Analysis of crystal structure of epitaxial nanoheterostructures with multiple pseudomorphic quantum wells {InхGa1–хAs/GaAs} on GaAs (100), (110) AND (111) )А substrates
- Authors: Klimov Е.А.1,2, Klochkov A.N.3, Pushkarev S.S.1
-
Affiliations:
- National Research Centre “Kurchatov Institute”
- Orion R&P Association, JSC
- National Research Nuclear University “MEPhI”
- Issue: Vol 70, No 1 (2025)
- Pages: 133-140
- Section: CRYSTAL GROWTH
- URL: https://journal-vniispk.ru/0023-4761/article/view/286310
- DOI: https://doi.org/10.7868/S3034551025010184
- EDN: https://elibrary.ru/IRMOQG
- ID: 286310
Cite item
Abstract
The crystal structure of {In0.1Ga0.9As/GaAs} × 10 and {In0.2Ga0.8As/GaAs} × 10 epitaxial multilayer films on GaAs substrates with different orientations has been studied (100), (110), (111)A in order to identify features that may be related to the previously discovered increased efficiency of terahertz radiation generation in films with orientations (110) and (111)A. Significant concentrations of twins and package defects were found in films on non-standard GaAs (110) and (111)A substrates. The composition and thicknesses of individual layers of heterostructures on GaAs (100) substrates have been refined by analyzing thickness fluctuations on diffraction reflection curves.
Full Text
Введение
Терагерцевое (ТГц) излучение перспективно для применения в медицине, системах безопасности, мониторинге окружающей среды и широкополосной передаче данных [1–3]. В связи с этим ведется поиск наиболее эффективных методов генерации и детектирования такого излучения [4]. Фотопроводящие антенны – полупроводниковые устройства, обладающие высоким темновым сопротивлением и ультракоротким временем жизни фотоэлектронов [5], работающие на эффекте фотопроводимости под действием лазерной накачки, – зарекомендовали себя как практичные и эффективные генераторы и детекторы ТГц-излучения для использования в системах импульсной ТГц-спектроскопии [6]. Генерация ТГц-излучения в таких источниках происходит за счет возбуждения быстрых переходных фототоков в приповерхностном электрическом поле [7] или во внешнем электрическом поле, создаваемом электродами фотопроводящей антенны [8].
В полупроводниках GaAs и InGaAs из-за нецентросимметричной кристаллической структуры имеет место пьезоэлектрический эффект, заключающийся в возникновении электрической поляризации деформированных слоев [9]. Сочетание в одной эпитаксиальной гетероструктуре нескольких слоев с различными параметрами кристаллической решетки (например, InхGa1–хAs и GaAs) благодаря деформациям позволяет создать встроенное электрическое поле, амплитуда и направление которого зависят от кристаллографической ориентации слоев и величины рассогласования параметров решетки.
В [10] было показано, что встроенное электрическое поле, возникающее в упруго напряженных множественных квантовых ямах {InGaAs/GaAs} × × 10, оказывает влияние на эффективность генерации ТГц-осцилляций при облучении фемтосекундными оптическими лазерными импульсами поверхности гетероструктур, а также изготовленных на их основе фотопроводящих антенн. Сравнение ТГц-излучения, полученного при одинаковых условиях возбуждения пленок с одинаковым составом, но выращенных на подложках с различной ориентацией, показало, что наиболее интенсивное ТГц-излучение генерируют гетероструктуры на подложках GaAs(110), в меньшей степени эффективны гетероструктуры на подложках (111)А, наименее эффективны пленки на стандартных подложках (100). Среди фотопроводящих антенн, изготовленных на этих гетероструктурах, наибольшей эффективностью ТГц-генерации обладают антенны на пленках с ориентацией (110) и (100).
В настоящей работе исследована кристаллическая структура этих эпитаксиальных многослойных пленок с целью выявления особенностей, которые в той или иной степени могут быть связаны с повышенной эффективностью ТГц-генерации.
