Структура и проводимость допированных литием флюоритоподобных молибдатов Nd5Mo3O16
- Авторы: Орлова Е.И.1,2, Трухачева М.П.1,2, Сорокин Т.А.2, Кварталов В.Б.2, Антипин А.М.2, Лысков Н.В.3,4, Харитонова E.П.1,2, Новикова Н.Е.2, Сорокина Н.И.2, Алексеева О.А.2, Воронкова В.И.1
-
Учреждения:
- Московский государственный университет им. М.В. Ломоносова
- Институт кристаллографии им. А.В. Шубникова Курчатовского комплекса кристаллографии и фотоники НИЦ “Курчатовский институт”
- Федеральный исследовательский центр проблем химической физики и медицинской химии РАН
- Национальный исследовательский университет “Высшая школа экономики”
- Выпуск: Том 69, № 2 (2024)
- Страницы: 259-267
- Раздел: СТРУКТУРА НЕОРГАНИЧЕСКИХ СОЕДИНЕНИЙ
- URL: https://journal-vniispk.ru/0023-4761/article/view/259690
- DOI: https://doi.org/10.31857/S0023476124020092
- EDN: https://elibrary.ru/YSZPIN
- ID: 259690
Цитировать
Полный текст
Аннотация
Редкоземельные молибденсодержащие оксиды номинального состава
LixNd5 – xMo3O16 ± δ (x = 0, 0.05, 0.15, 0.25) со структурой, производной от флюорита, были впервые получены в виде монокристаллов из раствора в расплаве и твердофазным синтезом на воздухе в виде поликристаллических образцов. Новые фазы охарактеризованы методами рентгенофазового анализа, синхронного термического анализа и импедансной спектроскопии. Рентгеноструктурный анализ показал, что атомы лития локализуются вблизи позиций атомов редкоземельного катиона. Химическая формула исследованного монокристалла Li0.216Nd4.784Mo3O14.1 + δ. Небольшое содержание лития не оказало существенного влияния на способность исследуемых фаз к диссоциативному поглощению воды, но привело к снижению общей проводимости литированных керамик LixNd5 – xMo3O16 ± δ.
Полный текст
ВВЕДЕНИЕ
Кислород-ионные проводники имеют большое значение для применения в различных устройствах, таких как, например, высокотемпературные топливные элементы и датчики кислорода. Редкоземельные молибденсодержащие оксиды Ln5Mo3O16 + δ (Ln = La–Gd, d = 0–0.5) [1–3] с кубической флюоритоподобной структурой (пр. гр. Pnn) являются перспективными материалами для электродов симметричных твердооксидных топливных элементов [4]. Катионы молибдена в этих фазах меняют степень окисления при изменении парциального давления кислорода, кристаллическая структура соединений сохраняется. Электронные дефекты с изменением степени окисления молибдена создаются в соответствии с квазихимической реакцией, записанной в обозначениях Крегера–Винка [5]:
,
где – атом кислорода в регулярной позиции, – вакансия кислорода, g обозначает газофазную частицу, e' – электронный дефект. Таким образом, выход кислорода в газовую фазу из регулярного узла решетки сопровождается образованием вакансии кислорода и соответствующего количества электронов. Эти электроны локализуются на молибдене, под воздействием внешнего поля они могут делокализоваться и обеспечить электронную проводимость. Квазихимическая реакция может быть записана также в следующем виде:
,
где – атом кислорода в регулярной позиции, – вакансия кислорода, – атом молибдена Mo6+ в регулярной позиции, – атом молибдена Mo5+ в регулярной позиции.
Вследствие переменной валентности молибдена содержание кислорода в соединениях Ln5Mo3O16 + δ изменяется в пределах d = 0–0.5. Величина d характеризует избыток анионов кислорода вне основных позиций, отвечающий за анионную проводимость. При частичном восстановлении катионов молибдена (Mo6+ → Mo5+) появляется электронный вклад в смешанную кислородно-электронную проводимость фаз Ln5Mo3O16 + δ, достигающую 10–2 См/см при 700°С [2, 3, 6–8]. В [3] при исследовании соединения Nd5Mo3O16 + δ отмечено, что электронный вклад в проводимость уменьшается при увеличении температуры, при 700°С доля электронной проводимости близка к 10%. В ряде работ [3, 6] отмечена термомеханическая совместимость соединений Pr5Mo3O16 + δ и Nd5Mo3O16 + δ со стандартными твердыми электролитами.
