Crystals of linear acenes: features of vapor phase growth and some properties
- Authors: Kulishov A.A.1, Yurasik G.A.1, Lyasnikova M.S.1, Lesnikov A.S.1, Postnikov V.A.1
-
Affiliations:
- Shubnikov Institute of Crystallography of Kurchatov Complex of Crystallography and Photonics of NRC “Kurchatov Institute”
- Issue: Vol 69, No 2 (2024)
- Pages: 330-344
- Section: CRYSTAL GROWTH
- URL: https://journal-vniispk.ru/0023-4761/article/view/259744
- DOI: https://doi.org/10.31857/S0023476124020171
- EDN: https://elibrary.ru/YSDOQY
- ID: 259744
Cite item
Full Text
Abstract
The results of the crystallization studies of anthracene, tetracene, and pentacene under conditions of vapor phase transport in growth systems with single- and two-zone thermal fields are presented. The features of the phase behavior and thermal stability of the compounds were studied by using the methods of differential scanning calorimetry and thermogravimetric analysis to establish the heating regimes of substances ensuring crystal growth without damage from chemical degradation. Conditions for growing crystals of centimeter scale (0.2–2 cm) were determined for growth systems with single- and two-zone thermal fields. Based on the grown pentacene crystals, a series of field-effect transistors with top drain/source electrodes and top gate were fabricated and their electrical characteristics were studied.
Full Text
ВВЕДЕНИЕ
Линейные ацены – полициклические ароматические углеводороды, состоящие из линейно сопряженных бензольных колец с общим членом гомологического ряда C4n+2H2n+4. Это одно из наиболее известных семейств сопряженных молекул для применения в органической электронике и фотонике. Низшие ацены – нафталин и антрацен – представляют большой интерес в качестве растворов и кристаллов как сцинтилляционные детекторы [1, 2]. Кристаллы тетрацена и пентацена являются эффективными органическими полупроводниками дырочного типа, которые применяются в качестве активных слоев при изготовлении полевых и светоизлучающих транзисторов [3–8]. Молекулярное строение линейных аценов характеризуется сравнительно простой жесткой формой с ромбической симметрией D2h, а элементарная ячейка кристалла моноклинного (нафталин, антрацен, P21/a) или триклинного (тетрацен, пентацен, P1) типа содержит всего две молекулы, что делает их привлекательными для теоретического моделирования свойств [9–11].
При условии хорошей растворимости соединения, что реализуется для низших аценов, предпочтение отдается методам выращивания из растворов в силу простоты их реализации, а также возможностей масштабирования, управления и контроля. Однако по мере увеличения числа сопряженных бензольных колец в молекуле растворимость соединения снижается по экспоненциальному закону, что значительно осложняет применение растворных методов для выращивания кристаллов тетрацена и пентацена [12]. Тогда для получения масштабных монокристаллов плохо растворимых соединений лучше всего подходят методы выращивания в условиях парового физического транспорта (ПФТ) [13]. В сравнении с растворными методами, в условиях ПФТ кристаллы формируются быстрее и с существенно более низким содержанием примесей. При этом паровые методы выращивания органических кристаллов предъявляют к используемому материалу важное требование: устойчивость соединения к температурам, при которых осуществляется его возгонка, обеспечивающая достаточный для роста кристаллов уровень давления насыщенных паров.
Для выращивания органических кристаллов в условиях ПФТ наиболее распространенным (классическим) вариантом ростовой установки является однозонная печь с градиентным тепловым полем, которое создается с помощью неравномерного шага нагревательной спирали [14, 15]. По такой схеме были получены пластинчатые монокристаллы тетрацена и пентацена размером от 0.2 до 2 см [16–20]. Варианты ростовых установок с несколькими температурными зонами, формирующими ступенчатый профиль теплового поля для выращивания органических кристаллов, в литературе встречаются значительно реже. Например, в [21, 22] представлены результаты исследования органических монокристаллов, выращенных в ростовой печи с двумя температурными зонами. Отметим, что применение двузонной ростовой системы позволяет более точно задавать температурное поле внутри ростовой трубки, что является преимуществом перед классическим однозонным способом выращивания кристаллов. Однако в целом закономерности кристаллизации органических соединений в условиях однозонного и двузонного тепловых полей в настоящее время остаются малоизученными.
Настоящая работа посвящена исследованию закономерностей роста кристаллов антрацена, тетрацена и пентацена в условиях ПФТ при использовании ростовых печей с однозонным и двузонным тепловыми полями. На основе выращенных монокристаллов пентацена изготовлены образцы органических полевых транзисторов (ОПТ) и исследованы их электрические характеристики.
ЭКСПЕРИМЕНТАЛЬНАЯ ЧАСТЬ
Материалы. Для исследований использовали антрацен (99%) и тетрацен (98%) производства Sigma-Aldrich, а также пентацен (99.999%) производства TCI. В качестве инертного газа для продувки ростовой трубы в процессе роста кристаллов использовали аргон (99.9999%, НИИ КМ, Москва).
Дифференциально-сканирующая калориметрия (ДСК) и термогравиметрический анализ (ТГА). Для уточнения температурного диапазона стабильности и характера возгонки исходного кристаллического материала исследовали тепловые свойства методом синхронного термического анализа в диапазоне температур от 293 до 773 К с использованием алюминиевых открытых тиглей. Одновременно измеряли тепловой поток (ДСК) и потерю массы (ТГА) на термоаналитическом комплексе STA 449 F1 (Netzsch, Германия). Эксперименты проводили в потоке аргона (70 мл/мин) при нагревании и охлаждении со скоростью 10 К/мин. Антрацен и пентацен исследовали в исходном мелкокристаллическом состоянии, тетрацен – в виде однократно перекристаллизованных из пара тонкопленочных кристаллов. Масса навесок не превышала 1 мг.