Образцы и методы исследования
Методом молекулярно-лучевой эпитаксии (МЛЭ) синтезированы наногетероструктуры с псевдоморфно напряженными множественными квантовыми ямами {InхGa1–хAs/GaAs}. Исследуемые образцы были выращены на установке МЛЭ ЦНА-24 на полуизолирующих подложках GaAs с кристаллографической ориентацией поверхностей (110), (111)А и (100). Перед каждым процессом в камере роста проводили предростовую подготовку подложек в потоке As4 при температуре 620°C. После этого выращивали нелегированный буферный слой GaAs толщиной 200 нм и 10-периодную сверхрешетку {InхGa1–хAs/GaAs} общей толщиной 1100 нм с мольной долей индия х = 0.1 и 0.2 (здесь термин “сверхрешетка” используется не в узком, а в более широком смысле как периодическая последовательность полупроводниковых слоев, не обязательно тонких, которая не предполагает связанность энергетических уровней соседних квантовых ям в единый зонный спектр [11]; более точным, но и более громоздким описанием было бы “гетероструктуры с множественными квантовыми ямами”). Толщина слоев InGaAs выбрана такой, чтобы она не превосходила критическую толщину рассогласованного по параметрам решетки слоя данного состава, благодаря чему упругие напряжения в слое не релаксируют и слой остается псевдоморфным. Слои InGaAs выращивали при более низкой температуре, чем слои GaAs. Для того чтобы снизить эффект размытия гетерограницы InGaAs/GaAs из-за сегрегации In, сразу после слоя InGaAs выращивали слой-пристенок GaAs толщиной 1 нм при пониженной температуре, после чего рост останавливали и температуру подложки поднимали до оптимального значения (для GaAs). Температуру роста Tg измеряли и контролировали с помощью термопары, вмонтированной в держатель образца, а значения парциального давления PAs4, PGa и PIn – с помощью датчика Альперта–Байярда в зоне роста. Сверхрешетки на подложках (111)А были выращены в двух вариантах, при различных условиях роста: с высокотемпературными барьерами и низкотемпературными ямами при отношении γ = PAs4/(PGa + PIn) ~38 (образцы 104, 102) и с одинаковой промежуточной температурой роста всей сверхрешетки при γ ~15 (образцы 107, 108). Дизайн образцов показан на рис. 1, параметры роста образцов указаны в табл. 1.
Рис. 1. Дизайн сверхрешеточных наногетероструктур. КЯ – квантовая яма.
Таблица 1. Параметры эпитаксиального роста гетероструктур
Образец | х | Ориентация подложки | Tg, °С | Скорость роста, Å/мин | γ | |
Буфер и барьер | КЯ | |||||
105 | 0.1 | (100) | 590 | 480 | 120 | 33 |
103 | (110) | 480 | 430 | 90 | 38 | |
104 | (111)A | 480 | 430 | 90 | 39 | |
108 | 460 | 460 | 120 | 15 | ||
106 | 0.2 | (100) | 590 | 480 | 120 | 37 |
102 | (110) | 480 | 430 | 90 | 38 | |
102 | (111)A | 480 | 430 | 90 | 38 | |
107 | 460 | 460 | 120 | 15 | ||
Примечание. х – номинальная мольная доля индия в квантовой яме (КЯ), Tg – температура роста, γ – отношение давления As4 к сумме давлений In, Ga.
Известно, что значения γ, оптимальные для гомоэпитаксиального роста на подложках GaAs(100), (110) и (111)А, различаются, причем для роста на GaAs(111)A необходимо меньшее значение γ [12]. Поэтому были выращены гетероструктуры, аналогичные образцам 104 (111)А и 102 (111)А, при пониженном давлении As4: образцы 107 (111)А и 108 (111)А соответственно.
Кривые дифракционного отражения (КДО) измеряли на дифрактометре Ultima IV (Rigaku), излучение CuKα (30 кВ, 30 мА, λ = 1.54056 Å), кристалл-монохроматор Ge(220)×2, параллельный пучок, вертикальная щель DHL 2 мм, горизонтальные щели DS–RS/SS 0.2–0.5/0.5 мм, шаг 0.002°, время счета 5 с.
