Synthesis of nickel nanodiscs and modification of shells of polyelectrolyte microcapsules with them
- Authors: Sarukhanova V.V.1, Doludenko I.М.1, Khairetdinova D.R.1,2, Volkov V.V.1, Bakirov A.V.1,3, Grigoriev Y.V.1, Khmelenin D.N.1, Mikheev A.V.1, Bukreeva T.V.1
-
Affiliations:
- National Research Center “Kurchatov Institute”
- National University of Science and Technology “MISIS”
- Enikolopov Institute of Synthetic Polymeric Materials, Russian Academy of Sciences
- Issue: Vol 70, No 1 (2025)
- Pages: 111-118
- Section: НАНОМАТЕРИАЛЫ, КЕРАМИКА
- URL: https://journal-vniispk.ru/0023-4761/article/view/286304
- DOI: https://doi.org/10.7868/S3034551025010153
- EDN: https://elibrary.ru/ISHDRU
- ID: 286304
Cite item
Abstract
Magnetic nickel nanoparticles, especially of anisotropic shape, are increasingly attracting the attention of researchers in the field of biomedicine. In this work, magnetic nickel nanodiscs have been synthesized to modify the shells of polyelectrolyte capsules in order to further create new agents for theranostics based on such a nanocomposite system. To obtain nickel nanoparticles in the form of nanodiscs, the method of alternating electrodeposition of metals in the pores of a polymer track membrane was used. Nanowires with alternating layers of copper and nickel were synthesized, and nickel nanodiscs were isolated by selective etching of copper. The magnetic properties of the nanodiscs were investigated by vibrational magnetometry of an array of nanowires in a polymer matrix. The selected disks were studied by dynamic light scattering, electron microscopy, and small-angle X-ray scattering. The possibility of including nickel nanodiscs in the shells of polyelectrolyte capsules by adsorption on a polycation layer followed by application of a polyanion is demonstrated.
Full Text
Введение
Одними из наиболее известных, широко разрабатываемых и перспективных в плане практического использования объектов нанотехнологий стали магнитные наночастицы. Последнее время все большее внимание уделяют биомедицинским применениям этих наночастиц [1–3], в частности они уже приняты к использованию в качестве контрастных агентов для МРТ, а также имеют высокий потенциал как средства доставки лекарств, магнитные сенсоры, агенты для гипертермии опухолей.
Для биомедицинских целей наиболее изучены наночастицы оксидов железа – магнетита и маггемита, что связано с их более низкой токсичностью относительно других магнитных наночастиц [1, 2]. Постепенно возрастает интерес и к наночастицам переходных металлов Fe, Co, Ni. Особое место в этом ряду занимают магнитные наночастицы Ni [4]. Металлический никель обладает каталитическими свойствами, и благодаря распространенности этого элемента в земной коре его использование в качестве катализатора экономически выгодно [5]. Соответственно, было разработано множество способов синтеза наночастиц Ni, прежде всего для их применения в катализе. Эти способы используют как подход “сверху вниз”, так и “снизу вверх” [4]. Ко второму способу относятся методики термического разложения в эмульсиях, метод “золь-гель”, способ химического осаждения из паровой фазы и другие. Кроме того, существует “зеленый” синтез магнитных наночастиц Ni (использование микроорганизмов или растительных экстрактов в качестве восстановителя), которому в настоящее время посвящено довольно много работ [6–8]. Большинство этих способов приводит к формированию частиц, близких по форме к сферическим. Однако для биомедицинских целей бывает перспективно использовать частицы анизотропной формы, которые характеризуются уникальными магнитными и адсорбционными свойствами.
Высоко анизотропные магнитные наночастицы, или нанопроволоки, могут быть получены методом матричного синтеза на основе электрохимического заполнения металлом пор трековых мембран [9]. Возможно формирование нанопроволок с чередующимися слоями за счет использования электролита, содержащего ионы двух металлов, и периодического изменения ростового напряжения [10, 11]. Такие частицы могут быть разделены на фрагменты путем селективного травления [12]. В частности, с помощью матричного электрохимического синтеза ранее были созданы нанопроволоки с чередующимися слоями Cu/Ni, а затем в результате травления слоев Cu – цилиндрические наночастицы Ni (наностержни) [13].