Семейство редкоземельных фаз Ln5Mo3O16 + δ близко по структуре к соединению CdTm4Mo3O16 [9], производному от флюорита. Катионы молибдена в структуре преимущественно находятся в тетраэдрах, а катионы лантаноида занимают две симметрично-независимые позиции Ln13+ и Ln23+ в восьмивершинниках – искаженных кубах. Тетраэдры МоО4 не имеют общих ионов кислорода и изолированы друг от друга. В работах [10–12], проведенных на беспримесных и допированных монокристаллах Ln5Mo3O16 + δ (Ln = Nd, Pr), было показано, что структура этих соединений имеет ряд особенностей. К ним относится возможность взаимозамещения катионов Mo и Ln, что приводит к расщеплению позиций катионов редкоземельных металлов, молибдена и кислорода. Кроме того, в структуре соединений Ln5Mo3O16 + δ обнаружены большие октаэдрические полости (интерстиции). В [12] экспериментально показано, что в этих межузельных полостях структуры локализован сверхстехиометрический кислород, содержание которого составляет δ. Расчет энергии активации ионов кислорода [13] указывает на высокую вероятность их перескоков между позициями в полостях структуры и расщепленными базовыми позициями, что создает энергетически выгодные пути для миграции ионов кислорода. Количество межузельного сверхстехиометрического кислорода и наличие вакансий в базовой анионной подрешетке влияют на механизм анионной составляющей проводимости флюоритоподобных соединений Ln5Mo3O16 + δ – при уменьшении величины δ смешанный интерстиционно-вакансионный механизм становится вакансионным. В [12, 14, 15] было отмечено, что при допировании редкоземельного молибдата состава Nd5Mo3O16 + δ гетеровалентными примесями, приводящими к уменьшению количества межузельного кислорода и возникновению кислородных вакансий в структуре, кислородная проводимость соединений уменьшается на 1–2 порядка по сравнению с беспримесным соединением Nd5Mo3O16 + δ.
Таким образом, кислородную составляющую проводимости фаз Ln5Mo3O16 + δ можно регулировать либо изменением парциального давления кислорода во внешней среде, либо с помощью гетеровалентного допирования редкоземельных катионов Ln или молибдена.
К интересным результатам привело одновременное катионное и анионное допирование фаз Ln5Mo3O16 + δ [16]. В серии исследований [17–19] было показано, что частичная замена редкоземельного элемента на литий, а кислорода на фтор приводит к возникновению в таких соединениях обратимого фазового перехода, сопровождающегося скачком проводимости. Сообщалось о гигроскопических и протонпроводящих свойствах фторированных фаз LiLn4Mo3O15F (Ln = La, Pr, Nd), природа которых, предположительно, связана с освобождением полостей структуры от кислорода и заполнением их водой. В [18] было отмечено, что беспримесные фазы Sm5Mo3O16 + δ, полости которых заселены сверхстехиометрическим кислородом, не проявляют способности к диссоциативному поглощению воды.
В настоящей работе продолжено исследование влияния гетеровалентных замещений на проводящие свойства соединений Ln5Mo3O16 + δ. Для этой цели впервые получены литированные фазы номинального состава LixNd5 – xMo3O16 ± δ в виде керамик и монокристаллов. Ожидалось, что введение одновалентного лития окажет влияние на проводимость и приведет к возникновению гигроскопических свойств таких материалов. Способность материалов к диссоциативному поглощению воды из газовой фазы является необходимым условием возникновения в них протонного переноса. Особый интерес представляло исследование атомной структуры новых соединений, которая впервые изучена с помощью рентгеноструктурного анализа (РСА) при температурах 293 и 85 К.
ЭКСПЕРИМЕНТАЛЬНАЯ ЧАСТЬ
Поликристаллические образцы LixNd5 – xMo3O16 ± δ (x = 0, 0.05, 0.15, 0.25) были получены на воздухе твердофазным синтезом с использованием оксидов неодима, молибдена и карбоната лития чистоты 99.99%. Оксид неодима предварительно обжигали при температуре 1000°С в течение суток для удаления воды и углекислого газа. С помощью гидравлического пресса с нагрузкой до 100 кг/см3 формировали таблетки нужного состава, которые затем обжигали при температурах 800 и 1150°C в течение суток с промежуточным растиранием и повторным прессованием. Скорость нагрева и охлаждения составляла 300 град/ч. Была оценена плотность синтезированных поликристаллических образцов методом гидростатического взвешивания в толуоле, которая составила в среднем 95% от теоретической (рентгеновской) плотности для всех керамик.
Литированные монокристаллы номинального состава LiyNd5 – yMo3O16 ± δ были получены методом спонтанной кристаллизации из раствора в расплаве в системе Nd2O3–MoO3 с добавлением оксида лития. С помощью высокотемпературной микроскопии был определен оптимальный состав расплава для выращивания кристаллов, который составлял 33 мол. % Nd2O3, 67 мол. % MoO3, 5 мол. % Li2O. Расплав нагревали в платиновом тигле до 1300°С и затем охлаждали со скоростью 1 град/ч до 1050°С. Отмытые горячей водой от растворителя кристаллы представляли собой смесь двух основных фаз. Одна фаза в виде изометричных темно-красных кристаллов с размерами порядка 1–2 мм (рис. 1) имела, предположительно, состав LiyNd5 – yMo3O16 ± δ.