Морфологию поверхности образцов исследовали методом атомно-силовой микроскопии (АСМ) с помощью микроскопа NT-MTD Ntegra Maximus в контактном режиме, площадь сканирования 30 × 30 мкм.
Гетероструктуры исследованы методами просвечивающей электронной микроскопии (ПЭМ), энергодисперсионной рентгеновской спектроскопии (ЭДРС) и рентгеновской фотоэлектронной спектроскопии (РФЭС). Срезы гетероструктур для ПЭМ-исследований толщиной около 100 нм были приготовлены с помощью фокусированного пучка ионов Ga+, исследование образцов методами ПЭМ и ЭДРС проводили в просвечивающем растровом электронном микроскопе JEM-2100 при ускоряющем напряжении 200 кВ. РФЭС-исследования выполняли на рентгеновском фотоэлектронном спектрометре PHI 5000 VersaProbe II с монохроматическим AlKα-излучением при послойном стравливании образца фокусированным пучком ионов Ar+ с энергией 2 кэВ, атомные концентрации определяли методом факторов относительной элементной чувствительности по измеренным интегральным интенсивностям линий Ga3p, As3d, In3d5.
Атомно-силовая микроскопия
Морфология поверхности исследуемых образцов была подробно описана в [13, 14]. Выявленные характеристики рельефа и измеренные значения среднеквадратичной шероховатости, весьма полезные для более полного изучения кристаллической структуры образцов, суммированы в табл. 2, где они дополняют выводы, сделанные на основании ПЭМ-измерений. Шероховатость поверхности – легко измеряемый количественный параметр, позволяющий оценить совершенство кристаллической структуры выращенных пленок без выполнения более ресурсозатратных ПЭМ-измерений. По шероховатости поверхности можно утверждать, что условия роста образцов 107 и 108 неоптимальные: эти пленки оказались менее гладкими, чем все другие (за исключением образца 104). Среднеквадратичная шероховатость поверхности образца 107 (111)А, измеренная на участке площадью 30 × 30 мкм, составляет Rq = 20.8 нм, образца 108 (111)А – 22.9 нм. Поэтому в ПЭМ эти образцы не исследовали.
Таблица 2. Морфология поверхности по АСМ-изображениям и особенности кристаллической структуры исследуемых пленок по ПЭМ-изображениям
x = 0.10 | x = 0.20 | |
Ориентация подложки (100) | Рельеф поверхности: поперечно-полосатый (Rq = 1.5 нм) В толще пленки: нет дефектов (D < 0.6 мкм–2). Гетерограницы: четкие, плоские образец 105 (100) | Рельеф поверхности: поперечно-полосатый (Rq = 1.9 нм) В толще пленки: двойники (α = 55°–56°, D ≈ 2 мкм–2), дислокации (D ≈ 1 мкм–2) Гетерограницы: четкие, плоские образец 106 (100) |
Ориентация подложки (110) | Рельеф поверхности: хаотичный, однородно распределенные бугорки и углубления 0.4 × 0.5 мкм (Rq = 13.7 нм) В толще пленки: многочисленные двойники (α = 0° или 71°, D ≳ 20 мкм–2), отдельные дислокации (D ~ 0.6 мкм–2). Гетерограницы: нечеткие, изогнутые образец 103 (110) | Рельеф поверхности: параллельные прямолинейные гребни (Rq = 3.4 нм) В толще пленки: двойники (α = 35°, D ≈ 3 мкм–2), отдельные дислокации (D ~ 0.6 мкм–2). Гетерограницы: четкие, плоские образец 102 (110) |
Ориентация подложки (111)А | Рельеф поверхности: хаотичный, отдельные высокие островки 0.5 × 1.0 мкм (Rq = 25.8 нм) В толще пленки: двойники (α = 0° или 64°, D ≳ 9 мкм–2), отдельные дефекты упаковки (D ~ 0.6 мкм–2). Гетерограницы: нечеткие образец 104 (111)А | Рельеф поверхности: анизотропный, ориентированные удлиненные зерна 0.2 × 0.4 мкм (Rq = 8.2 нм) В толще пленки: многочисленные дислокации (D ≳ 9 мкм–2), отдельные двойники (D ~0.6 мкм–2) Гетерограницы: нечеткие, изогнутые образец 102 (111)А |
Примечание. Rq – среднеквадратичная шероховатость по полю 30 × 30 мкм, α – угол между двойниками и плоскостью роста, D – плотность дефектов, т.е. число дефектов, пересекающих 1 мкм2 площади поперечного среза образца, гетерограницы – границы между слоями GaAs и InxGa1–xAs.