Биомедицинское применение магнитных наночастиц Ni ограничивает их достаточно высокая цито- и системная токсичность [4]. Кроме того, как и для всех наночастиц подгруппы железа, проблемой синтеза и использования наночастиц никеля является их быстрое окисление. Обе эти проблемы решают с помощью модификации поверхности частиц и создания устойчивых защитных покрытий. Помимо этого включение магнитных наночастиц в полимерную матрицу может повысить устойчивость частиц и привести к биосовместимости созданной нанокомпозитной конструкции.
В настоящей работе впервые включены нанодиски никеля, полученные матричным синтезом, в оболочки полиэлектролитных капсул – объектов, перспективных в качестве новых средств доставки лекарств. Капсулы, сформированные послойной адсорбцией противоположно заряженных полимерных ионов, довольно активно исследуют вот уже более 25 лет благодаря широким возможностям регулировки состава и структуры оболочки, а также чувствительности их свойств к условиям окружающей среды [14]. Существует целый ряд работ, в которых полиэлектролитные капсулы были модифицированы магнитными наночастицами оксидов железа для магнитной локализации носителей, а также дистанционного вскрытия оболочек под действием внешнего магнитного поля или ультразвука [15–17]. Такую модификацию осуществляли как путем адсорбции наночастиц [16, 17], так и их синтеза непосредственно на полимерной оболочке [18]. С участием авторов впервые была проведена модификация оболочек полиэлектролитных капсул наностержнями никеля, полученными методом матричного синтеза [13]. Однако размер этих наночастиц достаточно велик (длина находится в субмикронном диапазоне); кроме того, они сильно агрегируют боковыми сторонами в процессе адсорбции. В настоящей работе с использованием матричного синтеза получены нанодиски Ni, проведены их магнитометрия и характеризация методами динамического рассеяния света (ДРС), электронной микроскопии, малоуглового рентгеновского рассеяния (МУРР), а также продемонстрирована возможность их успешной адсорбции на оболочках полиэлектролитных капсул.
Материалы и методы
Материалы. Для создания образцов использованы следующие реактивы: CuSO4 · 5H2O, NiSO4 · 7H2O, NaCl, H3BO3, H2SO4, NaOH, NH4OH (Acros Organics, США), CaCl2·2H2O (Carl Roth, Германия), Na2CO3 (Th. Geyer, Германия), полиаллиламина гидрохлорид (ПАГ), полистиролсульфонат натрия (ПСС), тринатриевая соль этилендиаминтетрауксусной кислоты (ЭДТА) (Sigma-Aldrich, Германия). В качестве ростовой матрицы применяли полупромышленные трековые мембраны на основе полиэтилентерефталата (производство ОИЯИ, г. Дубна), толщина 12 мкм, диаметр пор 100 нм, плотность пор 1.2 × 109 см–2. В экспериментах использована деионизированная вода, очищенная с помощью системы Millipore Direct-Q3 UV.
Получение наночастиц. Для электроосаждения металлов сначала с одной стороны ростовой матрицы методом термического вакуумного напыления (ВУП-4) наносили тонкий проводящий слой меди. Далее напыленный слой гальванически укрепляли с использованием раствора CuSO4 · 5H2O (200 г/л) и H2SO4 (10 г/л), что приводило к созданию сплошного проводящего слоя, выполняющего функцию рабочего электрода. В работе применяли специально сконструированную в СКБ ФНИЦ “Кристаллография и фотоника” РАН гальваническую ячейку (площадь осаждаемого образца 2.5 см2) с потенциостат-гальваностатом Р-2Х компании Elins в качестве источника тока. Прибор позволял проводить временную запись гальванического процесса. Для получения нанопроволок из чередующихся металлов использовали электролит состава 196.3 г/л NiSO4 · 7H2O, 6.3 г/л CuSO4 · 5H2O и 31.5 г/л H3BO3.