Рис. 1. Фотография монокристалла LiyNd5 – yMo3O16 ± δ, освещенного светодиодной лампой (5600 К)
Рентгенофазовый анализ (РФА) проведен на лабораторном рентгеновском дифрактометре Rigaku Miniflex 600 (CuKα) в интервале углов 2θ = 20°–60° с шагом 0.02°. Для исследований были подготовлены поликристаллические образцы LixNd5 – xMo3O16 ± δ (x = 0, 0.05, 0.15, 0.25) и растертые до мелкодисперсного состояния монокристаллы, предположительно, LiyNd5 – yMo3O16 ± δ. Полученные дифрактограммы обработаны с помощью пакета программ Miniflex Guidance, PDXL-2 с использованием актуальных баз данных ICDD PDF-2 и ICSD/CCDC. Полнопрофильный количественный анализ методом Ритвельда проведен с помощью программы Jana2006 [20]. Уточнение фазовых соотношений выполнено путем последовательного добавления уточняемых параметров от наиболее стабильных к коррелирующим при постоянном графическом моделировании фона до стабилизации значений R-факторов. Уточненные параметры элементарных ячеек по результатам РФА представлены в табл. 1.
Таблица 1. Параметры элементарных ячеек по результатам рентгенофазового анализа
Параметр | Поликристаллический образец | Монокристаллический образец |
Основная фаза LixNd5 – xMo3O16 ± δ | Основная фаза LiyNd5 – yMo3O16 ± δ | |
Пр. гр. | Pnn | |
a, Å | 11.0276(1) | 11.0268(1) |
| Побочная фаза LiNdMo2O8 | |
Пр. гр. | I41/a | |
a, c, Å | 5.2733(1), 11.5744(1) | 5.2714(1), 11.5658(1) |
Концентрация ионов лития в монокристаллах LiyNd5 – yMo3O16 ± δ измерена методом масс-спектрометрии с индуктивно связанной плазмой (ИСП-МС) на спектрометре iCapQс (Thermo Scientific, США). Для исследования отобраны монокристаллические образцы, масса навески 0.012 г. Разложение монокристаллов проведено в системе: H2SO4 (2 мл) + H3PO4 (2 мл) в микроволновом автоклаве при температуре 240°С в течение 1.5 ч, время подъема температуры 55 мин. В процессе пробоподготовки использованы одноразовые пластиковые колбы объемом 15 и 50 мл, деионизированная вода (с остаточным сопротивлением 18.2 МОм), серная (H2SO4 96%, EMSUREISO, Merck), ортофосфорная (H3PO4 85%, ACROS) и азотная (HNO3 65%, EMSURE ISO, Merck) кислоты, сертифицированные для ИСП-МС-анализа, а также система микроволнового разложения CEM Mars 6. Калибровка проведена с помощью стандартного многоэлементного раствора MS-68 Solution A. Для контроля чувствительности относительно матричного эффекта были использованы аликвоты растворов Sc (2 млрд–1) и In (2 млрд–1). Калибровка, элементный анализ и коррекция спектральных наложений были выполнены с помощью программы QTegraThermoFisher. Для получения наиболее точного и воспроизводимого результата исследование проведено трижды.
Интенсивности дифракционных отражений от монокристаллов LiyNd5 – yMo3O16 ± δ размером не более 0.3 мм измеряли при температурах 293 и 85 К на рентгеновском дифрактометре XtaLAB Synergy R (Rigaku Oxford Diffraction). Экспериментальные данные обработаны с помощью программы CrysAlisPro [21]. Поглощение скорректировано с учетом формы и размеров образца с применением метода численного интегрирования Гаусса [21]. Кристаллографические расчеты (ввод поправки на аномальное рассеяние, усреднение эквивалентных по симметрии отражений) осуществляли с использованием комплекса программ Jana2006 [20]. Координаты атомов неодима, молибдена и кислорода О1 и О2, которые находятся в базовых кристаллографических позициях, найдены методом charge flipping по программе Superflip [22]. Координаты атомов лития и кислорода О3 в межузельной позиции найдены в результате анализа разностных синтезов Фурье электронной плотности, рассчитанных на заключительном этапе уточнения структурной модели. Структурные параметры кристаллов уточнены методом наименьших квадратов в полноматричном варианте. Основные кристаллографические характеристики, данные эксперимента и результаты уточнения структуры приведены в табл. 2. Информация об исследованной структуре депонирована в банк структурных данных Кембриджского кристаллографического центра (CCDC 2313424, 2313425).