Рост кристаллов. Для исследования роста кристаллов методом ПФТ были задействованы два типа горизонтальных ростовых печей: классическая с одной тепловой зоной, в которой задается градиент температурного поля [13, 15] (рис. 1а); с двумя тепловыми зонами, внутри каждой из которых задается квазиоднородное тепловое поле [20] (рис. 1б). В двузонной ростовой печи горячая зона, или зона испарения (зона 1), используется для возгонки вещества, а холодная (зона 2) – для осаждения кристаллов и задания температурного градиента (рис. 1б). Для каждой зоны использовали отдельную печь сопротивления с независимым управлением по температуре. Ростовую кварцевую трубку диаметром 19 мм, в которой происходило испарение вещества и осаждение кристаллов, помещали внутрь ростовой печи. В ходе экспериментов через ростовую трубку продували инертный газ с расходом ~0.2 л/ч. Рост кристаллов происходил на поверхности кварцевой ростовой трубки или на Al-фольге, выполняющей роль подложки.
Рис. 1. Профили температурного поля внутри ростовой печи с одной (а) и двумя (б) тепловыми зонами
Для антрацена и тетрацена проведены исследования влияния температуры на характер кристаллизации в однозонной ростовой печи. Для роста антрацена температуру источника (TS) задавали в интервале 403–443 K с шагом в 5 K, а также при 453, 473 и 493 K. Для тетрацена проведены исследования при температурах TS в интервале 493–573 K с шагом в 20 K. При каждой температуре проводили по три эксперимента. Период роста кристаллов антрацена и тетрацена во всех экспериментах составлял 5 ч. После завершения ростового эксперимента проводили анализ распределения кристаллов на Al-фольге в привязке к профилю теплового поля внутри ростовой трубки при разных температурах TS внутри источника (рис. 1а). В отдельном эксперименте кристаллы тетрацена длиной до 5 мм были выращены за 72 ч при TS = 488 К [13].
При использовании двузонной ростовой печи для антрацена температура зоны 1 (T1) составляла 433 K, а температуру зоны 2 (T2) изменяли в интервале от 373 до 403 K с шагом 10 K. При исследовании кристаллизации тетрацена температура зоны испарения также была неизменна: T1 = 533 К, а температуру холодной зоны T2 изменяли от 453 до 473 K с шагом 10 К. Период роста кристаллов антрацена и тетрацена во всех опытах составлял τ = 15 ч.
Исследование роста кристаллов пентацена (99.995%, Sigma Aldrich) в одно- и двузонном тепловых полях подробно описано в [20]. В настоящей работе описано исследование роста кристаллов пентацена в условиях двузонного теплового поля с фиксированной температурой горячей зоны T1 = 553 K и с температурами холодной зоны T2 = 513 и 493 K с использованием коммерческого материала от другого производителя (TCI) без предварительной очистки.
Микроскопия. Форму кристаллов и микроморфологию их поверхности исследовали с помощью люминесцентного микроскопа BX 61 (Olympus, Япония), конфокального микроскопа LEXT OLS 3100 (Olympus, Япония) и атомно-силового микроскопа (АСМ) Ntegra Prima (NT-MDT, Россия) в контактном режиме [23]. Полученные АСМ-топограммы обрабатывали и анализировали с помощью программы Gwyddion [24].
Электрические свойства. Исследования электрических свойств выращенных монокристаллов пентацена проводили методом ОПТ в геометрии с верхними контактами и верхним затвором, используя в качестве подзатворного диэлектрика осажденный в вакууме методом парового химического транспорта полимер парилен-С [25, 26] (рис. 2а). В качестве подложки использовали предметное стекло с нанесенным адгезивом для закрепления кристалла. Для электродов стока и истока использовали проводящую пасту на основе графита, которую наносили на кристалл сверху, после чего образец высушивали в течение 1 ч в вакуумном сушильном шкафу при 80°C. На поверхность кристалла с нанесенными электродами при давлении ~10-3 торр осаждали слой подзатворного диэлектрика (парилен-C) толщиной ~0.9 мкм с помощью установки нанесения полимерных покрытий УСП5-23А "Майя" (Лаборатория вакуумного оборудования, Россия). На сформированный слой полимера в области каналов транзисторов описанным выше способом наносили контакт затвора на основе проводящей графитовой пасты. Толщину пленки парилена-С на подложке определяли методом АСМ. Передаточные и выходные вольтамперные характеристики (ВАХ) устройств ОПТ исследовали с помощью источника-измерителя 2612B (Keithley, США) на зондовой станции LA150DC (Semiprobe, США). Подвижность носителей заряда µ в режиме насыщения определяли на основе полученных при измерении передаточных зависимостей значений тока ISD между истоком и стоком от напряжения на затворе VG по стандартной методике [20, 27] с помощью выражения
, (1)
где W и L – ширина и длина канала транзистора соответственно (рис. 2б), СS – электроемкость затвора со слоем подзатворного диэлектрика, отнесенная к единице площади поверхности. Для изготовленной серии устройств ОПТ из трех штук отношение W/L изменяли в пределах 3.6–15 (рис. 2б). Величину удельной электроемкости определяли по формуле СS = ε·ε0/dp = 2.9 нФ/м2, где dp = 0.9 мкм и ε = 2.9 – толщина и диэлектрическая проницаемость парилена-С [26].
Рис. 2. Схема устройства ОПТ (а), оптическое изображение ОПТ на основе монокристалла пентацена перед нанесением электрода затвора (б)
РЕЗУЛЬТАТЫ И ИХ ОБСУЖДЕНИЕ
ДСК и ТГА. Образец антрацена в кристаллическом состоянии теряет 5% от исходной массы при температуре T5% = 437 К (рис. 3). При дальнейшем нагреве процессы испарения вещества протекают интенсивнее вплоть до плавления, эндотермический пик которого на кривой ДСК соответствует 490 К [28]. В данном случае интенсивная эндотермическая реакция вызвана параллельно текущими процессами плавления и испарения, которая завершается при 494 К, когда весь образец полностью улетучивается. Таким образом, антрацен полностью испаряется при переходе из кристаллического в жидкое состояние, при этом химической деградации соединения не наблюдается.
Рис. 3. Кривые ТГА (сплошные) и ДСК (пунктир) антрацена (1), тетрацена (2) и пентацена (3)
Образец тетрацена теряет 5% массы при T5% = 500 К (рис. 3). При дальнейшем нагреве испарение значительно интенсифицируется, достигая максимума при 563 К, и полностью завершается при 570 К. В тигле остается около 8% от исходной массы образца – остаток деградировавшего вещества. При исследовании теплового поведения кристаллов тетрацена в закрытом тигле были зафиксированы полиморфный переход и температура плавления при Ttr = 583 К и Tm = 616 К соответственно [12], что немного отличается от данных, полученных в открытом тигле [29]. Таким образом, при прогреве в открытом тигле малой навески все вещество полностью испаряется до достижения температуры полиморфного перехода.
