The temperature evolution of the atomic structure and the influence of the local environment of atoms on the optical properties of the NA2SIF6 crystal
- Authors: Dudka A.P.1, Karimov D.N.1, Golovina T.G.1, Konstantinova A.F.1
-
Affiliations:
- Shubnikov Institute of Crystallography of Kurchatov Complex of Crystallography and Photonics of NRC “Kurchatov Institute”
- Issue: Vol 69, No 5 (2024)
- Pages: 821-833
- Section: ФИЗИЧЕСКИЕ СВОЙСТВА КРИСТАЛЛОВ
- URL: https://journal-vniispk.ru/0023-4761/article/view/267137
- DOI: https://doi.org/10.31857/S0023476124050082
- EDN: https://elibrary.ru/ZDBNZY
- ID: 267137
Cite item
Full Text
Abstract
Crystals of sodium hexafluorosilicate Na2SiF6 millimeter size were grown by the hydrothermal method. According to X-ray diffraction analysis, it was revealed that Na2SiF6 samples are twinned according to the merohedral law and crystallize in sp. gr. P321 with unit cell parameters equal at 295 K <a> = 8.8582(12), <c> = 5.0396(11) Å, <V> = 342.47(17) Å3 on average the results of repeated measurements. A multi-temperature diffraction study of Na2SiF6 was carried out, based on the results of which the temperature dynamics of the optical properties of crystals was calculated. The structural similarity of Na2SiF6 crystals with crystals of the langasite family La3Ga5SiO14 was found. This made it possible to explain the optical activity of Na2SiF6 by considering electron density spirals similar to langasite, twisted around a triple axis of symmetry passing through the origin of the Na2SiF6 cell. The fractures in the temperature dependences of the refractive indices and rotation of the plane of polarization of light are explained by taking into account the anomalous features of interatomic interactions along the triple axis of the crystal cell passing through the Si2(2d) position with coordinates (1/3, 2/3, z). It was found that the main factor influencing the temperature dynamics of optical parameters is the Si2(2d)–F2(6g) distance, which increases abnormally with cooling.
Full Text
ВВЕДЕНИЕ
Гексафторосиликат натрия Na2SiF6 в природе встречается как минерал малладрит. По наиболее достоверным результатам [1] Na2SiF6 кристаллизуется в пр. гр. Р321. Соединение слаборастворимо в воде и разлагается на составляющие фториды при нагревании свыше 550°С [2].
Оно используется в традиционных отраслях промышленности: в строительном, стекольном деле, горнодобыче, металлургии, деревообработке, сельском хозяйстве, а также для синтеза NaF [2]. Кристаллы Na2SiF6 – широкозонные диэлектрики (ширина запрещенной зоны ~7.41 эВ), они проявляют нелинейно-оптические свойства [3]. При легировании различными ионами (Mn4+, Eu3+, Tb3+, Ce3+) их можно использовать в качестве люминофоров для светодиодных ламп [4–6], красные люминофоры состава Na2SiF6:Mn4+ коммерчески доступны [7].
Кристалл Na2SiF6 является интересным модельным материалом, поскольку его показатель преломления близок к показателю преломления льда в видимом диапазоне длин волн, морфологические особенности кристаллов Na2SiF6 напоминают морфологию льда. Поэтому Na2SiF6 известен как материал, аналогичный льду. На основе его исследований можно сделать выводы о рассеивающих свойствах мелких кристалликов льда в облаках [8].
Кристалл Na2SiF6 описывается той же пр. гр. Р321, что и кристаллы семейства лангасита, параметры их элементарных ячеек близки (Na2SiF6: а = 8.859(2), с = 5.038(2) Å [1], La3Ga5SiO14: а = 8.1652(6), с = 5.0958(5) Å [9–11]). В связи с большим структурным сходством Na2SiF6 и кристаллов семейства лангасита было бы интересно сравнить структуры этих кристаллов и показать, что обусловливает разницу в их оптических свойствах. Известно, что кристалл Na2SiF6 оптически отрицательный (no > ne), La3Ga5SiO14 – оптически положительный (no < ne). Показатели преломления Na2SiF6 гораздо меньше показателей преломления лангасита (для Na2SiF6 n ~1.3 [12, 13], для лангасита n ~1.9 [14]), что также нуждается в объяснении.
Кроме того, полезно изучить температурную зависимость параметров кристалла Na2SiF6. Дело в том, что существуют многочисленные исследования [15–17], где выбор пр. гр. Р321 подвергается сомнению. По-видимому, такая неоднозначность связана с существованием фазового перехода, который может происходить при смене химического состава кристаллов или при изменении температуры и давления.
Исследование структуры La3Ga5SiO14 проводили при 295 и 90 К [18], было обнаружено, что в этом диапазоне температур не наблюдаются фазовые переходы, но атомы сильно разупорядочены. Выявление и объяснение причин фазового перехода в кристаллах семейства лангасита и изоструктурных им соединениях имеют большое значение, так как могут послужить теоретической базой для конструирования технологически важных материалов на основе железосодержащих лангаситов, которые являются мультиферроиками [19, 20].
Цель работы – изучение температурной эволюции атомной структуры кристалла Na2SiF6 для поиска возможных структурных аномалий и трансформаций, а также анализ локального окружения атомов и выявление причин различия оптических и других свойств Na2SiF6 и La3Ga5SiO14.
РОСТ КРИСТАЛЛОВ Na2SiF6
Наиболее крупные кристаллы миллиметрового размера Na2SiF6 выращивали из водных растворов методом испарения растворителя, используя различные прекурсоры [21]. Работ по выращиванию объемных кристаллов Na2SiF6 не обнаружено, так как традиционно используют методы “мокрой химии” для получения легированных микрокристаллов Na2SiF6 для спектроскопических приложений [22]. Термическая нестабильность этого соединения препятствует применению для роста кристаллов расплавных методов или твердофазного синтеза.
В настоящей работе кристаллы Na2SiF6 выращивали методом гидротермального синтеза, незначительно модифицировав условия роста [3]. В качестве исходного реактива использовали химически чистый порошок фторсиликата натрия (Химкрафт, Россия). Пересыщенный водный раствор (концентрация 2.5 г/100 мл) помещали в автоклав с тефлоновым вкладышем объемом 50 см3. Автоклав нагревали до 500 К, выдерживали при данной температуре в течение суток и далее медленно охлаждали до комнатной температуры со скоростью 10 К/ч. В результате были получены бесцветные прозрачные призматические кристаллы с латеральными размерами до 5 мм (рис. 1). Увеличение размеров кристаллов требует перехода к автоклавам большей емкости и использованию гетерогенной кристаллизации.
