Атомистическое моделирование кристалла парателлурита α-TeO2. III. Анизотропия ионного транспорта при наложении постоянного электрического поля
- Авторы: Иванов-Шиц А.К.1
-
Учреждения:
- Институт кристаллографии им. А.В. Шубникова Курчатовского комплекса кристаллографии и фотоники НИЦ “Курчатовский институт”
- Выпуск: Том 70, № 1 (2025)
- Страницы: 68-72
- Раздел: ФИЗИЧЕСКИЕ СВОЙСТВА КРИСТАЛЛОВ
- URL: https://journal-vniispk.ru/0023-4761/article/view/286250
- DOI: https://doi.org/10.31857/S0023476125010093
- EDN: https://elibrary.ru/ISQVEM
- ID: 286250
Цитировать
Аннотация
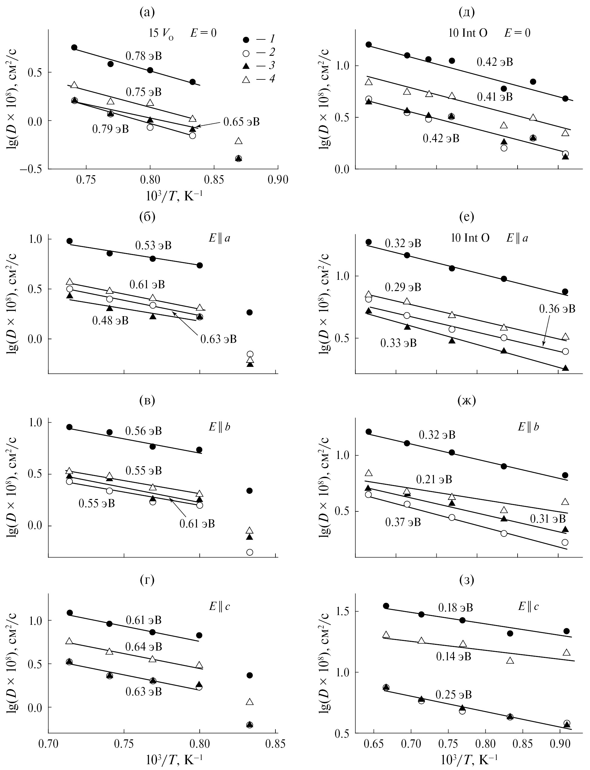
Методом молекулярной динамики исследованы особенности ионного переноса в кристаллах парателлурита α-TeO2 в условиях внешнего постоянного электрического поля. Показано, что анизотропия ионного транспорта в большей степени проявляется при наложении поля Е вдоль оси с: при Е = 350 кВ/мм наблюдается увеличение диффузии примерно в 2 раза для кристаллов с кислородными вакансиями и в 3 раза для образцов с дополнительными междоузельными атомами кислорода.
Полный текст
Об авторах
А. К. Иванов-Шиц
Институт кристаллографии им. А.В. Шубникова Курчатовского комплекса кристаллографии и фотоники НИЦ “Курчатовский институт”
Автор, ответственный за переписку.
Email: alexey.k.ivanov@gmail.com
Россия, Москва
Список литературы
- Кондратюк И.П., Мурадян Л.А., Писаревский Ю.В., Симонов В.И. // Кристаллография. 1987. Т. 32. Вып. 3. С. 609.
- Thomas P.A. // J. Phys. C. 1988. V. 21. P. 4611. http://stacks.iop.org/0022-3719/21/i=25/a=009
- Arlt G., Schweppe H. // Solid State Commun. 1968. V. 6. P. 783. https://doi.org/10.1016/0038–1098(68)90119-1
- Uchida N. // Phys. Rev. B. 1971. V. 4. P. 3736.
- Беляев Л.М., Бурков В.И., Гильварг А.Б. и др. // Кристаллография. 1975. Т. 20. Вып. 6. С. 1221.
- Кизель В.А., Бурков В.И. Гиротропия кристаллов. М.: Наука, 1980. 304 с.
- Акустические кристаллы. Справочник. Под. ред. Шаскольской М.П. М.: Наука, 1982. 632 с.
- Wang P., Zhang Z. // Appl. Opt. 2017. V. 56. P. 1647. https://doi.org/10.1364/AO.56.001647
- Ковальчук М.В., Благов А.Е., Куликов А.Г. и др. // Кристаллография. 2014. Т. 59. С. 950. https://doi.org/10.7868/S0023476114060149
- Куликов А.Г., Благов А.Е., Марченков Н.В. и др. // Письма в ЖЭТФ. 2018. Т. 107. С. 679. https://doi.org/10.7868/S0370274X18100119
- Kulikov A.G., Blagov A.E., Ilin A.S. et al. // J. Appl. Phys. 2020. V. 127. P. 065106. https://doi.org/10.1063/1.5131369
- Иванов-Шиц А.К. // Кристаллография. 2024. Т. 69. № 6. С. 1009. https://doi.org/10.31857/S0023476124060116
- Иванов-Шиц А.К. // Кристаллография. 2025. Т. 70. № 1. С. 62. https://doi.org/10.31857/S0023476125010089
- Smith W., Todorov I.T., Leslie M. // Z. Kristallogr. 2005. B. 220. S. 563. https://doi.org/10.1524/zkri.220.5.563.65076
- English N.J., Waldron C.J. // Phys. Chem. Chem. Phys. 2015. V. 17. P. 12407. https://doi.org/10.1039/c5cp00629e
- English N.J. // Crystals. 2021. V. 11. P. 1405. https://doi.org/10.3390/cryst11111405
- Jain H., Nowick A. S. // Phys. Status Solidi. A. 1981. V. 67. P. 701. https://doi.org/10.1002/pssa.2210670242
- Wegener J., Kanert O., Küchler R. et al. // Z. Naturforsch. A. 1994. V. 49. P. 1151. https://doi.org/10.1515/zna-1994-1208
- Wegener J., Kanert O., Küchler R. et al. // Radiat. Eff. Defects Solids. 1995. V. 114. P. 277.
- Hartmann E., Kovács L. // Phys. Status Solidi. A. 1982. V. 74. P. 59. https://doi.org/10.1002/pssa.2210740105
Дополнительные файлы