5% массы образца пентацена улетучивается при T5% = 620 К. При 645 К на кривой ДСК наблюдается небольшой эндотермический пик, а при 683 и 693 К отмечаются более крупные эндотермический и экзотермический пики соответственно (рис. 3). Интенсивное испарение вещества прекращается при 688 К, и при 750 К в тигле остается чуть менее 4% от исходной массы образца. Подобная картина при анализе пентацена методом ДСК наблюдалась в [29] и [20]. Согласно [29] при 635 К происходит значительная интенсификация процесса химической деградации материала, которая начинает проявляться уже при 563 К [20]. Из-за проблемы деградации температура плавления пентацена в литературе зафиксирована нечетко. Тем не менее, опираясь на данные [20] и результаты настоящего исследования, можно предположить, что наблюдаемый малый эндотермический пик при 645 К соответствует плавлению вещества, которое осложнено одновременно происходящими процессами испарения и деградации.
Основываясь на представленных выше результатах, можно дать рекомендации для выращивания кристаллов исследуемых аценов. Возгонку антрацена можно осуществлять от порога T5% = 437 К вплоть до температуры плавления Tm = 490 К. Для тетрацена нижний порог температуры для возгонки вещества T5% = 500 К, однако из-за склонности к термической деградации вещества желательно не перегревать его выше 563 К. Для пентацена пороговая температура T5% = 620 К является опасной из-за разложения соединения, поэтому верхнюю температурную границу для возгонки вещества необходимо поддерживать не выше 563 К, что, к сожалению, неизбежно приведет к значительному удлинению ростового цикла.
Рост кристаллов. Однозонное тепловое поле. На первом этапе исследования процессов роста кристаллов был проведен ряд экспериментов в однозонной установке с градиентным температурным полем.
Линейные размеры кристаллов антрацена увеличиваются с ростом температуры ТS в районе источника с веществом и в то же время снижается плотность кристаллов в зоне осаждения. В качестве примера на рис. 4а, 4б приведены фотографии кристаллов антрацена, осажденных на фольгу при температуре источника 403 и 443 К соответственно. При использовании фольги при ТS = 403 К осаждение кристаллов антрацена начинается на расстоянии l ≈ 10 см от источника с веществом (рис. 4а), а по мере увеличения температуры ТS начало зоны осаждения кристаллов отодвигается дальше от источника с веществом.
Рис. 4. Кристаллы антрацена, осажденные при разных температурах источника (съемка при УФ-освещении) на Al-фольге при TS = 403K (а) и TS = 443 K (б); распределение осажденных кристаллов антрацена на поверхности кварцевой трубки после ростового цикла при TS = 433 К (выделенная пунктиром область справа – увеличенное изображение зоны осаждения кристаллов вблизи источника) (в)
Для получения наглядной картины осаждения из пара были проведены опыты по выращиванию кристаллов на поверхности ростовой кварцевой трубы. При этом картина осаждения кристаллов претерпевает значительное изменение по сравнению с осаждением кристаллов на фольгу: рост наиболее крупных кристаллов с наименьшей плотностью осаждения наблюдается рядом с источником – на расстоянии 2–7 см (рис. 4в), что связано с более сильным взаимодействием осаждающихся кристаллов с поверхностью кварцевой трубки. В этой ростовой области за период τ = 5 ч формируются хорошо ограненные кристаллы, достигающие в длину 5 мм (рис. 4в, справа). По мере отдаления от источника в область более низких температур плотность осажденных кристаллов значительно увеличивается, а их линейные размеры уменьшаются.
На рис. 5 приведены топографические АСМ-изображения участков поверхности кристалла антрацена размером ~5 мм, выращенного при TS = 453 К. На большей части гладкой поверхности кристалла наблюдаются ступени роста высотой от 3 до 12 нм (рис. 5а). На некоторых участках поверхности обнаружены ступени роста высотой ~1 нм (рис. 5б), что соответствует высоте мономолекулярного слоя d001 = 0.92 нм [13].
Рис. 5. Топографические АСМ-изображения поверхности развитой грани кристаллов антрацена: а – участок поверхности со ступенями роста высотой 6–8 нм; б – участок поверхности с элементарной ступенью роста высотой ~1 нм. На изображениях показаны профили ступеней роста высотой ~3 (а) и ~1 нм (б)
При кристаллизации тетрацена наблюдается похожая картина (рис. 6). Отличительными чертами кристаллизации тетрацена являются образование сростков кристаллов и форма кристаллов в виде изогнутых пленок (рис. 6а, 6б). Наиболее крупные кристаллы тетрацена длиной до 2 мм были получены при температурах TS = 553 и 573 К (рис. 6в).
Рис. 6. Изображения кристаллов тетрацена, выращенных при разных температурах источника TS: 513 (а), 533 (б) и 553K (в)
На поверхности развитой грани кристалла тетрацена, выращенного при TS = 488 К в течение 72 ч (кристалл длиной ~4 мм и толщиной 100 ± 10 мкм), наблюдаются макроступени роста высотой в сотни нанометров, а также дислокационный холмик роста, вершина которого отмечена стрелкой (рис. 7а). На топографическом АСМ-изображении участка поверхности террасы между двумя макроступенями (рис. 7б) наблюдаются ступени роста с наименьшей высотой ~18 нм, что составляет 15 мономолекулярных слоев толщиной d001 = 1.22 нм [13].
Рис. 7. Конфокальное (а) и топографическое АСМ-изображения (б) участков поверхности кристалла тетрацена, выращенного при TS = 488 К. На АСМ-изображении показан профиль поверхности с отмеченной ступенью высотой ~18 нм
Для пентацена при TS = 563 K осаждение кристаллов на фольгу происходило гораздо ближе к источнику, чем для антрацена и тетрацена (рис. 8) [20]. Наблюдалось обильное осаждение микрокристаллов пентацена с существенно более высокой плотностью, чем при кристаллизации антрацена и тетрацена. Среди множества микрокристаллов можно было наблюдать тонкие синие пластинчатые кристаллы пентацена длиной до 3 мм (рис. 8).