После процесса электроосаждения металлов полимерную матрицу растворяли в концентрированном растворе гидроксида натрия (6Н) при температуре 60°C в течение 6 ч. Далее “жертвенные” слои меди и медную подложку удаляли с помощью селективного травления в растворе гидрата аммиака концентрацией 150 г/л в воде с добавлением 1 г/л сульфата меди в течение 72 ч. Выбор состава обусловлен способностью растворять медь, но практически не взаимодействовать с никелем. После полного растворения меди функциональные частицы выделяли из раствора с помощью постоянного магнита.
Формирование капсул. В качестве ядер-темплатов для создания капсул использовали коллоидные частицы карбоната кальция, которые получали методом массовой кристаллизации по известной методике, смешивая растворы карбоната натрия и хлорида кальция концентрацией 0.33 М [19]. Суспензию частиц центрифугировали 2–3 мин при 5000 об./мин и троекратно промывали деионизированной водой. Полученные микрочастицы высушивали в сушильном шкафу при 70°C.
Для создания полимерных микрокапсул использовали способ послойной адсорбции (“layer-by-layer”) поликатиона ПАГ и полианиона ПСС [19]. Сначала к 0.015 г частиц СаCO3 добавляли 2 мл водного раствора ПАГ (2 мг/мл в 0.5 M NaCl). Суспензию перемешивали в течение 15 мин с помощью минишейкера, затем центрифугировали 3 мин при 5000 об./мин, после чего отбирали супернатант, а частицы троекратно промывали деионизированной водой. Затем проводили такую же процедуру, используя 2 мл раствора ПСС (2 мг/мл в 0.5 M NaCl). Для получения многослойных капсул процедуру формирования бислоя ПАГ/ПСС повторяли. После нанесения необходимого количества слоев в суспензию добавляли 0.2 М водный раствор ЭДТА, выдерживали на шейкере на протяжении 15 мин и осаждали центрифугированием. Затем образцы дважды промывали деионизированной водой.
Методы исследования. Проведена вибрационная магнитометрия массива нанопроволок в матрице с использованием прибора ВМ-07 (Россия) в двух положениях поля – в плоскости образца (“in plane”) и параллельно его нормали (“out of plane”).
Распределение по размерам и ζ-потенциал наночастиц и капсул в водной суспензии определяли с помощью автоматического анализатора Zetasizer Nano ZS (Malvern, Великобритания) при 25°С. Исследования методом просвечивающей электронной микроскопии (ПЭМ) выполняли в микроскопе Tecnai Osiris (FEI, США) с ускоряющим напряжением 200 кВ, широкоугловым детектором темного поля и EDX-спектрометром Bruker SuperX.
Измерения интенсивности МУРР проводили на станции БиоМУР на Курчатовском источнике синхротронного излучения [20]. Источником излучения служил поворотный магнит с индукцией 1.7 Тл и энергией 8 кэВ (1.433 Å), с разрешением dE/E 10–3 и потоком фотонов 109 на образце. Монохроматор – треугольный кристалл Si(111) с фокусировкой в горизонтальном направлении. Зеркало – плоское с родиевым напылением. Образец помещали в кварцевый капилляр диаметром 1.5 мм с толщиной стенок 10 мкм. Размер пучка 500 × 350 мкм. Угловой диапазон измерений составлял в модулях вектора рассеяния 0.03 < s < 3 нм–1 (s = (4πsinθ)/λ, 2θ – угол рассеяния). Интенсивность рассеяния регистрировали двумерным детектором Pilatus-3 1M, расположенным на расстоянии 2.5 м от образца. Калибровку осуществляли с помощью дифракционного стандарта бегената серебра. Первичную обработку двумерных дифракционных картин рассеяния проводили с помощью программы Fit2D [21]. В аналогичных условиях выполняли измерения растворителя, интенсивность рассеяния от которого вычитали из данных рассеяния образцами. Первичную обработку полученных экспериментальных данных МУРР осуществляли с помощью программы PRIMUS, расчет объемных распределений по размерам неоднородностей плотности – с помощью программы MIXTURE, интегрированных в пакет анализа данных ATSAS [22].