Таблица 2. Кристаллографические характеристики, данные эксперимента и результаты уточнения структуры соединения номинального состава LiyNd5 – yMo3O16 ± δ
Химическая формула | Li0.216Nd4.784Mo3O14.1 + δ | ||
Система, пр. гр., Z | Кубическая, , 4 | ||
Т, К | 293 | 85 | |
а, Å | 11.0322(1) | 11.0121(1) | |
V, Å3 | 1342.72(1) | 1335.40(1) | |
D, г/см3 | 5.947 | 5.979 | |
Излучение; λ, Å | MoKα; 0.71073 | ||
μ, мм–1 | 20.92 | 21.03 | |
Размер образца, мм | 0.167 × 0.233 × 0.311 | ||
Дифрактометр | XtaLAB Synergy R | ||
Тип сканирования | ω | ||
Учет поглощения Тmin, Tmax | 0.036, 0.268 | 0.051, 0.308 | |
qmax, град | 70.09 | 70.19 | |
Пределы h k l | –28 ≤ h ≤ 29, –28 ≤ k ≤ 28, –29 ≤ l ≤ 28 | –28 ≤ h ≤ 29, –28 ≤ k ≤ 28, –28 ≤ l ≤ 29 | |
Число отражений: измеренных/ независимых, Rуср. / I > 3σ(I) | 345450/2195, 0.12/255 | 352617/2004, 0.11/259 | |
Метод уточнения | МНК по F | ||
Число уточняемых параметров | 21 | ||
R(|F|)/wR(|F|) | 0.0163/0.0263 | 0.0148/0.0258 | |
S | 2.47 | 2.43 | |
Δρmin/Δρmax, э/Å3 | –1.15/0.7 | –0.94/0.61 | |
Тепловые свойства полученных монокристаллических и поликристаллических образцов изучали методами дифференциальной сканирующей калориметрии (ДСК) и термогравиметрии в атмосфере воздуха на оборудовании NETZSCH STA 449C в интервале температур 20–1000°С при скорости нагрева и охлаждения 300 град/ч.
Для исследования электрофизических свойств полученных соединений использовали метод импедансной спектроскопии. На поликристаллические образцы состава LixNd5 – xMo3O16 ± δ (x = 0, 0.15) предварительно наносили платиновые электроды путем вжигания платиновой пасты при температуре 700°С в течение 1 ч, скорость нагрева и охлаждения печи составляла 300 град/ч. Измерения проводили на потенциостате/гальваностате P-5X (Electrochemical Instruments Ltd) в диапазоне частот 0.1 Гц–500 кГц в интервале температур 400–900°C в сухой и влажной атмосферах. Амплитуда сигнала составляла 150 мВ. Обработку спектров импеданса проводили с помощью программы ZView Version 3.2b.
РЕЗУЛЬТАТЫ И ИХ ОБСУЖДЕНИЕ
На рис. 2 представлены порошковые дифрактограммы, полученные для монокристаллов номинального состава LiyNd5 – yMo3O16 ± δ и керамик LixNd5 – xMo3O16 ± δ (x = 0, 0.05, 0.15, 0.25). Поликристаллические образцы с x = 0 и 0.05 (рис. 2, кривые 2, 3) изоструктурны. При х = 0.15 (рис. 2, кривая 4) появляется пик второй фазы (θ = 28.47°), интенсивность которого возрастает с увеличением количества лития в образце (рис. 2, кривая 5). Плотность, измеренная гидростатическим взвешиванием в толуоле, составила в среднем 95% от теоретической (рентгеновской) плотности для всех синтезированных керамик.
Рис. 2. Дифрактограммы монокристаллических образцов номинального состава LiyNd5 – yMo3O16 ± δ (1) и керамик LixNd5 – xMo3O16 ± δ, х: 0 (2), 0.05 (3), 0.15 (4), 0.25 (5)
Полнопрофильный количественный анализ проведен для литированной монокристаллической фазы LiyNd5 – yMo3O16 ± δ и поликристаллического образца LixNd5 – xMo3O16 ± δ (x = 0.15). В результате анализа в составе каждого образца достоверно установлены две кристаллические фазы – искомая флюоритоподобная фаза, а также ранее изученная фаза LiNdMo2O8 [23] (табл. 1). Полученные результаты хорошо согласуются с новыми экспериментальными и литературными данными. Соотношения основной и побочной фаз приведены к 100% и составляют 89.2(3) и 10.8(3)% для поликристаллического образца и 98.1(3) и 1.9(3)% для перетертого монокристалла.