Рис. 1. Фотографии выращенных кристаллов Na2SiF6.
СТРУКТУРА КРИСТАЛЛОВ Na2SiF6
Поиск закономерностей в структурах кристаллов Na2SiF6 и семейства лангасита осуществляли на основе обширного массива дифракционных экспериментов. Для лангаситов использовали результаты исследований структуры и оптических свойств [9–11, 14], а для Na2SiF6 провели несколько серий экспериментов до получения устойчивых результатов. Лучший образец Na2SiF6 для дифракционного исследования имел форму эллипсоида с минимальным и максимальным диаметрами 0.10 и 0.12 мм. После 36 полномерных подготовительных экспериментов с отобранным образцом провели заключительную многотемпературную серию из 14 экспериментов ультравысокого разрешения при 85–450 К. Съемку осуществляли на дифрактометре XtaLAB Synergy R, DW system (MoKα-излучение) с детектором HyPix-Arc 150 (Rigaku Oxford Diffraction). Для многотемпературных измерений использовали температурную приставку Cobra Oxford Instruments (82–500 К). Расчет интегральных интенсивностей проведен с помощью программы CrysAlisPro [23]. Обработка данных включала в себя учет геометрических особенностей съемки (поправку Лоренца) и коррекцию на поляризацию излучения, коррекцию интенсивностей на поглощение излучения. Структурные параметры уточняли с использованием программ ASTRA [24] и Jana2020 [25]. Синтезы Фурье электронной плотности построены с использованием программы Jana2020.
Результаты дифракционного исследования при 85 и 295 К представлены в табл. 1, а данные, полученные при остальных температурах, обсуждаются в тексте и на графиках. Исследованные образцы кристалла Na2SiF6 (все девять из разных партий) оказались мероэдрическими микродвойниками, элементарные ячейки доменов развернуты на угол 60°. Соотношение объемов доменов в отобранном образце было 58 : 42.
Таблица 1. Кристаллографические характеристики, данные эксперимента и результаты уточнения структуры кристалла Na2SiF6 при Т = 85 и 295 К
T, К | 85 | 295 |
a, c, Å | 8.84134(4), 5.00229(3) | 8.85909(7), 5.04035(5) |
V, Å3 | 338.638(3) | 342.530(5) |
μ, мм–1 | 0.754 | 0.745 |
Дифрактометр | XtaLAB Synergy R, HyPix-Arc 150 | XtaLAB Synergy R, HyPix-Arc 150 |
Излучение; λ, Å | MoKα; 0.71073 | MoKα; 0.71073 |
Тип сканирования | ω | ω |
Пределы h, k, l | –23 ≤ h ≤ 24, –23 ≤ k ≤ 24, –13 ≤ l ≤ 13 | –23 ≤ h ≤ 24, –23 ≤ k ≤ 24, –13 ≤ l ≤ 13 |
θmax, град | 75.47 | 75.54 |
Покрытие по θmax, % | 99.5 | 99.1 |
Число измеренных рефлексов | 46700 | 46652 |
Избыточность* | 9.861 | 9.784 |
<σ(F 2)/F 2> | 0.0078 | 0.0079 |
R1уср(F 2), % | 2.16 | 1.58 |
Число рефлексов в уточнении | 4736 | 4768 |
Число рефлексов с F 2 > 3σ(F 2)/ параметров в уточнении | 4661/45 | 3551/45 |
R1(|F|)/wR2(|F|), % | 1.64/5.00 | 1.90/5.21 |
S | 1.01 | 1.01 |
Δρmin/Δρmax, э/Å3 | –0.51/0.40 | –0.25/0.21 |
Примечание. R1(|F|) = ∑||Fobs| – |Fcalc||/∑|Fobs|; wR2(|F|) = √{∑w(|Fobs|2 – |Fcalc|2)2/∑w(Fobs)4}.
*Избыточность – отношение числа измеренных рефлексов к числу независимых рефлексов, используемых в уточнении.
Сравнение структур La3Ga5SiO14 и Na2SiF6. Обнаружено большое структурное сходство кристаллов Na2SiF6 с кристаллами семейства лангасита (рассмотрено на примере La3Ga5SiO14). Кристаллы принадлежат к одной пр. гр. P321, параметры их элементарных ячеек близки (табл. 2), локальная симметрия шести из семи базисных атомов, включая все катионы, совпадает.
Таблица 2. Параметры элементарной ячейки a и c для La3Ga5SiO14 и Na2SiF6 при 295 К
Кристалл | Пр. гр. | Z | a | c | Литература |
La3Ga5SiO14 | P321 | 1 | 8.1652(6) | 5.0958(5) | [9–11] |
Na2SiF6 | P321 | 3 | 8.859(2) | 5.038(2) | [1] |
8.8715(3) | 5.0484(5) | [3] | |||
8.85742(8) 8.85909(7) Среднее 8.8582(12) | 5.03877(6) 5.04035(5) Среднее 5.0396(11) | Настоящая работа |
Таким образом, мотивы структур La3Ga5SiO14 и Na2SiF6 различаются мало (рис. 2), за исключением локальной симметрии одного аниона. Это единственный анион в La3Ga5SiO14, который находится в частной позиции O1(2d), а в Na2SiF6 ему соответствует F1(6g) в общей позиции. Причиной является малый размер катиона Si1 в позиции 1a в Na2SiF6: соответствующий октаэдр из F3(6g) в начале координат “сжимается” по сравнению с лангаситом (рис. 2), а в ячейке появляется дополнительное свободное пространство для анионов, что также соответствует балансу валентностей. Таким образом, в Na2SiF6 координация катионов в позициях 2d и 3f становится октаэдрической, а в лангасите окружение этих позиций тетраэдрическое. При учете сходства сравниваемых структур (рис. 2) не удивляет то, что координаты базисных атомов достаточно близки (табл. 3). Именно описанное подобие структур дает основание для их сравнительного анализа.
Рис. 2. Структура кристаллов La3Ga5SiO14 (а) и Na2SiF6 (б).