Рис. 8. Кристаллы пентацена, осажденные на фольгу (TS = 563 K). Вверху указаны расстояния от центра источника с веществом
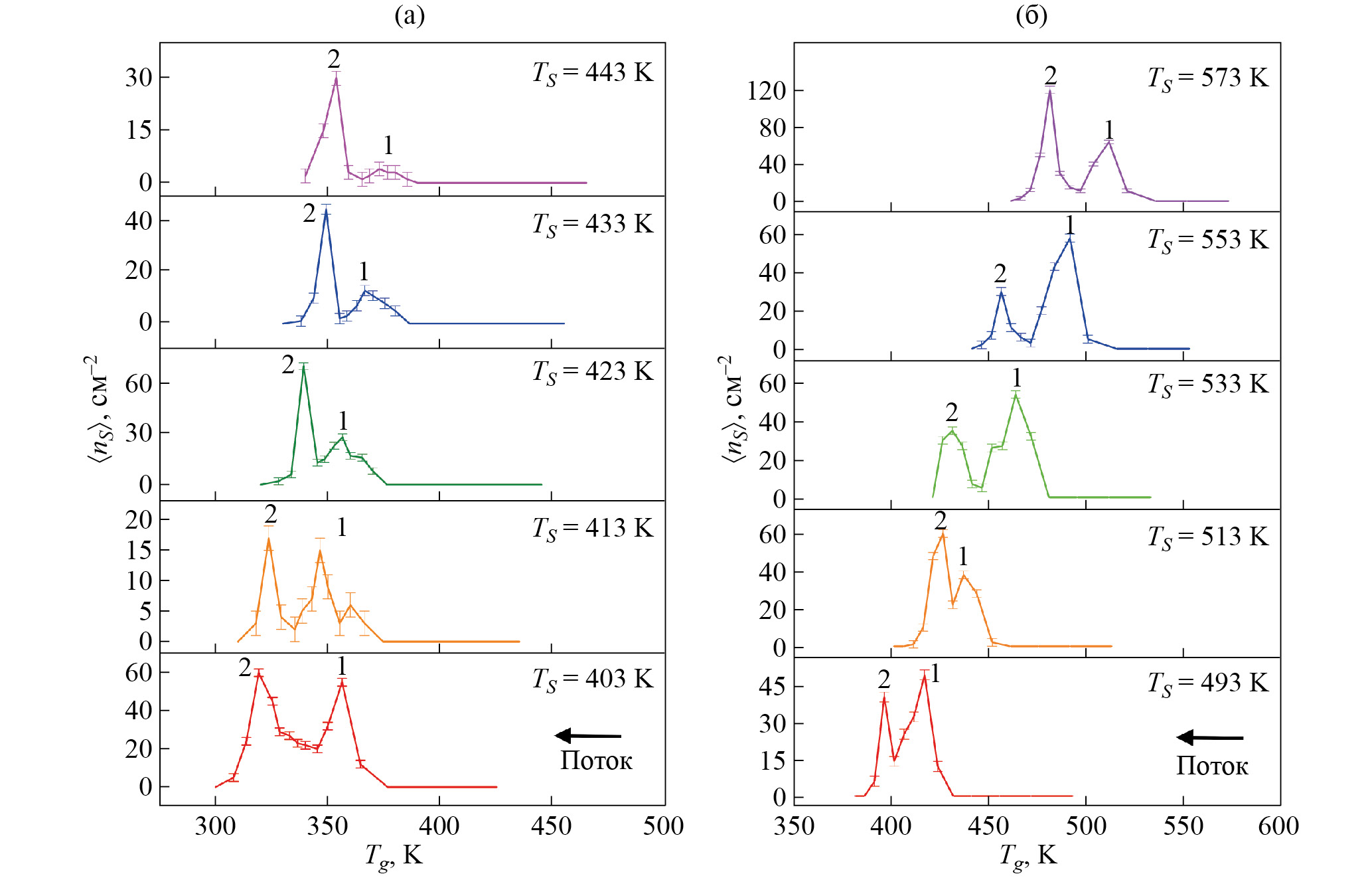
Как для антрацена, так и для тетрацена наблюдается волнообразное распределение количества кристаллов в зоне роста (рис. 4а, 4в). Были построены графики распределения средней плотности <nS> осажденных на подложку кристаллов антрацена (рис. 9а) и тетрацена (рис. 9б) по температуре в зоне роста при разных значениях TS. Величину <nS> оценивали путем подсчета кристаллов на участке, соответствующем определенному температурному интервалу, полученные значения для каждого интервала усредняли по результатам трех опытов. В зоне роста определяются, как правило, два выраженных максимума <nS>, которые слегка смещаются в сторону более высокой температуры по мере увеличения TS. В области первого максимума (1 на рис. 9) формируются наиболее крупные кристаллы.
Рис. 9. Распределение средней плотности кристаллов антрацена (а) и тетрацена (б) в градиентном тепловом поле при разных температурах источника. Максимумы 1 и 2 характеризуют области осаждения наиболее крупных и мелких кристаллов соответственно
В ростовых экспериментах наблюдался значительный разброс кристаллов по линейным размерам. Для оценки кинетических характеристик роста кристаллов определяли средние линейные размеры пяти самых крупных кристаллов в каждом опыте. На экспериментальной зависимости средней длины <L> кристаллов антрацена от температуры источника (рис. 10а) наблюдается максимум в диапазоне значений TS от 443 до 463 К. Экспериментальные данные хорошо аппроксимируются функцией Гаусса с максимумом при 449 K: <L> = 2.26·exp{–0.5((TS – 449)/28.8)2} мм (R2 = 0.96). На рис. 10а правая ось ординат соответствует средней скорости роста кристаллов <r> = f(TS), которая связана со средней длиной кристалла линейно: <r> = <L>/τ (τ = 5 ч – период роста). Таким образом, в условиях однозонного теплового поля используемой ростовой печи с точки зрения максимальных значений скорости роста и линейных размеров кристаллов антрацена оптимальным условиям соответствует диапазон температур TS от 443 до 463 К, при котором средняя скорость роста кристаллов вдоль развитой грани максимальна: <r> ≈ 400 мкм/ч.