Объемные распределения по радиусам частиц в сферическом приближении из формы рассчитывали по формуле [23]:
где Drk(R), vk(R) и i0k(s,R) обозначают контраст, объем и нормализованную интенсивность рассеяния частицей радиусом R. Nk(R) есть аналитическая функция распределения частиц по размерам, в качестве которой использовали распределение Шульца–Цимма [23]. Так как это распределение имеет один максимум, а реальное может быть мультимодальным, используют суперпозицию нескольких распределений, параметры и относительные вклады которых ищут методом нелинейных наименьших квадратов [23]. Индекс k в формуле означает номер парциального распределения, k = 1, ..., K. В настоящей работе использовали K = 3, что оказалось достаточным для описания экспериментальных данных.
Результаты и их обсуждение
Сначала методом матричного синтеза были получены нанопроволоки с чередующимися слоями никеля и меди. В качестве матриц использовали полимерные трековые мембраны с нанесенным на одну из сторон контактным слоем из меди, полученным методом вакуумного термического напыления и последующего его утолщения гальваническим методом. Процесс формирования нанопроволок путем электроосаждения происходил в импульсном режиме. В работе слои металлов осаждали поэтапно при изменении потенциала. Для получения нанопроволок использовали электролит состава, разработанного и апробированного при создании слоевых структур [13]. В результате при потенциале осаждения 1.8 В были получены магнитные функциональные никелевые слои, при потенциале 0.6 В – медные слои, “жертвенные”. Потенциал осаждения переключали при достижении определенного протекшего через гальваническую ячейку заряда. Это позволяло более точно контролировать толщину осаждаемых слоев. В работе заряд, необходимый для осаждения медных слоев, составлял 270.7 мКл, для осаждения функциональных слоев – 86 мКл. Такое соотношение зарядов обеспечивало формирование слоев меди и никеля с примерной толщиной 100 и 50 нм соответственно. Отметим, что для увеличения количества итоговых функциональных частиц при использовании одной площади матрицы были получены слоевые нанопроволоки с 20 повторениями циклов осаждения двух слоев.
Так как толщина слоя меди практически в 2 раза превышает толщину слоя никеля и равна диаметру нанопроволоки, магнитное дипольное взаимодействие между слоями никеля и между нанопроволоками не играет существенной роли [24]. Соответственно, полученные данные о коэрцитивной силе (Hc) и остаточной намагниченности (M/Ms) массива нанопроволок можно считать приближенными к аналогичным параметрам нанодисков Ni.
Были получены петли гистерезиса для слоевых нанопроволок Ni/Cu (рис. 1). В образце присутствует некоторая степень анизотропии, что может быть объяснено как геометрией самих структур, так и их расположением в объеме матрицы. Так, в направлении нормали образца значения Hc (224 Э) и M/Ms (0.53) выше, чем в плоскости образца (167 Э и 0.3 соответственно). Полученные данные могут говорить об образовании оси легкого намагничивания, направленной вдоль оси нанопроволок, а значит, параллельно нормали нанодисков. Геометрия наночастиц предполагает наличие плоскости легкого намагничивания таких структур исходя из соотношения их размеров. Однако благодаря их кристаллической структуре и влиянию кристаллической и магнитодипольной анизотропии возможно появление оси легкого намагничивания, ориентированной перпендикулярно плоскости нанодисков. Предполагая, что магнитодипольное взаимодействие между отдельными никелевыми слоями мало, можно сделать вывод, что взвесь нанодисков должна перемагничиваться аналогично нанопроволокам в направлении их нормали. В этом направлении M/Ms приблизительно равно 0.5, что говорит о хаотичном распределении осей легкого намагничивания частиц [25]. Этот факт подтверждается нестрогой ориентацией никелевых слоев в объеме матрицы относительно ее плоскости [10, 11].
Рис. 1. Петли гистерезиса для образцов нанопроволок с заданной толщиной слоя никеля 50 нм для двух направлений поля: в плоскости образца (1) и параллельно его нормали (2).
После чередующегося электроосаждения никеля и меди полимерную матрицу удаляли, растворяя в концентрированном растворе гидроксида натрия. На следующем этапе разделяли полученную многослойную структуру на отдельные слои, растворяя “жертвенные” слои меди и медной подложки.