Таблица 3. Координаты атомов, заселенность позиций Q и эквивалентные тепловые параметры Uobs в кристаллах La3Ga5SiO14 (выделены полужирным шрифтом) и Na2SiF6 при 295 К
Атом | поз | x/a | y/b | z/c | Q | Uobs, Å2 |
La Na1 | 3e | 0.4159(1) 0.38135(4) | 0 | 0 | 1 | 0.00938(5) 0.02036(7) |
Ga1 Si1 | 1a | 0 | 0 | 0 | 1 | 0.0109(2) 0.01476(4) |
Ga3 Na2 | 3f | 0.7599(1) 0.71494(3) | 0 | 0.5 | 1 | 0.0095(3) 0.01973(6) |
Si + Ga2 Si2 | 2d | 0.33333 | 0.66667 | 0.5335(4) 0.49291(5) | 0.5 + 0.5 1 | 0.0091(7) 0.01347(3) |
O1 F1 | 2d 6g | 0.33333 0.40065(5) | 0.66667 0.55602(4) | 0.2167(3) 0.29953(8) | 1 | 0.014(1) 0.02296(9) |
O2 F2 | 6g | 0.4757(2) 0.48779(4) | 0.3174(3) 0.22594(5) | 0.3353(3) 0.31449(8) | 1 | 0.0186(3) 0.02296(9) |
O3 F3 | 6g | 0.2136(5) 0.17917(5) | 0.0662(4) 0.08336(8) | 0.7517(7) 0.80935(11) | 1 | 0.0183(5) 0.03536(15) |
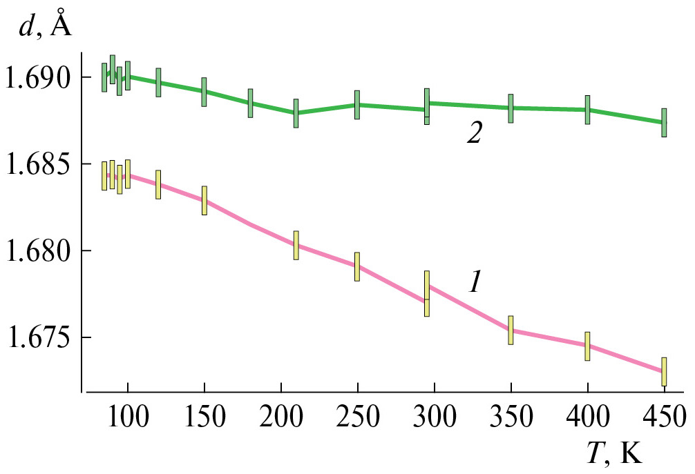
Температурные изменения структуры Na2SiF6. В интервале T = 85–450 К не наблюдаются скачкообразные изменения или аномалии параметров элементарной ячейки (рис. 3). Ступенька на зависимостях в повторных экспериментах при 295 К указывает на то, что реальная точность результатов заметно хуже расчетной. Изменение R-факторов уточнения также монотонно по температуре.
Рис. 3. Зависимость параметров элементарной ячейки а и с кристалла Na2SiF6 от температуры.
Наиболее информативно температурная динамика атомной структуры выявляется при анализе изменений атомных смещений. Программа DebyeFit [26] сравнивает многотемпературный набор Uobs(T) с расчетными величинами ucalc(T) = uzero + ustatic + utemp(T), разделяя, таким образом, квантовые нулевые колебания uzero, статические смещения атомов ustatic (смещения из статических позиций) и динамические тепловые колебания utemp(T). Также DebyeFit оценивает температуры Дебая (TD) и Эйнштейна (TE) [26], характеризующие максимальные и средние частоты колебаний атомов соответственно (табл. 4, приведены только величины TE). Изломы на зависимостях Uobs(T) или отклонения ucalc(T) от Uobs(T) указывают на структурные перестройки или фазовые переходы.
Таблица 4. Температуры Эйнштейна TE, среднеквадратичные значения статических сдвигов ustatic и нулевых колебаний uzero атомов в кристалле Na2SiF6 и точность подгонки R
Атом, позиция | TE, К | uzero, Å2 | ustatic, Å2 | R, % |
Na1(3f) | 168.8(1.9) | 0.0062 | 0.0049(4) | 3.65 |
Na2(3e) | 171.9(1.8) | 0.0061 | 0.0049(4) | 3.44 |
Si1(1a) | 185.1(0.8) | 0.0047 | 0.0042(1) | 1.25 |
Si2(2d) | 195.5(0.6) | 0.0044 | 0.0042(1) | 0.83 |
F1(6g) | 185.4(1.4) | 0.0069 | 0.0059(3) | 2.31 |
F2(6g) | 176.0(1.5) | 0.0073 | 0.0059(3) | 2.64 |
F3(6g) | 134.5(1.9) | 0.0095 | 0.0044(10) | 5.25 |
Статическая и динамическая подвижность атомов (тепловое движение) играет заметную роль в межатомных взаимодействиях, так как изменяет эффективные межатомные расстояния, напрямую влияющие на оптическую активность кристаллов. Если будет обнаружено аномальное изменение атомных смещений, то это укажет на возможную немонотонность температурных зависимостей оптических свойств.
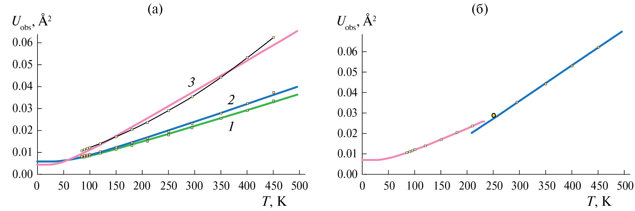
На рис. 4а показано, что подгонка теоретических зависимостей к экспериментальным точкам для анионов не является удовлетворительной, особенно для F3(6g). Экспериментальные точки для Uobs[F3(6g)] соединены ломаной линией, чтобы показать отклонение от теоретической зависимости. Наличие прогибов Uobs(T) с минимумом в области 210 К и высокие невязки (обычно при отсутствии структурных перестроек R ≤ 1%) (табл. 4) указывают на небольшую перестройку структуры с сохранением симметрии, что может отразиться на физических свойствах кристаллов на количественном уровне.
Рис. 4. Температурные зависимости эквивалентных параметров смещений атомов фтора Uobs(T) в кристалле Na2SiF6: а – F1(6g) (1), F2(6g) (2), F3(6g) (3), б – F3(6g). Точки – экспериментальные данные. Сплошные кривые – подгонка экспериментальных Uobs с помощью расширенной модели Эйнштейна [26] (а) и двух расширенных моделей Эйнштейна [26] (б).