Рис. 10. Зависимость от температуры источника усредненных значений длины <L> и скорости роста <r> кристаллов антрацена (а) и тетрацена (б) в однозонном тепловом поле
Для кристаллов тетрацена экспериментально полученные данные зависимости <L> и <r> от температуры TS интерполируются степенной функцией: <L> = 0.223 + 1.876(TS – 440)4.21 мм (R2 = 0.99) (рис. 10б). В исследуемом интервале температур максимальные средняя длина и скорость роста кристаллов тетрацена достигаются в крайней точке интервала (573 K). Поэтому можно предположить, что увеличение температуры TS повлечет за собой увеличение скорости роста и линейных размеров кристаллов. С другой стороны, судя по представленным выше результатам и данным [12], при нагреве кристаллов тетрацена выше 563 К значительно возрастает вероятность химической деградации соединения. Таким образом, в условиях однозонного теплового поля для выращивания крупных кристаллов тетрацена наиболее благоприятным является температурный интервал TS 540–560 К.
Для объяснения волнообразного распределения осажденных кристаллов в однозонном тепловом поле (рис. 9) рассмотрим представленную на рис. 11 схематическую PT-диаграмму с изображением областей фазовых состояний вблизи линии фазового равновесия кристалл–пар (сплошная кривая). Точка 1 на линии фазового равновесия соответствует положению источника с веществом при температуре TS. Движущей силой кристаллизации является разность химических потенциалов Δμ паровой (μv) и кристаллической (μс) фаз. На линии фазового равновесия Δμ = 0, а для пересыщенного пара максимум величины |Δμ| определяет границу метастабильности паровых состояний (пунктирная кривая на рис. 11). Изменение величины Δμ с изменением давления P и температуры T определяется термодинамическим выражением [30]:
, (2)
где Ωv и Ωc – удельный объем, приходящийся на одну молекулу в паре и кристалле соответственно, Sv и Sc – энтропия паровой и кристаллической фаз соответственно.
Рис. 11. Схематическая фазовая диаграмма для объяснения особенностей кристаллизации кристаллов из пара в градиентном поле температуры; сплошная кривая – линия фазового равновесия кристалл–пар, пунктирная – граница области метастабильности пересыщенного пара, черные стрелки указывают путь кристаллизации
Рассмотрим путь кристаллизации при возгонке и сублимации вещества в ростовой трубе. В точке 1 паровая фаза находится в равновесии с кристаллами, а при смещении в более холодную область ростовой трубы постепенно пересыщается. На фазовой диаграмме смещение пара в сторону меньших температур происходит квазиизобарически (ΔP ≈ 0), что соответствует горизонтальному участку 1–2 траектории (рис. 11). При некотором переохлаждении ΔT1 = TS – Tm1 паровая фаза достигает граничного метастабильного состояния, в котором образование кристаллов становится неизбежным. В этом случае величину движущей силы кристаллизации, согласно (2), можно определить следующим образом:
, (3)
где ΔHS = TS·(Sv – Sc) – энтальпия сублимации при температуре TS. При массовой кристаллизации давление пересыщенного пара резко понижается и приближается к равновесному значению 3 квазиизотермически (вертикальный участок 2–3 траектории). Окрестность точки 3 на фазовой плоскости соответствует области локализации первого максимума плотности nS кристаллов в зоне роста (рис. 9). Именно здесь происходит формирование наиболее крупных кристаллов. На основе (2) для величины снижения давления насыщенного пара в окрестности точки 3 можно записать неравенство
. (3)
Далее ситуация повторяется: при переходе из точки 3 в точку 4 по изобаре пар, пересыщаясь, вновь достигает границы метастабильной области относительно равновесного состояния при температуре Tm2, при которой наблюдается второй максимум плотности осажденных кристаллов, а давление снижается до очередного равновесного значения (точка 5).
Таким образом, на фазовой диаграмме путь кристаллизации вещества можно упрощенно представить в виде каскада ступеней, каждая из которых характеризует образование и рост кристаллов в некоторой области значений температуры и давления пересыщенного пара. Определяя температуру, соответствующую первому максимуму плотности осажденных на подложку кристаллов, можно установить ширину метастабильной области пересыщенного пара, переохлажденного относительно соответствующей равновесной температуры TS, а также определить благоприятные условия для выращивания наиболее крупных кристаллов. Граничные переохлаждения ΔT1 пересыщенного пара антрацена (рис. 12а) и тетрацена (рис. 12б) были установлены по данным о распределении средней плотности кристаллов (рис. 9).
Рис. 12. Переохлаждение пара (ΔT1 = TS – Tm1) над скоплением крупных кристаллов антрацена (а) и тетрацена (б) как функция температуры источника
Для рассматриваемых температурных диапазонов граничное переохлаждение при увеличении TS в случае антрацена растет и выходит на насыщение при ΔT1 = 64 К, а для тетрацена – снижается с выходом на насыщение при ΔT1 = 61 К. Таким образом, с ростом температуры источника TS ширина области метастабильности ΔT1 переохлажденных состояний насыщенного пара как антрацена, так и тетрацена выходит на постоянное значение в интервале 60–65 К.
Двузонное тепловое поле. В данных условиях роста характер кристаллизации исследуемых соединений существенно отличается от наблюдаемого в однозонном тепловом поле: интенсивный рост кристаллов происходит на участках резкой смены теплового режима: за пределами зон 1 и 2 (рис. 13а) [20]. Крупные кристаллы формируются в переходной области между зонами 1 и 2.