Полученные наночастицы сначала были охарактеризованы методом ДРС (рис. 2). Средний размер частиц составляет 744 ± 73 нм; кроме того, наблюдается небольшой дополнительный пик в области 4.3 мкм. Такие результаты обусловлены либо нерастворением “жертвенных” слоев, либо сильной агрегацией синтезированных наночастиц никеля в водной суспензии. Коллоидную нестабильность суспензии, т.е. агрегирование частиц в водной среде подтверждает низкое по модулю значение ζ-потенциала, которое составило –3.3 ± 0.5 мВ.
Рис. 2. Распределение синтезированных частиц по размерам по данным ДРС.
Для более точной характеризации полученных частиц применяли методы электронной микроскопии. На рис. 3 представлены примеры полученных изображений. Можно сделать вывод о том, что в ходе химического травления слои меди удалены, а наночастицы никеля разделены (рис. 3а), однако наблюдается их агрегация в виде сформировавшихся “стопок” (рис. 3б). Такую агрегацию наночастиц можно объяснить их магнитной природой и геометрией нанодисков, при которой энергетически выгодно слипание именно плоских сторон. Из изображений видно, что диаметр дисков Ni примерно соответствует диаметру пор матрицы (100 нм), но толщина частиц меньше, чем предполагали исходя из режима осаждения – не 50, а 35–40 нм. Выявленное различие может быть связано с обеднением электролита вблизи рабочей зоны в процессе осаждения нанопроволок. Однако такая особенность должна наблюдаться только на конечных циклах осаждения. Вследствие импульсного режима осаждения наночастиц, а также их дальнейшей обработки химическими методами существует разброс их геометрических параметров, а анизотропия размеров не позволяет точно обработать большое количество изображений частиц, полученных методами электронной микроскопии. В связи с этим для исследования частиц был привлечен метод МУРР.
Рис. 3. ПЭМ-изображение никелевых наночастиц (а) и их изображение, полученное с помощью кольцевого темнопольного детектора (б).
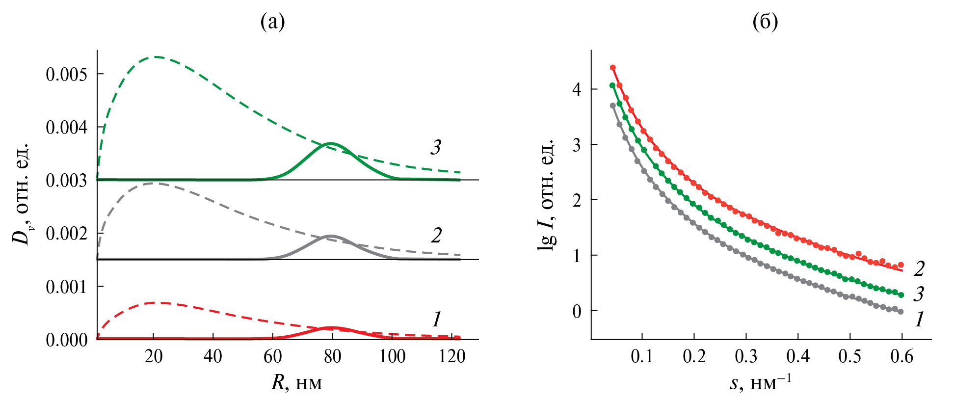
Результаты МУРР представлены на рис. 4. Отметим, что распределение частиц по размерам приведено без учета их ориентации. На рис. 4а показаны объемные распределения по радиусам частиц (т.е. вклад частиц с данным радиусом умножен на их объем). В целом разброс размеров лежит в области 5–120 нм при широком полидисперсном фоне, виден максимум распределения со средним радиусом частиц 80–81 нм и полушириной (rms) 7.9–9.8 нм. При такой малой полуширине используемое в модели распределение Шульца практически совпадает с гауссовым. С учетом объема рассеивающих неоднородностей с размерами менее 5 нм, вклад которых на рисунке не показан, объемная доля этой узкодисперсной фракции варьируется от 0.01 для концентрации 0.05 мкг/мл до 0.06 при увеличении концентрации до 0.2 мкг/мл. В отличие от этого компонента распределение частиц со средним радиусом 40–43 нм более широкое (rms ~ 30 нм при объемных долях от 0.05 до 0.6). Такой большой разброс объемных долей связан с тем, что по мере роста концентрации системы вклад малоразмерных неоднородностей с радиусами менее 5 нм уменьшается от 0.94 до 0.34. С учетом разориентации частиц эти значения коррелируют с задаваемыми на этапе роста размерами. Интенсивность распределения коррелирует с концентрацией частиц в растворе. Расчет распределения проводили в приближении сферических частиц, т.е. найденные радиусы соответствуют радиусам эквивалентных сфер, объем которых отвечает объему дисковых частиц и меньше диаметров дисков не более чем на 30–40% (рис. 3). Модельные интенсивности рассеяния соответствуют кривым распределения нанодисков по размерам (рис. 4б). Поиск пропорций дисковых структур в случае полидисперсности радиусов и толщин по данным МУРР является математически неоднозначной задачей.