Для катионов зависимости похожи, наблюдается перестройка натриевой решетки, менее выраженная для мелких атомов кремния, заполняющих пустоты между натриевыми октаэдрами.
Проведем подгонку экспериментальных значений Uobs двумя теоретическими зависимостями в наиболее очевидном случае аниона F3(6g) (рис. 4б). Проверим предположение, что в области 250 К происходит структурная перестройка. Тогда низкотемпературной области 85–210 К и высокотемпературной 295–450 К будут соответствовать разные характеристические температуры, нулевые колебания и статическое разупорядочение, что должно дать разные траектории для теоретических кривых. Такое предположение справедливо, так как качество подгонки улучшается до R = 0.48% в диапазоне 85–210 К и R = 0.73% в диапазоне 295–450 К (для рис. 4а точность подгонки для Uobs[F3(6g)] равна R = 5.25%) (табл. 4).
Таким образом, в кристалле Na2SiF6 при охлаждении в интервале 280–220 К происходит смена спектра колебательных частот атомов (наиболее значимая для F3(6g) и Na1(3e)). В частности, для F3(6g) увеличивается как средняя частота колебаний TE = 120.8(1.2) К → 149.2(0.5) К, так и максимальная граница достижимых частот TD = 209.2(2.0) К → 259.0(1.0) К, которые характеризуются температурами Эйнштейна и Дебая соответственно.
Анализ межатомных расстояний в Na2SiF6. Выявлено, что причиной смены спектра колебательных частот атомов является аномальное температурное изменение межатомных расстояний (отдаление атомов при охлаждении).
При идеальном нормальном охлаждении твердое тело будет сжиматься монотонно и изотропно. В кристалле как в анизотропной среде возможно появление выделенных направлений с ускоренным и замедленным процессами. Однако наблюдаемое отдаление атомов при понижении температуры вплоть до увеличения параметров элементарной ячейки, т.е. аномальное отрицательное тепловое расширение, может указывать на начинающуюся структурную перестройку.
Большая часть межатомных расстояний уменьшается при охлаждении ожидаемым образом, однако размеры кремниевых октаэдров аномально увеличиваются (рис. 5). Расстояние Si1(1a)–F3(6g) определяет геометрию спирали электронной плотности, которая наделяет кристаллы Na2SiF6 хиральностью и оптической активностью. Можно ожидать, что это приведет к определенным немонотонным изменениям физических свойств Na2SiF6. Увеличение октаэдра вокруг Si1(1a) при охлаждении является аномалией, приводящей к усилению взаимодействия атомов вдоль линии спирали за счет сближения атомов F3(6g) и Na2(3f). Вторая аномалия – расширение октаэдра вокруг Si2(2d) в Na2SiF6 (расстояния Si2(2d)–F1(6g)/F2(6g)) – новый эффект, так как соответствующие тетраэдры в кристаллах семейства лангасита весьма прочные и мало деформируемые. Можно ожидать, что это приведет к определенным немонотонным изменениям физических свойств Na2SiF6, тем более что этот октаэдр деформируется анизотропно.
Рис. 5. Аномальное расширение кремниевых октаэдров (расстояний Si1(1a)–F3(6g) (1) и Si2(2d)–F(1 и 2)(6g) (2)) при охлаждении в кристалле Na2SiF6.
Таким образом, атомная структура демонстрирует ряд интересных особенностей и аномалий. Теперь определим, каким образом эти особенности сказываются на оптических свойствах кристаллов Na2SiF6.
ОПТИЧЕСКИЕ СВОЙСТВА КРИСТАЛЛА Na2SiF6
Зависимость показателей преломления и параметров оптической активности Na2SiF6 от длины волны при Т = 295 К. Так как выращенные кристаллы оказались слишком малы для оптических измерений, их оптические свойства определяли посредством расчета на основе структурных данных. Для расчета использовали программу WinOptAct [27]. В качестве входных данных брали атомную структуру исследуемого кристалла (сорта атомов, их координаты и анизотропные параметры атомных смещений) и поляризуемость ионов. Программа позволяет рассчитать показатели преломления no, ne и параметры оптической активности кристалла. Отметим, что WinOptAct дает возможность провести расчет параметров оптической активности не только вдоль оптической оси, но и в других направлениях.
Под проявлением оптической активности в одноосном кристалле в направлении оптической оси обычно подразумевают вращение плоскости поляризации света ρz, а в направлении, перпендикулярном оптической оси, – величину ρx, которая была бы вращением плоскости поляризации при отсутствии двупреломления [28, 29]:
, , (1)
где gij – компоненты тензора гирации, n – средний показатель преломления, λ – длина волны. Также можно ввести угол θ0 между оптической осью и направлением, в котором оптическая активность равна нулю, в соответствии с выражением ρxsin2θ0 + ρzcos2θ0 = 0.
Проведем расчеты по структурным данным показателей преломления no, ne и величин ρz и ρx кристалла Na2SiF6. Так как решение, получаемое при расчете по WinOptAct, сильно зависит от величин поляризуемости ионов, которые неизвестны, для правильного расчета необходимо сравнение с экспериментальными результатами для части рассчитанных величин. В связи с этим проводили сравнение рассчитанных по WinOptAct показателей преломления с экспериментальными данными [12, 13].
Для определения суммарной поляризуемости можно использовать формулу Клаузиуса–Моссотти [30]:
, (2)
где R – молекулярная рефракция, n – средний показатель преломления, D – плотность вещества, M – молярная масса, α – поляризуемость молекулы, NA = 6.022 × 1023 молекул/моль – число Авогадро. Поляризуемость молекулы равна сумме величин поляризуемости ионов:
αNa2SiF6 = 2αNa + αSi + 6αF. (3)
Результаты расчетов величин no, ne и ρz по программе WinOptAct и используемые значения поляризуемости приведены в табл. 5. Величины Rn рассчитаны по показателям преломления из [13], RW – по сумме величин поляризуемости из WinOptAct. Получено удовлетворительное согласование экспериментальных и расчетных значений no, ne и рефракции.