Рис. 13. Распределение кристаллов антрацена в ростовой кварцевой трубе после экспериментального цикла в двузонном тепловом поле (T1 = 433, T2 = 373 K) (а); наиболее крупные кристаллы антрацена, выращенные при T2 = 373 (б), T2 = 383 (в) и T2 = 393 K (г); изображение области осаждения наиболее крупных кристаллов между двумя зонами при 403 K (д). Фотографии сделаны при УФ-освещении
Более подробно была исследована кристаллизация антрацена (рис. 13а). При равных периодах роста с изменением температуры холодной зоны T2 изменяются средние размеры кристаллов, осажденных в промежуточной области. При T2 = 373 K в промежуточной области в основном образуются удлиненные кристаллы (рис. 13б). С ростом температуры T2 у плоских кристаллов четче оформлены боковые грани (рис. 13в, 13г). Рост наиболее крупных кристаллов наблюдали при Т2 = 383 К (рис. 13в): был получен кристалл, длина которого превышала 20 мм. При T2 = 393 K наблюдается тенденция к формированию более утолщенных ограненных кристаллов (рис. 13г). Внутренние углы между боковыми гранями кристаллов зачастую близки к 110° и 125°, что соответствует кристаллографической ориентации боковых граней параллельно плоскостям (100), (110), (110), (100), (110) и (110) [31] (рис. 13в, 13г). При T2 = 403 К кристаллы антрацена с меньшими линейными размерами и наиболее высокой плотностью осаждения образуются вблизи источника с веществом (рис. 13д).
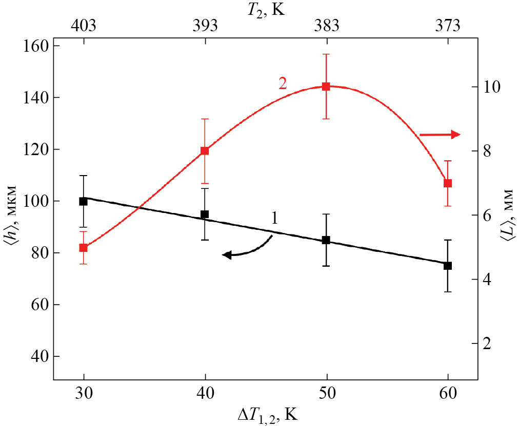
Средняя толщина <h> и длина <L> наиболее крупных образцов кристаллов антрацена зависит от величины перепада температур ΔT1,2 = T1 – T2 между холодной и горячей зонами (рис. 14). В исследуемом диапазоне температур величина <h> убывает линейно с ростом ΔT1,2, а для величины <L> наблюдается максимум при ΔT1,2 = 50 K.
Рис. 14. Зависимость усредненных значений толщины <h> (1) и длины <L> (2) кристаллов антрацена от перепада температур ΔT1,2 между зонами (T1 = 433 К)
Подобная картина осаждения и роста кристаллов в двузонном тепловом поле наблюдается для тетрацена и пентацена [20]. В качестве примера на рис. 15а представлено изображение ростовой кварцевой трубки с осажденными кристаллами тетрацена после цикла роста. Наиболее крупные кристаллы формируются на участке между зонами 1 и 2 (рис. 15б), а за внешними границами этих тепловых зон формируются более мелкие кристаллы с высокой плотностью осаждения (рис. 15в). Самый крупный монокристалл, выращенный при T2 = 463 K, имеет длину 4.5 мм и толщину ~70 мкм, его боковые грани хорошо выражены (рис. 15г). Поверхность развитой грани у данного кристалла гладкая (рис. 15д). При выращивании кристаллов тетрацена в диапазоне температур холодной зоны от 453 до 473 К особых изменений в характере осаждения кристаллов и их морфологии не выявлено.
Рис. 15. Распределение кристаллов тетрацена в ростовой трубе после экспериментального цикла в двузонном тепловом поле (T1 = 533, T2 = 463 К) (а); б, в – увеличенные изображения участков ростовой трубы в окрестностях, отмеченных стрелками I и II соответственно на верхней фотографии; г – самый крупный из полученных кристаллов тетрацена; д – увеличенное изображение участка края кристалла, представленного на рис. (г)
Ранее было установлено, что при выращивании кристаллов пентацена в двузонном тепловом поле при Т1 = 563 К с изменением температуры холодной зоны Т2 изменяются форма и толщина кристаллов: формирование наиболее крупных и тонких кристаллов наблюдалось при минимальной температуре холодной зоны Т2 = 493 К, а по мере увеличения температуры Т2 (или уменьшения ΔT1,2) средние размеры развитой грани кристаллов уменьшались, но при этом наблюдалось утолщение кристаллов и более четкое оформление их боковых граней [20]. В настоящей работе с целью снизить вероятность деградации вещества с образованием окси-производного – 5,14-пентацендинона, которое отдельно кристаллизуется в более холодной области в виде коричневых игольчатых кристаллов [20], рост кристаллов пентацена осуществляли при Т1 = 553 К. Проведенные исследования показали, что обнаруженные ранее закономерности кристаллизации пентацена воспроизводятся. Например, при Т2 = 493 К также отмечался рост наиболее крупных и тонких кристаллов, фрагменты самого большого из выращенных в данных условиях кристалла представлены на рис. 16а (во время извлечения из трубы тонкий кристалл раскололся). Развитая грань у кристаллов гладкая (рис. 16б). При Т2 = 513 К формировались менее крупные, но более толстые кристаллы пентацена, что позволяло их перемещать с одной поверхности на другую (рис. 16в). У данных кристаллов поверхность более рельефная (рис. 16г).
Рис. 16. Кристаллы пентацена, выращенные в двузонном тепловом поле при Т1 = 553 К: фрагменты кристалла, выращенного при Т2 = 493 К в течение 72 ч (а) и увеличенное изображение его края (б); кристаллы, выращенные при Т2 = 513 К в течение 120 ч (в) и увеличенное изображения краевого участка одного из кристаллов (г)
Судя по наблюдаемым особенностям морфологического развития кристаллов пентацена в условиях двузонного теплового поля, можно предположить, что при перепадах температур между тепловыми зонами ΔT1,2 ≥ 60 К начинает проявляться зародышевый 2D-механизм послойного роста, благодаря которому для поверхности развитой грани характерно наличие шероховатости на уровне толщин нескольких мономолекулярных слоев. В пользу этого свидетельствует топографическое АСМ-изображение (рис. 17) участка поверхности фрагмента кристалла, приведенного на рис. 16а. На поверхности наблюдаются островки двух видов: более крупные шириной в несколько микрометров и высотой 1.5–2.5 нм и узкие шириной 0.5–1 мкм и высотой до 20 нм (яркие точки). Толщина мономолекулярного слоя для развитой грани кристалла пентацена d001 ≈ 1.4 нм [20]. Таким образом, наблюдаемые островки (рис. 17) содержат от одного до 15 мономолекулярных слоев, за счет разрастания которых в ширину происходит формирование развитой грани кристалла.