Рис. 4. Объемные распределения частиц по радиусам неоднородностей в сферическом приближении их формы по данным МУРР (а), концентрация частиц в суспензии: 0.05 (1), 0.1 (2), 0.2 (3) мкг/мл. Сплошные линии соответствуют распределению компонента с большим размером, штриховые – с меньшим размером. Сравнение экспериментальных данных с модельными интенсивностями, рассчитанными для распределений на рисунке (а) с учетом непоказанных распределений фракций малых неоднородностей (б). Кривые интенсивности смещены по вертикали для лучшей визуализации.
Синтезированные нанодиски никеля включали в состав оболочки полиэлектролитных капсул с помощью электростатической адсорбции. Так как нанодиски имеют слабый отрицательный поверхностный заряд, их адсорбировали на слой положительно заряженного полиэлектролита ПАГ. Для этого к капсулам на ядре из СаСО3 с составом оболочки ПАГ/ПСС/ПАГ после центрифугирования добавляли водную суспензию нанодисков концентрацией 0.2 мкг/мл (2 мл суспензии на ~108 капсул), систему выдерживали при перемешивании на минишейкере в течение 15 мин, затем дважды промывали водой. ζ-потенциал микрочастиц “ядро–оболочка” в результате адсорбции нанодисков изменился от +14.1 ± 1.3 до +10.4 ± 0.5 мВ. Соответственно, следующим слоем на поверхность микрочастиц наносили полианион ПСС, затем – ПАГ. После нанесения ПСС/ПАГ адсорбцию нанодисков никеля повторяли, покрывая частицы дополнительным слоем ПСС. В результате были получены оболочки следующего состава: ПАГ/ПСС/ПАГ/Ni/ПСС/ПАГ/Ni/ПСС. После формирования оболочки ядро из СаСО3 удаляли с помощью раствора ЭДТА по методике, приведенной в экспериментальной части. ζ-потенциал капсул составил –21.3 ± 1.1 мВ, что свидетельствует об электростатической стабилизации системы за счет нанесения внешнего слоя полианиона.
Созданные полые микрокапсулы с нанодисками в составе полимерной оболочки исследовали методом ПЭМ с проведением элементного анализа. Полученные изображения (рис. 5) подтверждают включение нанодисков никеля в оболочку капсул из ПАГ/ПСС. Распределение наночастиц по поверхности капсул довольно равномерное, хотя и встречаются отдельные агрегаты.
Рис. 5. ПЭМ-изображение микрокапсул, модифицированных нанодисками, (а) и их изображение, полученное с помощью кольцевого темнопольного детектора, (б), а также карты распределения никеля (в), углерода (г), кислорода (г) и серы (е).
Заключение
Методом матричного синтеза на основе электрохимического заполнения металлом пор трековых мембран сформированы нанопроволоки с чередующимися слоями меди и никеля за счет применения электролита, содержащего ионы двух металлов, и периодического изменения ростового напряжения. Использованы такие параметры процесса, что в результате удаления “жертвенных” слоев меди путем химического травления получены наночастицы никеля в виде нанодисков. Такими магнитными наночастицами с анизотропной формой предложено модифицировать оболочки полиэлектролитных капсул для возможной локализации нанокомпозитной системы в организме и управляемого вскрытия оболочек под действием внешнего магнитного поля.