Таблица 5. Расчет показателей преломления и вращения плоскости поляризации света по программе WinOptAct [27] для Na2SiF6 при разных длинах волн и Т = 293 К
Длина волны, мкм | Поляризуемость | Рефракции Rn, RW | Эксп. no, ne [13] | Расч. no, ne | ρ, град/мм |
0.436 | α(Na) = 0.461 α(Si) = 0.1 α(F) = 0.707 | Rn = 13.38 RW = 13.28 | no = 1.3153 ne = 1.3115 | no = 1.3152 ne = 1.3122 | ρz = 7.227 ρx = –3.315 |
0.478 | α(Na) = 0.46 α(Si) = 0.1 α(F) = 0.705 | Rn = 13.34 RW = 13.24 | no = 1.3142 ne = 1.3104 | no = 1.3142 ne = 1.3113 | ρz = 5.963 ρx = –2.736 |
0.536 | α(Na) = 0.46 α(Si) = 0.1 α(F) = 0.702 | Rn = 13.29 RW = 13.20 | no = 1.3131 ne = 1.3094 | no = 1.3130 ne = 1.3101 | ρz = 4.694 ρx = –2.155 |
0.589 | α(Na) = 0.46 α(Si) = 0.1 α(F) = 0.7 | Rn = 13.27 RW = 13.17 | no = 1.3124 ne = 1.3088 | no = 1.3122 ne = 1.3093 | ρz = 3.861 ρx = –1.773 |
0.633 | α(Na) = 0.459 α(Si) = 0.1 α(F) = 0.699 | Rn = 13.25 RW = 13.15 | no = 1.3119 ne = 1.3082 | no = 1.3117 ne = 1.3088 | ρz = 3.326 ρx = –1.527 |
Из табл. 5 видно, что для полученных величин вращения плоскости поляризации ρz > 0, ρx < 0. Знаки противоположны тем, что были получены для правых кристаллов семейства лангасита (ρz < 0, ρx > 0) [31]. Отметим также, что кристалл Na2SiF6 оптически отрицательный (no > ne) [12, 13], а лангаситы – оптически положительные (no < ne) [14].
На рис. 6 приведены зависимости величин no, ne и ρz от длины волны. Сплошные кривые на рис. 6а – показатели преломления, рассчитанные на основе данных [13] в соответствии с формулами:
no2 – 1 = Koλ2/(λ2 – λo2),
ne2 – 1 = Keλ2/(λ2 – λe2). (4)
Точки – показатели преломления, рассчитанные по WinOptAct.
Зависимость ρz (линия на рис. 6б) от длины волны получена по формуле [32]:
. (5)
Рис. 6. Зависимости от длины волны: а – показателей преломления no, ne; б – вращения плоскости поляризации света ρz. Точки – значения, рассчитанные по WinOptAct, линии – аппроксимация, рассчитанная по экспериментальным данным [13] (а) и по данным WinOptAct (б).
Для нахождения коэффициента K0 использовали величину ρ, рассчитанную при λ = 0.589 мкм по WinOptAct, а λ0 взяли такое же, как для no (λ0 = 0.0655 мкм). Рассчитанные величины ρz (точки на рис. 6б) удовлетворительно согласуются с полученной зависимостью.
Зависимость показателей преломления и параметров оптической активности Na2SiF6 от температуры при λ = 0.589 мкм. Изменение показателя преломления в первую очередь связано с изменением плотности кристалла. Уменьшение плотности при увеличении температуры приводит к уменьшению показателей преломления. Также на показатели преломления влияет изменение природы межатомной связи, например увеличение степени ковалентности связи при нагревании приводит к повышению показателей преломления. Показатели преломления диэлектрических кристаллов обычно уменьшаются при повышении температуры, а полупроводниковых кристаллов, наоборот, увеличиваются [30].
Проведем расчет no, ne и ρ на основе структурных данных при разных температурах. Согласно [30] молекулярная рефракция слабо зависит от температуры и пропорциональна сумме величин поляризуемости ионов. В первом приближении будем считать, что поляризуемость ионов также мало зависит от температуры.
Можно провести расчет среднего показателя преломления n методом молекулярных рефракций по формуле (2). Без учета температурного изменения рефракции в формуле (2) меняется только плотность кристалла. Результаты расчетов no, ne и ρ по программе WinOptAct и методом молекулярных рефракций приведены в табл. 6. Показатели преломления уменьшаются при повышении температуры, как и ожидалось, так как кристалл Na2SiF6 является диэлектриком с ионной связью.
Таблица 6. Расчет no, ne и ρ для Na2SiF6 по программе WinOptAct при разных температурах и λ = 0.589 мкм
Т, К | no, ne (WinOptAct) | nср (молекул. рефр.) | ρ, град/мм | Т, К | no, ne (WinOptAct) | nср (молекул. рефр.) | ρ, град/мм |
85 | no = 1.3164 ne = 1.3128 | 1.3151 | ρz = 3.904 ρx = –1.786 | 210 | no = 1.3143 ne = 1.3111 | 1.3131 | ρz = 3.900 ρx = –1.789 |
90 | no = 1.3163 ne = 1.3128 | 1.3151 | ρz = 3.905 ρx = –1.787 | 250 | no = 1.3133 ne = 1.3103 | 1.3121 | ρz = 3.875 ρx = –1.778 |
95 | no = 1.3163 ne = 1.3128 | 1.3150 | ρz = 3.908 ρx = –1.789 | 295 | no = 1.3122 ne = 1.3093 | 1.3111 | ρz = 3.861 ρx = –1.773 |
100 | no = 1.3162 ne = 1.3127 | 1.3149 | ρz = 3.904 ρx = –1.787 | 295 | no = 1.3120 ne = 1.3091 | 1.3108 | ρz = 3.845 ρx = –1.765 |
120 | no = 1.3160 ne = 1.3126 | 1.3148 | ρz = 3.907 ρx = –1.789 | 350 | no = 1.3107 ne = 1.3080 | 1.3096 | ρz = 3.829 ρx = –1.760 |
150 | no = 1.3155 ne = 1.3121 | 1.3142 | ρz = 3.898 ρx = –1.785 | 400 | no = 1.3094 ne = 1.3069 | 1.3083 | ρz = 3.799 ρx = –1.747 |
180 | no = 1.3149 ne = 1.3117 | 1.3137 | ρz = 3.903 ρx = –1.790 | 450 | no = 1.3081 ne = 1.3057 | 1.3071 | ρz = 3.778 ρx = –1.737 |
Примечание. Для сравнения приведены результаты расчета nср методом молекулярных рефракций.
На рис. 7 приведены зависимости no, ne и ρ от температуры. Видно, что зависимости no(Т), ne(Т) меняют ход при температуре ниже 180 К, а зависимости ρz(Т) и ρx(Т) – при температуре около 200 К. В диапазоне 150–450 К зависимости no(Т), ne(Т) можно аппроксимировать прямой линией. Изломы на температурных зависимостях оптических свойств могут указывать на структурные перестройки, например величина ρz для кристалла кварца резко меняет ход в точке фазового перехода при Т = 573°С [33].