Рис. 17. Топографическое АСМ-изображение участка поверхности кристалла пентацена, выращенного при T2 = 493 К. На вставке вверху – увеличенное изображение выделенной внизу белым пунктиром области с островком высотой ~2.5 нм
При ΔT1,2 < 60 К, по всей видимости, превалирует дислокационный механизм послойного роста кристаллов, в силу чего скорость их роста в толщину значительно увеличивается, а развитая грань становится более рельефной за счет развития макроступеней и ростовых холмиков (рис. 16г).
Относительно причины отсутствия роста кристаллов внутри квазиоднородного теплового поля холодной зоны, находящегося при температуре Т2, можно привести следующее соображение. Паровая фаза внутри холодной зоны находится в состоянии некоторого постоянного пересыщения с переохлаждением ΔTx относительно равновесной температуры и при постоянном давлении. Это состояние можно охарактеризовать как относительно устойчивое метастабильное c Δμ = const (рис. 11), из которого можно выйти путем изменения P и T. По этой причине образования и роста кристаллов внутри однородного поля температуры холодной зоны не наблюдается. В противоположность этому, интенсивные ростовые процессы происходят в переходных областях, где имеет место перепад температур. Таким образом, главная роль холодной квазиизотермической зоны в ростовой трубе заключается в создании градиента температуры в переходной области, варьируя который можно подбирать условия роста кристаллов.
Электрические свойства кристаллов пентацена. Для серии устройств ОПТ на основе монокристаллов пентацена установлены средние значения дырочной подвижности и порогового напряжения: <μ> = (13 ± 8) ∙ 10-3 см2В-1с-1, <VT> = 7 ± 1 В. Для образца ОПТ (рис. 2а) с максимальной дырочной подвижностью μmax = 2 ∙ 10-2 см2В-1с-1 (VT = 8 В) приведены передаточные (рис. 18а) и выходные (рис. 18б) ВАХ. Несмотря на сравнительно невысокое значение величины μ, стоит отметить высокое качество выходных характеристик (рис. 18б) в сравнении с характеристиками устройств ОПТ, изготовленных в геометрии с нижним затвором и верхними электродами стока и истока, нанесенными в виде тонкопленочных золотых контактов вакуумным термическим осаждением [20]. Видно, что гистерезис выходных характеристик практически отсутствует. Выходные ВАХ имеют линейный вид вблизи нулевого напряжения на стоке, что свидетельствует о хорошем омическом контакте полупроводника и графитовых электродов. Таким образом, использование в качестве электродов пасты на основе углерода, характеризующегося более высоким химическим сродством к кристаллам пентацена, чем золото, и подзатворного диэлектрика на основе парилена-С обеспечивает лучшие контактные свойства и более качественные ВАХ полевых транзисторов.
Рис. 18. Передаточные (а) и выходные (б) вольтамперные характеристики ОПТ на основе монокристалла пентацена
ЗАКЛЮЧЕНИЕ
Выполненный комплекс исследований кристаллизации антрацена, тетрацена и пентацена методом ПФТ при использовании ростовых систем с одно- и двузонным температурными полями позволил определить условия выращивания кристаллов сантиметрового масштаба (0.2–2 см). Для однозонного поля с градиентом температуры путь кристаллизации вещества на фазовой диаграмме имеет траекторию в виде каскада ступеней, каждая из которых характеризует образование и рост кристаллов в некоторой области значений температуры и давления пересыщенного пара. По характеру осаждения кристаллов в зоне с градиентом температуры можно установить ширину метастабильной области пересыщенного пара, переохлажденного относительно соответствующей равновесной температуры. Было показано, что при выращивании органических монокристаллов методом ПФТ для увеличения скорости роста и размера кристаллов использование ростовой системы с двузонным тепловым полем более эффективно в сравнении с классическим вариантом системы с однозонным полем температур. Установлено, что использование двузонной ростовой системы позволяет оказывать влияние на размеры и форму кристаллов, а также на морфологию поверхности путем задания перепада температур ΔT1,2 между зонами. Исследования показали, что кристаллы преимущественно осаждаются на участках со значительным градиентом температуры (между горячей и холодной зонами и за их внешними пределами), а внутри холодной зоны, где температурное поле квазиоднородно, кристаллизация не наблюдается, поскольку давление насыщенных паров практически не изменяется. По всей видимости, для пентацена при перепаде температур между зонами ΔT1,2 < 60 К послойный рост кристаллов в основном происходит по дислокационному механизму, а при ΔT1,2 ≥ 60 К начинает реализоваться 2D-механизм послойного роста кристалла, что приводит к формированию крупных и одновременно тонких (несколько микрон) монокристаллических пленок с гладкой поверхностью.
На основе выращенных монокристаллов пентацена размером от 2 до 5 мм изготовлены ОПТ с архитектурой "верхние контакты–верхний затвор" с подзатворным диэлектриком на основе парилена-С. Изготовленные ОПТ проявляют полупроводниковые свойства дырочного типа. Полученные ВАХ показали, что использование графитовых электродов обеспечивает хорошие омические контакты с кристаллами пентацена. Величина подвижности носителей заряда, по-видимому, ограничена высокой шероховатостью поверхности использованных кристаллов, которая обусловливает наличие большого количества ловушек в приповерхностном транспортном слое.
Работа проведена в рамках выполнения государственного задания НИЦ «Курчатовский институт» c использованием оборудования ЦКП “Структурная диагностика материалов”. Приобретение, выращивание и исследование электрических свойств кристаллов пентацена как опорного органического полупроводника, используемого в качестве стандарта сравнения, было выполнено при поддержке Российского научного фонда (грант № 22-13-00255).
About the authors
A. A. Kulishov
Shubnikov Institute of Crystallography of Kurchatov Complex of Crystallography and Photonics of NRC “Kurchatov Institute”
Author for correspondence.