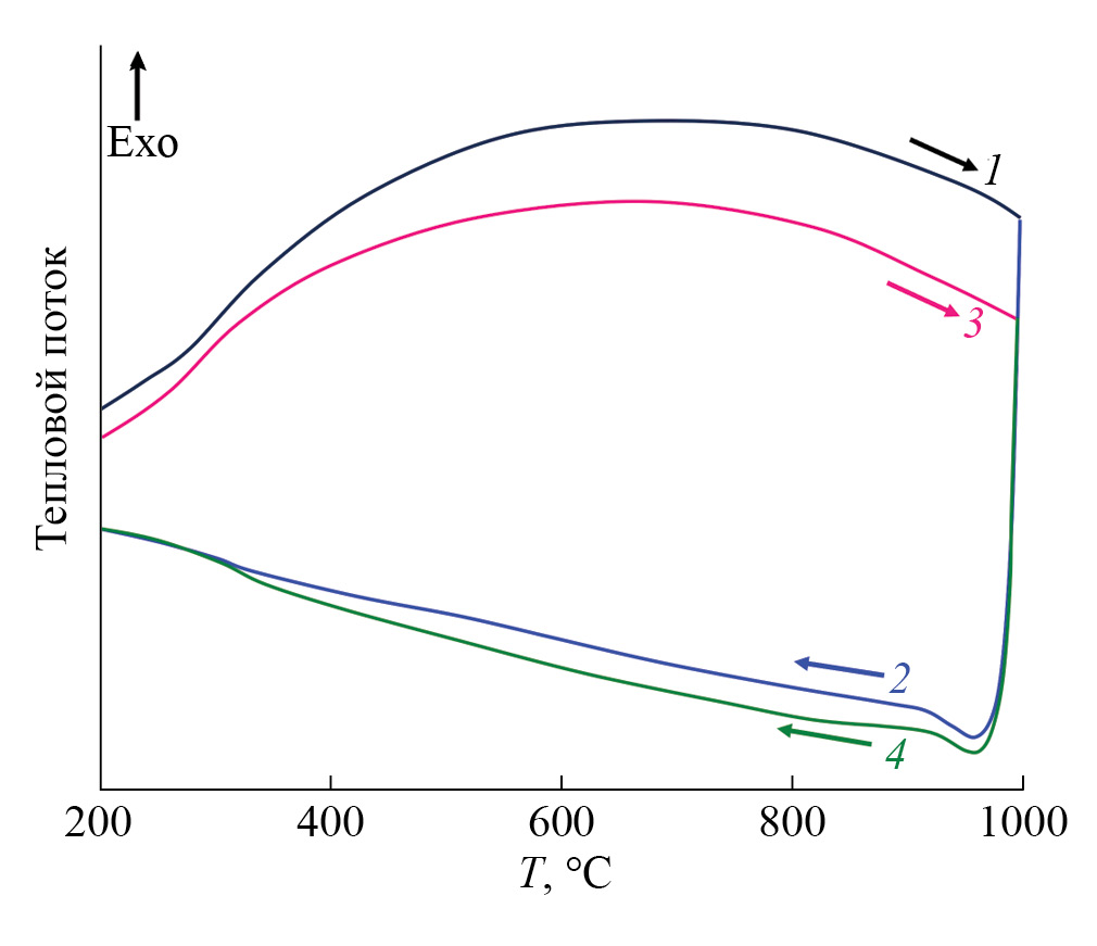
ИСП-МС-анализ монокристаллических образцов номинального состава LiyNd5 – yMo3O16 ± δ подтвердил присутствие катионов лития в анализируемом растворе в количестве 1228.8, 1165.3 и 1210.6 мкг в пересчете на 1 г навески для трех повторений соответственно. Для расчета химической формулы соединения использовано усредненное по трем измерениям значение концентрации 0.12016 мас. %. Стандартное отклонение не превышает 5%. Исходя из электронейтральности соединения и с учетом возможного присутствия в структуре катионов Mo5+ вычислена химическая формула . Исследование монокристаллических и поликристаллических образцов методом ДСК не выявило каких-либо аномалий во всей исследуемой области температур (рис. 3). Отметим, что в фазах состава LiLn4Mo3O15F (Ln = La–Eu) наблюдался [17–19] обратимый фазовый переход, природа которого, очевидно, связана с фторированием таких флюоритоподобных соединений.