Рис. 7. Зависимости от температуры: а – показателей преломления; б – угла θ0, характеризующего направление, в котором ρ = 0; в – вращения плоскости поляризации света вдоль оптической оси ρz, г – вращения плоскости поляризации света перпендикулярно оптической оси ρx.
СТРУКТУРНОЕ ОБОСНОВАНИЕ ПОЛУЧЕННЫХ РЕЗУЛЬТАТОВ
Кратко обсудим различия пьезосвойств La3Ga5SiO14 и Na2SiF6. При переходе La3Ga5SiO14 → → Na2SiF6 большая полость для атома Na1(3e) сохраняется (рис. 2), и, казалось бы, кристалл Na2SiF6 также должен проявлять пьезосвойства, основной вклад в которые вносит именно смещение атома, заселяющего позицию 3e [34]. Однако в Na2SiF6 атом-антагонист в позиции 3f, а именно Na2, получил большую свободу, размещаясь в обширном октаэдре вместо Ga(3f), расположенного в тесном тетраэдре в лангасите. Противоположное движение Ga(3f) по отношению к La(3e) при наложении давления частично гасит пьезосвойства в лангасите. Вероятно, Na2(3f) может смещаться намного сильнее, так, чтобы почти компенсировать смещение Na1(3e) при наложении давления. Поэтому неудивительно, что нет сообщений о найденных пьезосвойствах Na2SiF6.
Выделим три обнаруженные особенности оптических свойств Na2SiF6: близость величины вращения плоскости поляризации ρz к величине в лангасите (при λ = 589 нм для Na2SiF6 ρz = 3.88, для La3Ga5SiO14 ρz = –3.55 град/мм); существенное различие показателей преломления, которые в случае Na2SiF6 гораздо меньше (1.312 против 1.904 для La3Ga5SiO14); излом зависимости no(Т), ne(Т) ниже 180 К, изломы зависимостей ρz(Т) и ρx(Т) при температуре около 210 К (рис. 7).
Оптические свойства кристаллов зависят от их химического состава, межатомных расстояний и конфигурации атомов (от симметрии). Методически простыми приемами являются изменение каких-либо факторов и оценка их влияния на свойства. В настоящем исследовании доступно лишь варьирование межатомных расстояний, например, путем охлаждения, так как в случае Na2SiF6 в отличие от семейства лангасита смена химического состава чаще всего приводит к смене симметрии.
Возможное объяснение наблюдения 1. В Na2SiF6 имеет место уменьшенный размер 1a-октаэдра по сравнению с лангаситом. С одной стороны, такое изменение в Na2SiF6 локального окружения атомов нарушает регулярность строения спиралей электронной плотности, отвечающих за хиральность и оптическую активность (увеличенное расстояние F3(6g)–Na2(3f) по сравнению с лангаситом) (рис. 2), что должно ослаблять оптическую активность. С другой стороны, тепловое движение и статическое разупорядочение в Na2SiF6 в 2–3 раза выше, что, наоборот, уменьшает эффективные межатомные расстояния, увеличивает межатомное взаимодействие и оптическую активность. Конкуренция этих двух факторов оставляет близкими величины ρz для La3Ga5SiO14 и Na2SiF6.
Возможное объяснение наблюдений 2 и 3. Покажем, что для таких практически изоструктурных соединений, как Na2SiF6 и кристаллы семейства лангасита, величина показателей преломления зависит от специфических межатомных расстояний. Сначала убедимся, что геометрический эффект выражен настолько сильно, что показатели преломления зависят от общей метрики, т.е. от размеров элементарных ячеек. Общая тенденция состоит в том, что показатель преломления no возрастает с уменьшением параметра ячейки a и увеличением параметра с (рис. 8, табл. 7). Конечно, такое рассмотрение является упрощением, более точно зависимости можно описать параболами. Но и такая аппроксимация не выявляет конкретный активный фактор.
Рис. 8. Зависимость параметров элементарной ячейки а (а) и с (б) от показателя преломления обыкновенного луча no для кристалла Na2SiF6 и кристаллов семейства лангасита, для которых известны экспериментальные значения no, ne. NSF – Na2SiF6, CTGS – Ca3TaGa3Si2O14, CGG – Ca3Ga2Ge4O14, SGG – Sr3Ga2Ge4O14, LGS – La3Ga5SiO14, LGG – La3Ga5GeO14, LTG – La3Ga5.5Ta0.5O14, LNG – La3Ga5.5Nb0.5O14.
Определим, какие именно межатомные расстояния наиболее сильно влияют на величину показателя преломления. Наиболее правдоподобной выглядит гипотеза, что это именно те расстояния, температурная динамика которых коррелирует с температурной динамикой показателя преломления (рис. 7а). Это уже рассмотренные выше расстояния Si1(1a)–F3(6g) и Si2(2d)–F(1 и 2)(6g). Особенности температурной зависимости расстояния Si2(2d)–F(1 и 2)(6g) модулируют изгиб на соответствующих зависимостях величин оптических параметров на рис. 7.
Обнаружено, что наилучшая корреляция наблюдается между температурными зависимостями оптических характеристик Na2SiF6, например показателя преломления no, и межатомного расстояния Si2(2d)–F2(6g) (рис. 9а). Общая тенденция состоит в том, что no возрастает с увеличением расстояния Si2(2d)–F2(6g) (аномальным при нагревании данного кристалла). При комнатной температуре расстояние Si2(2d)–F2(6g) в Na2SiF6 равно 1.6884(4) Å, а в лангаситах увеличение этого расстояния сопровождается ростом показателя преломления (табл. 7). Конечно, и химические сорта атомов (сравним Na2SiF6 и Ca3TaGa3Si2O14), и другие факторы влияют на зависимость no = f[d(Катион(2d)–Анион2(6g))].
