Учет неидеальности оптических элементов спектрофотометрического комплекса при измерении спектров пропускания гиротропных одноосных кристаллов. II. Образцы вырезаны параллельно оптической оси
- Авторы: Головина Т.Г.1, Константинова А.Ф.1, Забелина Е.В.2, Козлова Н.С.2, Касимова В.М.2
-
Учреждения:
- Институт кристаллографии им. А.В. Шубникова Курчатовского комплекса кристаллографии и фотоники НИЦ “Курчатовский институт”
- Национальный исследовательский технологический университет “МИСИС”
- Выпуск: Том 70, № 1 (2025)
- Страницы: 53-61
- Раздел: ФИЗИЧЕСКИЕ СВОЙСТВА КРИСТАЛЛОВ
- URL: https://journal-vniispk.ru/0023-4761/article/view/286247
- DOI: https://doi.org/10.31857/S0023476125010076
- EDN: https://elibrary.ru/ITFNXG
- ID: 286247
Цитировать
Аннотация
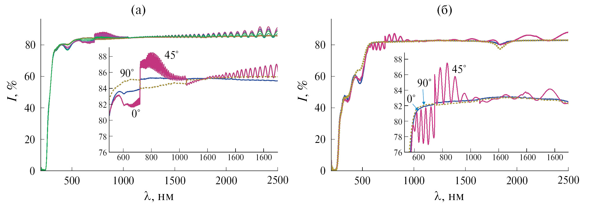
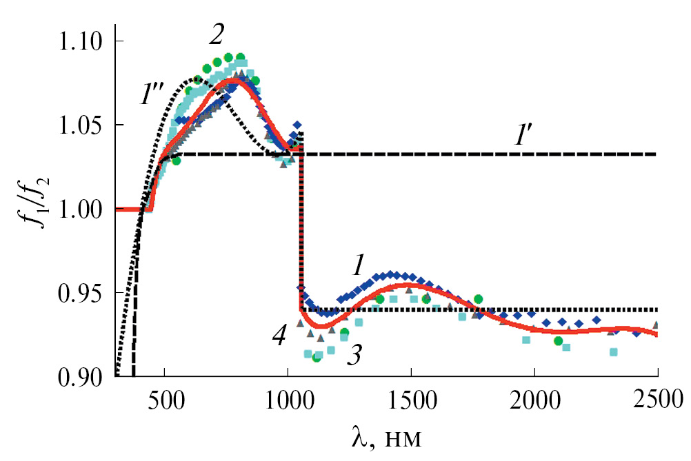
Проведено теоретическое и экспериментальное исследование влияния несовершенства поляризатора, анализатора и фотоэлектронного умножителя (ФЭУ) на результаты измерений спектров коэффициентов пропускания кристаллов семейства лангасита, вырезанных параллельно оптической оси. Показано, что при отсутствии анализатора появляются осцилляции на спектрах пропускания, амплитуда которых зависит от поворота кристалла. Эти осцилляции связаны с линейным двупреломлением и появляются из-за несовершенства ФЭУ, который играет роль частичного анализатора. Из полученных спектров вычислены параметры ФЭУ в зависимости от длины волны. Проведен расчет двупреломления исследуемых кристаллов и получена оценка погрешности такого расчета. Показано, что неидеальность оптических элементов не приводит к дополнительным погрешностям при расчете двупреломления. Таким образом, когда пластинка вырезана перпендикулярно оптической оси, проявляется циркулярное двупреломление, когда параллельно – линейное двупреломление.
Полный текст
Об авторах
Т. Г. Головина
Институт кристаллографии им. А.В. Шубникова Курчатовского комплекса кристаллографии и фотоники НИЦ “Курчатовский институт”
Автор, ответственный за переписку.
Email: tatgolovina@mail.ru
Россия, Москва
А. Ф. Константинова
Институт кристаллографии им. А.В. Шубникова Курчатовского комплекса кристаллографии и фотоники НИЦ “Курчатовский институт”
Email: tatgolovina@mail.ru
Россия, Москва
Е. В. Забелина
Национальный исследовательский технологический университет “МИСИС”
Email: tatgolovina@mail.ru
Россия, Москва
Н. С. Козлова
Национальный исследовательский технологический университет “МИСИС”
Email: tatgolovina@mail.ru
Россия, Москва
В. М. Касимова
Национальный исследовательский технологический университет “МИСИС”
Email: tatgolovina@mail.ru
Россия, Москва
Список литературы
- Головина Т.Г., Константинова А.Ф., Забелина Е.В. и др. // Кристаллография. 2025. Т. 70. № 1. С. 42. http://doi.org/10.31857/S0023476125010061
- Меланхолин Н.М. Методы исследования оптических свойств кристаллов. М.: Наука, 1970. 156 с.
- Kobayashi J., Uesu Y. // J. Appl. Cryst. 1983. V. 16. P. 204. https://doi.org/10.1107/S0021889883010262
- Kobayashi J., Asahi T., Sakurai M. et al. // Acta Cryst. A. 1998. V. 54. P. 581. https://doi.org/10.1107/S0108767398001986
- Шерклифф У. Поляризованный свет. М.: Мир, 1965. 264 с.
- Шамбуров В.А., Евдищенко Е.А., Вислобоков А.И. // Кристаллография. 1988. Т. 33. Вып. 3. С. 554.
- Shindo Y., Nakagawa M. // Rev. Sci. Instrum. 1985. V. 56. № 1. P. 32. https://doi.org/10.1063/1.1138467 https://www.campilab.by/file/35_5991-2529ru.pdf/5991-2529RU.pdf https://www.buffalo.edu/shared-facilities-equip/facilities-equipment/MaterialsCharacterizationLabs.host.html/content/shared/www/shared-facilities-equip/equipment-list/agilent-cary-7000.detail.html
- Kozlova N., Buzanov O., Kozlova A. et al. // Radiat. Applic. 2016. V. 1. № 3. P. 171. https://doi.org/10.21175/RadJ.2016.03.032
- Забелина Е.В., Козлова Н.С., Бузанов О.А. // Оптика и спектроскопия. 2023. Т. 131. Вып. 5. С. 634. https://doi.org/10.21883/OS.2023.05.55715.67-22
- Батурина О.А., Гречушников Б.Н., Каминский А.А. и др. // Кристаллография. 1987. Т. 32. Вып. 2. С. 406.
- Шубников А.В. Кварц и его применение. М.; Л.: Изд-во АН СССР, 1940. 194 с.
- Ghosh G. // Opt. Commun. 1999. V. 163. P. 95. https://doi.org/10.1016/S0030-4018(99)00091-7
Дополнительные файлы