Email: adakyla1255@gmail.com
Russian Federation, Moscow
G. A. Yurasik
Shubnikov Institute of Crystallography of Kurchatov Complex of Crystallography and Photonics of NRC “Kurchatov Institute”
Email: adakyla1255@gmail.com
Russian Federation, Moscow
M. S. Lyasnikova
Shubnikov Institute of Crystallography of Kurchatov Complex of Crystallography and Photonics of NRC “Kurchatov Institute”
Email: adakyla1255@gmail.com
Russian Federation, Moscow
A. S. Lesnikov
Shubnikov Institute of Crystallography of Kurchatov Complex of Crystallography and Photonics of NRC “Kurchatov Institute”
Email: adakyla1255@gmail.com
Russian Federation, Moscow
V. A. Postnikov
Shubnikov Institute of Crystallography of Kurchatov Complex of Crystallography and Photonics of NRC “Kurchatov Institute”
Email: postva@yandex.ru
Russian Federation, Moscow
References
- Birks J.B. The Theory and Practice of Scintillation Counting. Pergamon Press Ltd, 1967. 662 с.
- Красовицкий Б.М., Болотин Б.М. Органические люминофоры. М.: Химия, 1984. 336 с.
- Butko V.Y., Chi X., Ramirez A.P. // Solid State Commun. 2003. V. 128. P. 431. https://doi.org/10.1016/j.ssc.2003.08.041
- Takahashi T., Takenobu T., Takeya J., Iwasa Y. // Adv. Funct. Mater. 2007. V. 17. P. 1623. https://doi.org/10.1002/adfm.200700046
- Yu X., Kalihari V., Frisbie C.D. et al. // Appl. Phys. Lett. 2007. V. 90. P. 2005. https://doi.org/10.1063/1.2724895
- Bittle E.G., Biacchi A.J., Fredin L.A. et al. // Commun. Phys. 2019. V. 2. P. 29.
- https://doi.org/10.1038/s42005-019-0129-5
- Dong J., Yu P., Arabi S.A. et al. // Nanotechnology. 2016. V. 27. P. 1. https://doi.org/10.1088/0957-4484/27/27/275202
- Kim H.S., Kim S., Koo J.Y., Choi H.C. // J. Mater. Chem. C. 2021. V. 9. P. 1911. https://doi.org/10.1039/d0tc04698a
- Давыдов А.С. Теория поглощения света в молекулярных кристаллах. Киев: Издательство Академии наук УССР, 1951. 176 с.
- Ambrosio F., Wiktor J., Landi A., Peluso A. // J. Phys. Chem. Lett. 2023. V. 14. P. 3343. https://doi.org/10.1021/acs.jpclett.3c00191
- Кулишов А.А. Особенности роста кристаллов линейных сопряженных молекул из гомологических семейств аценов и олигофениленов. Дис. … канд. физ.-мат. наук. М.: ФНИЦ “Кристаллография и фотоника” РАН, 2022.
- Kulishov A.A., Yurasik G.A., Grebenev V.V., Postnikov V.A. // Crystallography Reports. 2022. V. 67. P. 1001. https://doi.org/10.1134/S1063774522060153
- Постников В.А., Кулишов А.А., Юрасик Г.А., Лебедев-Степанов П.В. // Кристаллография. 2022. Т. 67. С. 652. https://doi.org/10.31857/S0023476122040130
- Laudise R., Kloc C., Simpkins P.G., Siegrist T. // J. Cryst. Growth. 1998. V. 187. P. 449. https://doi.org/10.1016/S0022-0248(98)00034-7
- Postnikov V.A., Sorokina N.I., Lyasnikova M.S. et al. // Crystals. 2020. V. 10. P. 363. https://doi.org/10.3390/cryst10050363
- Lidberg R.L. “Time-of-Flight Investigation of Charge Carrier Mobilities in Oligoacene Single Crystals” PhD Thesis. University of Minnesota, 2017.
- Roberson L.B., Kowalik J., Tolbert L.M. et al. // J. Am. Chem. Soc. 2005. V. 127. P. 3069. https://doi.org/10.1021/ja044586r
- Jo S., Takenaga M. // Jpn. J. Appl. Phys. 2010. V. 49. P. 078002. https://doi.org/10.1143/JJAP.49.078002
- Jo S., Kajiwara K., Takenaga M. // Jpn. J. Appl. Phys. 2014. V. 53. P. 115506. https://doi.org/10.7567/JJAP.53.115506
- Postnikov V.A., Kulishov A.A., Yurasik G.A. et al. // Crystals. 2023. V. 13. P. 999. https://doi.org/10.3390/cryst13070999
- Park C., Park J.E., Choi H.C. // Acc. Chem. Res. 2014. V. 47. P. 2353. https://doi.org/10.1021/ar5000874
- Courté M., Ye J., Jiang H. et al. // Phys. Chem. Chem. Phys. 2020. V. 22. P. 19855. https://doi.org/10.1039/d0cp03109g
- Постников В.А., Сорокина Н.И., Кулишов А.А. и др. // Кристаллография. 2023. Т. 68. С. 120. https://doi.org/10.31857/S0023476123010228
- Nečas D., Klapetek P. Gwiddion: 2.59.
- De Boer R.W.I., Gershenson M.E., Morpurgo A.F., Podzorov V. // Phys. Status Solidi Appl. Res. 2004. V. 201. P. 1302. https://doi.org/10.1002/pssa.200404336
- Kahouli A. // J. Appl. Phys. 2012. V. 112. P. 064103. https://doi.org/10.1063/1.4752022
- Tsumura A., Koezuka H., Ando T. // Appl. Phys. Lett. 1986. V. 49. P. 1210. https://doi.org/10.1063/1.97417
- Рабинович В.А., Хавин З.Я. Краткий химический справочник. Л.: Химия, 1978. 392 с.
- Fulem M., Laštovka V., Straka M. et al. // J. Chem. Eng. Data. 2008. V. 53. P. 2175. https://doi.org/10.1021/je800382b.
- Чернов А.А., Гиваргизов Е.И., Багдасаров Х.С. и др. Современная кристаллография. Т. 3. Образование кристаллов. М.: Наука, 1980.
- Постников В.А., Кулишов А.А., Лясникова М.С. и др. // Кристаллография. 2021. Т. 66. С. 494. https://doi.org/10.31857/s0023476121030206
Supplementary files




