Таблица 7. Параметры элементарной ячейки а и с, расстояние d между катионом в позиции 2d и вторым анионом в позиции 6g и величины no в кристаллах семейства лангасита и Na2SiF6 при 295 К для длины волны 589 нм
Кристалл | a, Å | c, Å | Катион | Анион-2 | d, Å | |
Na2SiF6 | 8.8582 | 5.0396 | Si2 | F2 | 1.6884(4) | 1.3124 |
Ca3TaGa3Si2O14 | 8.1048 | 4.9804 | Si2 | O2 | 1.64344(8) | 1.7777 |
Ca3Ga2Ge4O14 | 8.0672 | 4.9675 | Ge2 | O2 | 1.7593(8) | 1.8003 |
Sr3Ga2Ge4O14 | 8.2776 | 5.0414 | Ge2 | O2 | 1.7626(4) | 1.7990 |
La3Ga5SiO14 | 8.1652 | 5.0958 | Ga2 | O2 | 1.7400(9) | 1.9041 |
La3Ga5GeO14 | 8.1939 | 5.1022 | Ge2 | O2 | 1.8179(9) | 1.9262 |
La3Ga5.5Ta0.5O14 | 8.2312 | 5.1234 | Ga2 | O2 | 1.8404(8) | 1.9442 |
La3Ga5.5Nb0.5O14 | 8.2260 | 5.1255 | Ga2 | O2 | 1.8414(5) | 1.9559 |
Обращает на себя внимание то обстоятельство, что показатели преломления кристаллов Ca3Ga2Ge4O14 и Sr3Ga2Ge4O14, имеющих разные параметры элементарной ячейки, практически равны (рис. 8, табл. 7), что нарушает тенденцию и делает оптические измерения малоправдоподобными. Обстоятельство “обратного” смысла наблюдается при сравнении случаев La3Ga5.5Ta0.5O14 и La3Ga5.5Nb0.5O14: даже небольшое увеличение параметров элементарной ячейки и совсем уж незначительный рост расстояния Ga2(2d)–O2(6g) приводят к увеличению показателя преломления в La3Ga5.5Nb0.5O14. Кристаллы La3Ga5.5Ta0.5O14 и La3Ga5.5Nb0.5O14 являются структурными и функциональными “близнецами”. Это доказывает, что при прочих равных условиях расстояние Ga2(2d)–O2(6g) детерминирующее, а совокупность всех результатов позволяет обобщить найденную закономерность для всех рассмотренных соединений.
В случае Na2SiF6 на зависимости no = f(d) имеется область, где кривизна меняет знак (рис. 9а). Это область структурной перестройки (изменений локальной симметрии) при 210–250 К, в которой результаты являются по смыслу неустойчивыми. Ниже этих температур происходит излом зависимостей no(T) (рис. 7). Примечательно, что точки (d, n) расположились в порядке убывания температуры (кроме “перестроечных” при 210 и 250 К и малоразличимых данных при 85 и 95 К). Такое невозможно при серьезных ошибках и является доказательством высокой точности и самосогласованности всего многотемпературного исследования. Остальные зависимости оптических параметров от межатомного расстояния Si2(2d)–F2(6g) (рис. 7) имеют аналогичный вид (на рис. 9б дан пример для величины ρz).
Рис. 9. Зависимость показателя преломления no (а) и коэффициента вращения плоскости поляризации света ρz (б) для кристалла Na2SiF6 от межатомного расстояния Si2(2d)–F2(6g) при разных температурах.
ЗАКЛЮЧЕНИЕ
Кристаллы гексафторосиликата натрия Na2SiF6 интересны из-за сходства их структуры со структурой кристаллов семейства лангасита, обладающих набором полезных физических свойств. Кристаллы Na2SiF6 менее востребованы, особенно в сфере высоких технологий. В работе была предпринята попытка объяснить такое положение дел и ответить на вопрос, существуют ли перспективы для гипотетического семейства кристаллов “насиф” (по первым буквам Na2SiF6) стать такими же мультифункциональными материалами. Для этого методом гидротермального синтеза были выращены бесцветные прозрачные призматические кристаллы Na2SiF6 с латеральными размерами до 5 мм.
Особое внимание было уделено повышению точности рентгеноструктурного исследования. Полученные выводы основаны на результатах многотемпературной серии из 14 экспериментов ультравысокого разрешения при 85–450 К и на расчетах оптических свойств кристаллов (показателей преломления и параметров оптической активности) на базе структурных данных.
Обнаружено, что в кристалле Na2SiF6 при охлаждении ниже 250 К начинается структурная трансформация с сохранением средней симметрии. При охлаждении ниже 80 К в этом кристалле возможен фазовый переход. Предпосылки к этому – аномальное расширение кремниевых [Si1(1a)–F3(6g)]- и [Si2(2d)–F(1 и 2)(6g)]-октаэдров (начинающаяся перестройка локального окружения атомов) и излом температурной зависимости параметров атомных смещений. Ее моделирование в приближениях Эйнштейна и Дебая показало, что в этой температурной области обнаружен сдвиг спектра колебаний атомов в сторону более высоких частот (наиболее сильный для F3(6g)). Особенности аномального увеличения межатомных расстояний Si2(2d)–F1(6g) и Si2(2d)–F2(6g) однозначно коррелируют с температурной динамикой показателей преломления и параметров оптической активности (например, рост no, ne и |ρz|, |ρx| при увеличении расстояния Si2(2d)–F2(6g)). Принципиально, что излом структурных и оптических зависимостей имеет место ниже температурной области 210–250 К. Показано, что в кристаллах семейства лангасита при 295 К также пропорционально увеличивается no при возрастании характеристического расстояния Cation2(2d)–O2(6g).
Полученную близость удельного вращения плоскости поляризации света в лангасите и Na2SiF6 можно объяснить влиянием конкурирующих факторов в области спирали электронной плотности, закрученной вокруг главной тройной оси симметрии, проходящей через начало координат ячейки. В работе доказано, что для более полного структурного объяснения оптических свойств Na2SiF6 необходимо включить в рассмотрение аномальные особенности межатомных взаимодействий и локального окружения атомов вдоль второй тройной оси ячейки кристалла (проходящей через позицию Si2(2d)).
Отметим, что нет оснований ожидать выраженных пьезосвойств Na2SiF6 из-за рыхлой и податливой структуры, которая препятствует сохранению поляризованных участков в элементарной ячейке при приложении давления.
Таким образом, при изменении химического состава кристаллов Na2SiF6 гибкость, усложнение и аномальный характер температурной динамики их структуры могут привести к комплексу полезных физических свойств, если при этом возможно сохранение исходной симметрии при нормальных условиях.
Авторы выражают благодарность Н.И. Сорокиной и Е.С. Смирновой за помощь при уточнении атомной структуры кристалла Na2SiF6.
Работа проведена в рамках государственного задания НИЦ “Курчатовский институт”. Дифракционные эксперименты выполнены на оборудовании ЦКП “Структурная диагностика материалов” КККиФ НИЦ “Курчатовский институт”.