Рис. 3. Данные ДСК для монокристаллических образцов (1 – нагрев, 2 – охлаждение) и керамик LixNd5 – xMo3O16 ± δ, x = 0.05 (3 – нагрев, 4 – охлаждение)
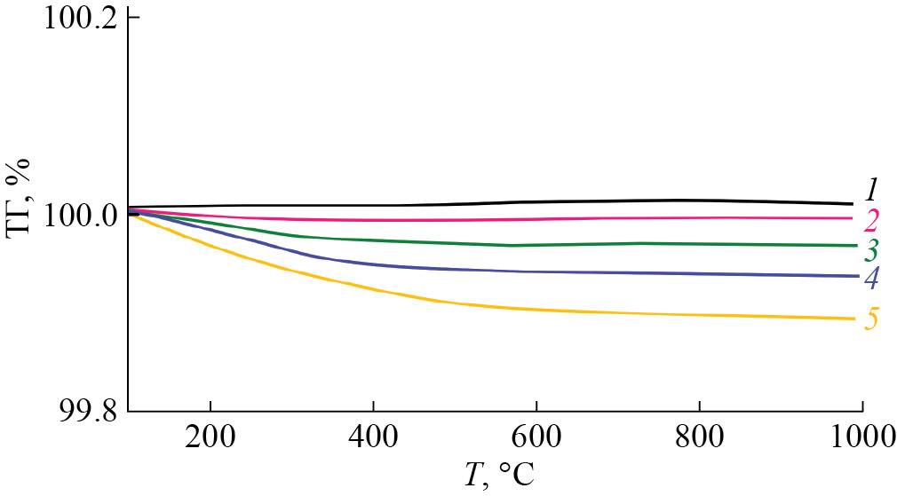
Для проверки гигроскопических свойств исследуемых фаз образцы беспримесных и литированных монокристаллов составов Nd5Mo3O16+δ и , а также керамики LixNd5 – xMo3O16 ± δ (x = 0, 0.05, 0.15) были выдержаны две недели в дистиллированной воде при комнатной температуре. Затем образцы сушили на воздухе в течение суток для удаления воды с поверхности, после чего нагревали в атмосфере воздуха в интервале температур от комнатной до 1000°С (рис. 4). Как беспримесный, так и литийсодержащий монокристаллические образцы демонстрируют потери массы (кривые 1, 2). Возможно, что малое содержание лития в структуре соединений не оказало существенного влияния на способность исследуемых фаз к абсорбции воды. Наблюдаются потери массы всех поликристаллических образцов (кривые 3–5) в диапазоне до 300–400°С, связанные с испарением воды из пор керамик, что хорошо согласуется с полученными значениями коэффициентов пористости образцов.
Рис. 4. Данные термогравиметрии (ТГ) для монокристаллических образцов, исходного Nd5Mo3O16 + δ (1) и литированного (2), а также керамик LixNd5 – xMo3O16 ± δ, х: 0 (3), 0.05 (4), 0.15 (5)
Строение монокристаллов LiyNd5 – yMo3O16 ± δ изучено методом РСА при температурах 293 и 85 К. При понижении температуры структурный фазовый переход не выявлен. Поиск элементарной ячейки в исследованном монокристалле завершился выбором кубической ячейки с параметром a = 11.0322(1) Å при комнатной температуре, что позволило проиндицировать более 83.26% измеренных рефлексов, и a = 11.0121(1) Å при 85 К, что позволило проиндицировать более 85% измеренных рефлексов. Полученные параметры элементарной ячейки соотносятся с параметром элементарной ячейки флюорита CaF2 как a ≈ 2af (af = 5.5 Å). Элементарная ячейка кубической решетки LiyNd5 – yMo3O16 ± δ содержит пять независимых в группе симметрии Pn n основных атомных позиций: Nd1, смешанную (Nd2, Li2), Mo, O1 и O2, и одну межузельную позицию O3 (рис. 5). На этапе уточнения координат и тепловых параметров атомов Nd1, Nd2, Mo, О1, O2 в анизотропном приближении и О3 в изотропном приближении были уточнены параметры заселенности атомами Nd1, Nd2 и Mo своих кристаллографических позиций и выявлена неполная заселенность позиции атома Nd2. Уточнение заселенности смешанной позиции атомами Nd2 и Li2 осуществляли в предположении, что она заселена совместно атомами неодима и лития на 100%. Получены следующие значения заселенности позиции атомами неодима и лития в структуре: Nd2 – 89.2(2)%, Li2 – 10.8%.
Рис. 5. Проекция кристаллической структуры Li0.216Nd4.784Mo3O14.1 + δ на плоскость bc
Обращает на себя внимание тот факт, что атомы примеси (лития) не входят в позицию Nd1, как и в полученных ранее соединениях Nd5Mo3O16 + δ, легированных атомами свинца [12] или кальция [14]. Таким образом, независимо от размера катиона примеси, входящей в структуру соединения Nd5Mo3O16 + δ, ей свойственно замещение редкоземельного элемента только в одной из двух его кристаллографических позиций в структуре, а именно Nd2. Полученная по значениям заселенности позиций атомов химическая формула исследованного монокристалла Li0.216Nd4.784Mo3O14.1 + δ соответствует данным ИСП-МС о количественном составе катионов в структуре. Что касается содержания атомов кислорода в образце, то следует отметить, что в структуре изученного монокристалла частная позиция О1 (16f) заселена с вероятностью 100%, в общей позиции О2 (48i) есть вакансии (qO2 = 0.83(2)), а заселенность позиции О3 (2а) ~0.14(2). Для электронейтральности химической формулы исследованного соединения недостаточно количества атомов кислорода, которые локализованы в основных кристаллографических позициях и в межузельной позиции. Анализ разностных синтезов электронной плотности, построенных на заключительном этапе уточнения структурной модели, выявил остаточные пики электронной плотности на расстоянии ~0.6 Å от атома О2. К сожалению, локализовать и уточнить эти позиции было невозможно.