Методом магнитометрии массива нанопроволок в матрице определены коэрцитивные силы, поле насыщения и ось легкого намагничивания слоев никеля, которая располагается перпендикулярно плоскости нанодиска. Коэрцитивная сила в обоих направлениях относительно оси нанодиска превышает 100 Э, что свидетельствует о возможности использования полей, допустимых для человека, без перемагничивания наночастиц.
Методами электронной микроскопии визуализировано химическое разделение полученных нанодисков, хотя и показано их агрегирование в водной среде. Данные МУРР и электронной микроскопии подтверждают формирование нанодисков с размерами, соответствующими задаваемым на этапе роста (100 × 50 нм). Нанодиски никеля успешно включены в состав оболочек полиэлектролитных капсул путем их адсорбции на слое поликатиона. Последующее нанесение полианиона позволяет электростатически стабилизировать полученную нанокомпозитную систему.
Совокупность полученных в работе данных демонстрирует успешный контролируемый синтез нанодисков никеля, формирование нанокомпозитных капсул с анизотропными магнитными наночастицами в составе оболочки и позволяет прогнозировать поведение магнитных нанодисков, а также всей системы в целом во внешних магнитных полях для локального вскрытия полиэлектролитных микрокапсул.
Работа выполнена в рамках государственного задания НИЦ “Курчатовский институт” с использованием оборудования ЦКП “Структурная диагностика материалов” Курчатовского комплекса кристаллографии и фотоники, а также РЦ НИЦ “Курчатовский институт” (Центра оптической микроскопии и спектроскопии).
About the authors
V. V. Sarukhanova
National Research Center “Kurchatov Institute”
Author for correspondence.
Email: saruhanova.vika@yandex.ru
Russian Federation, Moscow
I. М. Doludenko
National Research Center “Kurchatov Institute”
Email: saruhanova.vika@yandex.ru
Russian Federation, Moscow
D. R. Khairetdinova
National Research Center “Kurchatov Institute”; National University of Science and Technology “MISIS”
Email: saruhanova.vika@yandex.ru
Russian Federation, Moscow; Moscow
V. V. Volkov
National Research Center “Kurchatov Institute”
Email: saruhanova.vika@yandex.ru
Russian Federation, Moscow
A. V. Bakirov
National Research Center “Kurchatov Institute”; Enikolopov Institute of Synthetic Polymeric Materials, Russian Academy of Sciences
Email: saruhanova.vika@yandex.ru
Russian Federation, Moscow; Moscow
Y. V. Grigoriev
National Research Center “Kurchatov Institute”
Email: saruhanova.vika@yandex.ru
Russian Federation, Moscow
D. N. Khmelenin
National Research Center “Kurchatov Institute”
Email: saruhanova.vika@yandex.ru
Russian Federation, Moscow
A. V. Mikheev
National Research Center “Kurchatov Institute”
Email: saruhanova.vika@yandex.ru
Russian Federation, Moscow
T. V. Bukreeva
National Research Center “Kurchatov Institute”
Email: saruhanova.vika@yandex.ru
Russian Federation, Moscow
References
- Rezaei B., Yari P., Sanders S.M. et al. // Small. 2024. V. 20. Р. 2304848. https://doi.org/10.1002/smll.202304848
- Ullah Khan A., Chen L., Ge G. // Inorg. Chem. Commun. 2021. V. 134. Р. 108995. https://doi.org/10.1016/j.inoche.2021.108995