About the authors
A. P. Dudka
Shubnikov Institute of Crystallography of Kurchatov Complex of Crystallography and Photonics of NRC “Kurchatov Institute”
Email: tatgolovina@mail.ru
Russian Federation, 119333 Moscow
D. N. Karimov
Shubnikov Institute of Crystallography of Kurchatov Complex of Crystallography and Photonics of NRC “Kurchatov Institute”
Email: tatgolovina@mail.ru
Russian Federation, 119333 Moscow
T. G. Golovina
Shubnikov Institute of Crystallography of Kurchatov Complex of Crystallography and Photonics of NRC “Kurchatov Institute”
Author for correspondence.
Email: tatgolovina@mail.ru
Russian Federation, 119333 Moscow
A. F. Konstantinova
Shubnikov Institute of Crystallography of Kurchatov Complex of Crystallography and Photonics of NRC “Kurchatov Institute”
Email: tatgolovina@mail.ru
Russian Federation, 119333 Moscow
References
- Zalkin A., Forrester J.D., Templeton D.H. // Acta Cryst. 1964. V. 17. P. 1408. https://doi.org/10.1107/S0365110X64003516
- Arianpour F., Arianpour A.C., Aali B. // Silicon. 2021. V. 13. P. 4381. https://doi.org/10.1007/s12633-020-00755-0
- Zhang W., Jing Q., Fang Yu., Chen Z. // Z. Anorg. Allg. Chem. 2017. V. 643. P. 1739. http://dx.doi.org/10.1002/zaac.201700322
- Lang T.-C., Han T., Peng L.-L., Tu M.-J. // Mater. Chem. Front. 2017. V. 1. P. 928. https://doi.org/10.1039/C6QM00284F
- Ha J., Novitskaya E., Lam N. et al. // J. Lumin. 2020. V. 218. P. 116835. https://doi.org/10.1016/j.jlumin.2019.116835
- Zhao J.-Y., Wang X.-G. // Appl. Phys. A. 2019. V. 125. P. 178. https://doi.org/10.1007/s00339-019-2468-1
- Beers W., Brik M., Ma C.-G. et al. // ECS J. Solid State Sci. Technol. 2024. https://doi.org/10.1149/2162-8777/ad561b
- Krasinski M.J., Prywer J. // J. Cryst. Growth. 2007. V. 303. P. 105. https://doi.org/10.1016/j.jcrysgro.2006.10.228
- Милль Б.В., Буташин А.В., Ходжабагян Г.Г. и др. // Докл. АН СССР. 1982. Т. 264. № 6. С. 1385.
- Mill B.V., Pisarevsky Yu.V. // Proc. 2000 IEEE/EIA Intern. Frequency Control Symp., Kansas City, Missouru, USA. P. 133.
- Максимов Б.А., Молчанов В.Н., Милль Б.В. и др. // Кристаллография. 2005. Т. 50. № 5. С. 813.
- Винчелл А.Н., Винчелл Г. Оптические свойства искусственных минералов. М.: Мир, 1967. 528 с.
- Shannon R.D., Shannon R.S., Medenbach O., Fischer R.X. // J. Phys. Chem. Ref. Data. 2002. V. 31. № 4. P. 931. https://doi.org/10.1063/1.1497384
- Батурина О.А., Гречушников Б.Н., Каминский А.А. и др. // Кристаллография. 1987. Т. 32. Вып. 2. С. 406.
- Cipriani C. // Period. Mineral. 1955. V. 24. P. 361.
- Piret P. // Bull. Soc. Chim. Belg. 1961. V. 70. P. 193.
- Schäfer G.F. // Z. Kristallogr. 1986. B. 175. S. 269. https://doi.org/10.1524/zkri.1986.175.3-4.269
- Дудка А.П. // Кристаллография. 2017. Т. 62. № 2. С. 202. https://doi.org/10.7868/S0023476117020102
- Marty K., Bordet P., Simonet V. et al. // Phys. Rev. B. 2010. V. 81. P. 054416. https://doi.org/10.1103/PhysRevB.81.054416
- Pikin S.A., Lyubutin I.S. // Phys. Rev. B. 2012. V. 86. Р. 064414. https://doi.org/10.1103/PhysRevB.86.064414
- Wang Z., Ji H., Zhang Z. et al. // J. Am. Ceram. Soc. 2021. V. 104. P. 5077. https://doi.org/10.1111/jace.17739
- Singh V.S., Moharil S.V. // Mater. Today Proc. 2020. V. 28. P. 37. https://doi.org/10.1016/j.matpr.2020.01.047
- Rigaku Oxford Diffraction, 2018, CrysAlisPro Software system, version 1.171.39.46, Rigaku Corporation, Oxford, UK.
- Dudka A. // J. Appl. Cryst. 2010. V. 43. № 6. P. 1440. https://doi.org/10.1107/S0021889810037131
- Petricek V., Dusek M., Palatinus L. // Z. Kristallogr. 2014. В. 229. № 5. S. 345. https://doi.org/10.1515/zkri-2014-1737
- Dudka A.P., Bolotina N.B., Khrykina O.N. // J. Appl. Cryst. 2019. V. 52. P. 690. https://doi.org/10.1107/S1600576719005818
- Glazer A.M. // J. Appl. Cryst. 2002. V. 35. P. 652. https://doi.org/10.1107/S0021889802013997
- Шубников А.В. Основы оптической кристаллографии. М.: Изд-во АН СССР, 1958. 207 с.
- Константинова А.Ф., Гречушников Б.Н., Бокуть Б.В., Валяшко Е.Г. Оптические свойства кристаллов. Минск: Наука и техника, 1995. 304 с.
- Бацанов С.С. Структурная рефрактометрия. М.: Высшая школа, 1976. 304 с.
- Константинова А.Ф., Головина Т.Г., Дудка А.П. // Кристаллография. 2018. Т. 63. № 2. С. 218. https://doi.org/10.7868/S0023476118020091
- Кизель В.А., Бурков В.И. Гиротропия кристаллов. М.: Наука, 1980. 304 с.
- Lowry T.M. Optical Rotatory Power. London: Longmans, Green and Co., 1935. 524 p.
- Araki N., Ohsato H., Kakimoto K. et al.// J. Eur. Ceram. Soc. 2007. V. 27. P. 4099. https://doi.org/10.1016/j.jeurceramsoc.2007.02.177
Supplementary files