Температурные зависимости проводимости беспримесного и литированного поликристаллических образцов LixNd5 – xMo3O16 ± δ (x = 0, 0.15), полученные в сухом и влажном воздухе, показаны на рис. 6. В области высоких температур проводимость беспримесных фаз превышает 10–2 См/см, что согласуется с данными [2, 3]. Допирование керамик литием привело к незначительному снижению их общей проводимости за счет появления кислородных вакансий в структуре и небольшого уменьшения количества межузельного кислорода. Тем не менее, поскольку концентрация лития в фазах невелика, заметного ухудшения транспортных характеристик не наблюдается. Также не изменяются величина и характер проводимости соединений LixNd5 – xMo3O16 ± δ (x = 0, 0.15) при переходе к измерениям во влажной атмосфере.
Рис. 6. Температурные зависимости проводимости керамик Li0.216Nd4.784Mo3O14.1 + δ при x = 0, 0.15 (темные и светлые символы соответственно), измеренные в сухом (закрашенные символы) и влажном (пустые символы) воздухе
ЗАКЛЮЧЕНИЕ
Впервые в виде керамик и монокристаллов синтезированы литированные редкоземельные молибденсодержащие оксиды состава LixNd5 – xMo3O16 ± δ (x = 0, 0.05, 0.15, 0.25). Новые фазы охарактеризованы с помощью РФА, термогравиметрии, ДСК и импедансной спектроскопии. Оценена относительная плотность керамик, которая составила 95% от теоретической (рентгеновской) плотности для всех образцов. Рентгеноструктурный анализ монокристаллических образцов показал, что атомы лития локализуются вблизи позиций атомов неодима. Полученная по значениям заселенности кристаллографических позиций атомов химическая формула исследованного монокристалла Li0.216Nd4.784Mo3O14.1 + δ, что соответствует данным ИСП-МС. Небольшая концентрация лития в исследуемых фазах не повлияла на их способность к диссоциативному поглощению воды и протонному переносу, но привела к незначительному снижению общей проводимости литированных керамик.
Работа выполнена при поддержке Российского научного фонда (грант № 23-12-00221). Измерения проводимости образцов выполнены в рамках темы государственного задания ФИЦ ПХФ и МХ РАН (номер темкарты FFSG-2024-006).
Об авторах
Е. И. Орлова
Московский государственный университет им. М.В. Ломоносова; Институт кристаллографии им. А.В. Шубникова Курчатовского комплекса кристаллографии и фотоники НИЦ “Курчатовский институт”
Автор, ответственный за переписку.
Email: agapova@polly.phys.msu.ru
Россия, Москва; Москва
М. П. Трухачева
Московский государственный университет им. М.В. Ломоносова; Институт кристаллографии им. А.В. Шубникова Курчатовского комплекса кристаллографии и фотоники НИЦ “Курчатовский институт”
Email: agapova@polly.phys.msu.ru
Россия, Москва; Москва
Т. А. Сорокин
Институт кристаллографии им. А.В. Шубникова Курчатовского комплекса кристаллографии и фотоники НИЦ “Курчатовский институт”
Email: agapova@polly.phys.msu.ru
Россия, Москва
В. Б. Кварталов
Институт кристаллографии им. А.В. Шубникова Курчатовского комплекса кристаллографии и фотоники НИЦ “Курчатовский институт”
Email: agapova@polly.phys.msu.ru
Россия, Москва
А. М. Антипин
Институт кристаллографии им. А.В. Шубникова Курчатовского комплекса кристаллографии и фотоники НИЦ “Курчатовский институт”
Email: agapova@polly.phys.msu.ru
Россия, Москва
Н. В. Лысков
Федеральный исследовательский центр проблем химической физики и медицинской химии РАН; Национальный исследовательский университет “Высшая школа экономики”
Email: agapova@polly.phys.msu.ru
Россия, Черноголовка; Москва
E. П. Харитонова
Московский государственный университет им. М.В. Ломоносова; Институт кристаллографии им. А.В. Шубникова Курчатовского комплекса кристаллографии и фотоники НИЦ “Курчатовский институт”
Email: agapova@polly.phys.msu.ru
Россия, Москва; Москва
Н. Е. Новикова
Институт кристаллографии им. А.В. Шубникова Курчатовского комплекса кристаллографии и фотоники НИЦ “Курчатовский институт”
Email: natnov@crys.ras.ru
Россия, Москва
Н. И. Сорокина
Институт кристаллографии им. А.В. Шубникова Курчатовского комплекса кристаллографии и фотоники НИЦ “Курчатовский институт”
Email: agapova@polly.phys.msu.ru
Россия, Москва
О. А. Алексеева
Институт кристаллографии им. А.В. Шубникова Курчатовского комплекса кристаллографии и фотоники НИЦ “Курчатовский институт”
Email: agapova@polly.phys.msu.ru
Россия, Москва
В. И. Воронкова
Московский государственный университет им. М.В. Ломоносова
Email: agapova@polly.phys.msu.ru
Россия, Москва
Список литературы
- Hubert P.-H., Michel P., Thozet A. // Compt. Rend. Acad. Sc. Paris. 1973. V. 276. P. 1779.
