110
- Nieto-Torres J.L., Verdia-Baguena C., Castano-Rodriguez C. et al. // Viruses. 2015. V. 7. P. 3552. https://doi.org/10.3390/v7072786
- Liang R., Swanson J.M.J., Madsen J.J. et al. // PNAS. 2016. V. 113 (45). P. 6955. https://doi.org/10.1073/pnas.1615471113
- Duong-Ly K.C., Nanda V., Degrado W.F. et al. // Protein Sci. 2005. V. 14 (4). P. 856. https://doi.org/10.1110/ps.041185805
- Krejcova L., Michalek P., Hynek D. et al. // J. Metallomics Nanotechnol. 2015. V. 1. P. 13.
- Sakaguchi T., Leser G.P., Lamb R.A. // J. Cell. Biol. 1996. V. 133 (4). P. 733. https://doi.org/10.1083/jcb.133.4.733
- Ichinohe T., Pang I.K., Iwasaki A. // Nat. Immunol. 2010. V. 11 (5). P. 404. https://doi.org/10.1038/ni.1861
- Rossman J.S., Lamb R.A. // Virology. 2011. V. 411 (2). P. 229. https://doi.org/10.1016/j.virol.2010.12.003
- Mould J.A., Li H.C., Dudlak C.S. et al. // J. Biol. Chem. 2000. V. 275 (12). P. 8592. https://doi.org/10.1074/jbc.275.12.8592
- Tang Y., Zaitseva F., Lamb R.A. et al. // J. Biol. Chem. 2002. V. 277 (42). P. 39880. https://doi.org/10.1074/jbc.M206582200
- Miao Y., Fu R., Zhou H.X. et al. // Structure. 2015. V. 23 (12). P. 2300. https://doi.org/10.1016/j.str.2015.09.011
- Hu F., Luo W., Hong M. // Science. 2010. V. 330 (6003). P. 505. https://doi.org/10.1126/science.1191714
- Venkataraman P., Lamb R.A., Pinto L.H. // J. Biol. Chem. 2005. V. 280 (22). P. 21463. https://doi.org/10.1074/jbc.M412406200
- Acharya R., Carnevale V., Fiorin G. et al. // PNAS. 2010. V. 107 (34). P. 15075. https://doi.org/10.1073/pnas.1007071107
- Thomaston J.L., Alfonso-Prieto M., Woldeyes R.A. et al. // PNAS. 2015. V. 112 (46). P. 14260. https://doi.org/10.1073/pnas.1518493112
- Holsinger L.J., Nichani D., Pinto L.H. et al. // J. Virol. 1994. V. 68 (3). P. 1551. https://doi.org/10.1128/JVI.68.3.1551-1563.1994
- Rossman J.S., Jing X., Leser G.P. et al. // Cell. 2010. V. 142 (6). P. 902. https://doi.org/10.1016/j.cell.2010.08.029
- Stouffer A.L., Acharya R., Salom D. et al. // Nature. 2008. V. 451. P. 596. https://doi.org/10.1038/nature06528
- Schnell J.R., Chou J.J. // Nature. 2008. V. 451. P. 591. https://doi.org/10.1038/nature06531
- Pielak R.M., Chou J.J. // Biomembranes. 2011. V. 1808 (2). P. 522. https://doi.org/10.1016/j.bbamem.2010.04.15
- Arroyo M., Beare A.S., Reed S.E. et al. // J. Antimicrob. Chemother. 1975. V. 1 (4 Suppl). P. 87. https://doi.org/10.1093/jac/1.suppl_4.87
- Vorobjev Y.N. // J. Biomol. Struct. Dyn. 2020. V. 39 (7). P. 2352. https://doi.org/10.1080/07391102.2020.1747550
- Dobson J., Whitley R.J., Pocock S. et al. // Lancet. 2015. V. 385 (9979). P. 1729. https://doi.org/10.1016/S0140-6736(14)62449-1
- Golan D.E., Armstrong E.J., Armstrong A.W. // Principles of pharmacology: the pathophysiologic basis of drug therapy. 4th ed. Philadelphia: Wolters Kluwer, 2017. P. 142, 199, 205t, 224t, 608, 698.
- Hay A.J., Wolstenholme A.J., Skehel J.J. et al. // EMBO J. 1985. V. 4. P. 3021. https://doi.org/10.1002/j.1460-2075.1985.tb04038.x
- Wang C., Takeuchi K., Pinto L.H. et al. // J. Virol. 1993. V. 67 (9). P. 5585. https://doi.org/10.1128/jvi.67.9.5585-5594.1993
- Sansom M.S., Kerr I.D. // Protein Eng. 1993. V. 6 (1). P. 65. https://doi.org/10.1093/protein/6.1.65
- Duff K.C., Gilchrist P.J., Saxena A.M. et al. // Virology. 1994. V. 202 (1). P. 287. https://doi.org/10.1006/viro.1994.1345
- Gandhi C.S., Shuck K., Lear J.D. et al. // J. Biol. Chem. 1999. V. 274 (9). P. 5474. https://doi.org/10.1074/jbc.274.9.5474
- Cady S.D., Mishanina T.V., Hong M. // J. Mol. Biol. 2009. V. 385 (4). P. 1127. https://doi.org/10.1016/j.jmb.2008.11.022
- Pielak R.M., Schnell J.R., Chou J.J. // Proc. Natl. Acad. Sci. 2009. V. 106. P. 7379. https://doi.org/10.1073/pnas.0902548106
- Bright R.A., Medina M.J., Xu X. et al. // Lancet. 2005. V. 366 (9492). P. 1175. https://doi.org/10.1016/S0140-6736(05)67338-2
- Дерябин П.Г., Гараев Т.М., Финогенова М.П. и др. // Вопросы вирусологии. 2019. Т. 64. Вып. 6. С. 268.
- Шибнев В.А., Гараев Т.М., Финогенова М.П. и др. // Химико-фармацевтический журнал. 2012. Т. 46. Вып. 1. С. 36.
- Дерябин П.Г., Гараев Т.М., Финогенова М.П. и др. // Бюллетень экспериментальной биологии и медицины. 2014. Т. 157 (1). С. 73.
- Garaev T.M., Odnovorov A.I., Lashkov A.A. et al. // Adv. Pharm. Bull. 2021. V. 11 (4). P. 700. https://doi.org/10.34172/apb.2021.079
- Thomaston J.L., Polizzi N.F., Konstantinidi A. et al. // J. Am. Chem. Soc. 2018. V. 140 (45). P. 15219. https://doi.org/10.1021/jacs.8b06741
- Thomaston J.L., Konstantinidi A., Liu L. et al. // Biochemistry. 2020. V. 59 (4). P. 627. https://doi.org/10.1021/acs.biochem.9b00971
- Thomaston J.L., Woldeyes R.A., Nakane T. et al. // PNAS. 2017. V. 114 (51). P. 13357. https://doi.org/10.1073/pnas.1705624114
- Thomaston J.L., Wu Y., Polizzi N. et al. // J. Am. Chem. Soc. 2019. V. 141 (29). P. 11481. https://doi.org/10.1021/jacs.9b02196
Supplementary files