- Materón E.M., Miyazaki C.M., Carr O. et al. // Appl. Surf. Sci. Adv. 2021. V. 6. Р. 100163. https://doi.org/10.1016/j.apsadv.2021.100163
- Nuru-Deen Jaji, Hooi Ling Lee, Mohd Hazwan Hussin et al. // Nanotechnol. Rev. 2020. V. 9. P. 1456. https://doi.org/10.1515/ntrev-2020-0109
- Bian Z., Das S., Wai M.H. et al. // ChemPhysChem. 2017. V. 18. № 22. P. 3117. https://doi.org/10.1002/cphc.201700529
- Gahlawat G., Choudhury A.R. // RSC Adv. 2019. V. 9. № 23. P. 12944. https://doi.org/10.1039/c8ra10483b
- Sudhasree S., Shakila Banu A., Brindha P., Kurian G.A. // Toxicol. Env. Chem. 2014. V. 96 (5). P. 743. https://doi.org/10.1080/02772248.2014.923148
- Makarov V., Love A., Sinitsyna O. et al. // Acta Nat. 2014. V. 6. № 1. P. 20. https://doi.org/10.32607/20758251-2014-6-1-35-44
- Magnetic Nano- and Microwires: Design, Synthesis, Properties and Applications / Ed. Vazquez M. Elsevier, 2015. P. 962. https://doi.org/10.1016/b978-0-08-102832-2.09989-8
- Жигалина О.М., Долуденко И.М., Хмеленин Д.Н. и др. // Кристаллография. 2018. Т. 63. № 3. С. 455. https://doi.org/10.1134/S1063774518030379
- Загорский Д.Л., Долуденко И.М., Черкасов Д.А. и др. // ФТТ. 2019. Т. 61. Вып. 9. С. 1682. https://doi.org/10.1134/S1063783419090282
- Yao H., Xie L., Cheng Y. et al. // Mater. Des. 2017. V. 123. № 5. P. 165. https://doi.org/10.1016/j.matdes.2017.03.041
- Долуденко И.М., Михеев А.В., Бурмистров И.А. и др. // ЖТФ. 2020. Т. 90. Вып. 9. С. 1435. https://doi.org/10.1134/S1063784220090121
- Kruk T., Chojnacka-Górka K., Kolasińska-Sojka M., Zapotoczny S. // Adv. Colloid Interface Sci. 2022. V. 310. Р. 102773. https://doi.org/10.1016/j.cis.2022.102773
- Timin A.S., Gao H., Voronin D.V. et al. // Adv. Mater. Interfaces. 2017. V. 4. № 1. P. 1600338. https://doi.org/10.1002/admi.201600338
- Gorin D.A., Portnov S.A., Inozemtseva O.A. et al. // Phys. Chem. Chem. Phys. 2008. V. 10. P. 6899. https://doi.org/10.1039/b809696a
- Burmistrov I.A., Veselov M.M., Mikheev A.V. et al. // Pharmaceutics. 2022. V. 14. Р. 65. https://doi.org/10.3390/pharmaceutics14010065
- Lyubutin I.S., Starchikov S.S., Bukreeva T.V. et al. // Mater. Sci. Eng. C. 2014. V. 45. P. 225. https://doi.org/10.1016/j.msec.2014.09.017
- Sukhorukov G.B., Volodkin D.V., Gunther A.M. et al. // J. Mater. Chem. 2004. V. 14. P. 2073. https://doi.org/10.1039/B402617A
- Peters G.S., Zakharchenko O.A., Konarev P.V. et al. // Nucl. Instrum. Methods Phys. Res. А. 2019. V. 945. Р. 162616. https://doi.org/10.1016/ 162616
- Hammersley A.P. // J. Appl. Cryst. 2016. V. 49. P. 646. https://doi.org/10.1107/S1600576716000455
- Manalastas-Cantos K., Konarev P.V., Hajizadeh N.R. et al. // J. Appl. Cryst. 2021. V. 54. P. 343. https://doi.org/10.1107/S1600576720013412
- Svergun D.I., Konarev P.V., Volkov V.V. et al. // J. Chem. Phys. 2000. V. 113. P. 1651. https://doi.org/10.1063/1.481954
- Бизяев Д.А., Хайретдинова Д.Р., Загорский Д.Л. и др. // Физика металлов и металловедение. 2023. Т. 124. С. 717. https://doi.org/10.31857/S0015323023600545
- Anikin A.A., Shumskaya E.E., Bedin S.A. et al. // Bull. Russ. Acad. Sci.: Phys. 2024. V. 88. № 4. P. 1010. https://doi.org/10.1134/S1062873824706998
Supplementary files
Note
In the print version, the article was published under the DOI: 10.31857/S0023476125010153