- Tsai M., Greenblatt M., McCarroll W.H. // Chem Mater. 1989. V. 1. P. 253. https://doi.org/10.1021/cm00002a017
- Voronkova V.I., Leonidov I.A., Kharitonova E.P. et al. // J. Alloys Compd. 2014. V. 615. P. 395. https://doi.org/10.1016/j.jallcom.2014.07.019
- Lyskov N.V., Kotova A.I., Petukhov D.I. et al. // Russ. J. Electrochem. 2022. V. 58. № 11. P. 989. https://doi.org/10.1134/S102319352211009X
- Крегер Ф. Химия несовершенных кристаллов. М.: Мир, 1969. 654 с.
- Istomin S.Y., Kotova A.I., Lyskov N.V. et al. // Russ. J. Inorg. Chem. 2018. V. 63. № 10. P. 1291. https://doi.org/10.1134/S003602361810008X
- Lyskov N.V., Kotova A.I., Istomin S.Y. et al. // Russ. J. Electrochem. 2020. V. 56. № 2. P. 93. https://doi.org/10.1134/S102319352002010X
- Jacas Biendicho J., Playford H.Y., Rahman S.M.H. et al. // Inorg. Chem. 2018. V. 57. № 12. P. 7025. https://doi.org/10.1021/acs.inorgchem.8b00734
- Faurie J.P., Kohlmuller R. // Rev. Chim. Min. 1971. V. 8. P. 241.
- Martínez-Lope M.J., Alonso J.A., Sheptyakov D. et al. // J. Solid State Chem. 2010. V. 183. № 12. P. 2974. https://doi.org/10.1016/j.jssc.2010.10.015
- Alekseeva O.A., Gagor A.B., Pietraszko A. et al. // Z. Kristallogr. 2012. V. 227. № 12. P. 869. https://doi.org/10.1524/zkri.2012.1563
- Antipin A.M., Sorokina N.I., Alekseeva O.A. et al. // Acta Cryst. B. 2015. V. 71. № 2. P. 186. https://doi.org/10.1107/S2052520615003315
- Алексеева О.А. Дис. “Прецизионный рентгеноструктурный анализ локальных атомных конфигураций, определяющих физические свойства монокристаллов сложных оксидов”… д-ра физ.-мат. наук. М.: НИЦ “КИ”, 2022.
- Voronkova V.I., Kharitonova E.P., Orlova E.I. et al. // J. Alloys Compd. 2016. V. 673. P. 314. https://doi.org/10.1016/j.jallcom.2016.03.013
- Voronkova V.I., Kharitonova E.P., Orlova E.I. // Crystallography Reports. 2018. V. 63. P. 127. https://doi.org/10.1134/S1063774518010212
- Faurie J.P. // Bull. Soc. Chim. Fr. 1971. V. 11. P. 3865.
- Voronkova V., Kharitonova E., Orlova E. et al. // J. Am. Ceram. Soc. 2020. V. 103. № 11. P. 6414. https://doi.org/10.1111/jace.17374
- Orlova E.I., Sorokin T.A., Baldin E.D. et al. // J. Solid State Chem. 2023. V. 324. P. 124078. https://doi.org/10.1016/j.jssc.2023.124078
- Orlova E., Sorokin T., Pustovit A. et al. // New J. Chem. 2023. V. 47. № 40. P. 18729. https://doi.org/10.1039/D3NJ03033D
- Petřiček V., Dušek M., Palatinus L. // Z. Kristallogr. 2014. V. 229. № 5. P. 345. https://doi.org/10.1515/zkri-2014-1737
- Rigaku Oxford Diffraction, CrysAlisPro Software System, Version 1.171.39.46. 2018. Rigaku Corporation, Oxford, UK.
- Palatinus L. // Acta Cryst. В. 2013. V. 69. P. 1. https://doi.org/10.1107/S2052519212051366
- Kolitsch U. // Z. Kristallogr. 2001. V. 216. № 8. P. 449. https://doi.org/10.1524/zkri.216.8.449.20358
Дополнительные файлы