Просвечивающая электронная микроскопия
Электронная дифракция и контраст ПЭМ-изображений показывают, что исследуемые пленки можно условно рассматривать как монокристаллические, в некоторых случаях с двойниками, дислокациями и клинообразными дефектами. Хорошо видна различная дефектность гетероструктур с одинаковыми номинальными составами, выращенных на подложках различной ориентации.
В первую очередь рассмотрим гетероструктуры с низкой мольной долей индия х = 0.1. В гетероструктуре 105 на подложке GaAs(100) дефекты не обнаружены (рис. 2а). Границы слоев выглядят отчетливыми и планарными, измеренные толщины слоев соответствуют номинальным значениям.
Рис. 2. Светлопольные ПЭМ-изображения образцов: а – 105 (100), б – 103 (110), 104 (111)А. На вставках – соответствующие электронограммы.
Гетероструктура 103 на подложке GaAs(110) представляет собой полисинтетический двойник. Отдельные дислокации также присутствуют в образце, но на приведенных изображениях они не видны. На рис. 2б видны двойники, расположенные вдоль плоскости подложки либо под углом 71° к ней, ширина двойников составляет ~10–30 нм. Границы слоев плохо различимы. Возможно, релаксация упругих напряжений в образце происходит в основном за счет образования двойников. Гетероструктура 104 на подложке GaAs (111)А содержит двойники и дефекты упаковки (рис. 2в, 3). Границы слоев также плохо различимы.
Рис. 3. Дефекты в образце 104 (111)А: а – образовавшийся в середине толщины пленки и прорастающий на поверхность дефект, светлопольное ПЭМ-изображение; б – дефекты двойникования и упаковки, изображение с высоким разрешением.
Микроанализ состава индийсодержащих слоев InхGa1–хAs образца 105 методом ЭДРС показал, что мольная доля индия х составляет около 17%, а микроанализ методом РФЭС при стравливании образца кластерной пушкой (анализировали только три верхних слоя InхGa1–хAs) – около 7%. Аналогичные измерения других образцов выполнить затруднительно, так как из-за дефектности гетероструктур на подложках (110) и (111) In-содержащие слои плохо различимы.
На рис. 4 приведены ПЭМ-изображения дислокаций в гетероструктурах с высокой мольной долей индия х = 0.2. Видно, что гетероструктура 106 на подложке GaAs(100) содержит двойники и отдельные дислокации (рис. 4а). Гетероструктура 102 на подложке GaAs(110) также содержит двойники и отдельные дислокации (рис. 4б). Границы слоев отчетливые и планарные, измеренные толщины слоев соответствуют номинальным значениям. Гетероструктура 102 на подложке GaAs(111)А содержит многочисленные дислокации (рис. 4в) и отдельные двойники. Границы слоев плохо различимы.
Рис. 4. Светлопольные ПЭМ-изображения дислокаций в образцах: а – 106 (100), б – 102 (110), в – 102 (111)А.
Основные особенности кристаллической структуры образцов, наблюдаемые методом ПЭМ, суммированы в табл. 2. Полученные результаты позволяют предположить, что гетероструктуры с более напряженными слоями InGaAs (с бóльшей мольной долей индия) сформировались более дефектными, чем гетероструктуры с меньшей мольной долей индия. Также пленки на подложках (110) и (111)А более дефектные, чем на подложках (100).
Высокоразрешающая рентгеновская дифрактометрия
Рассмотрим в первую очередь сверхрешетки на подложках GaAs(100). На КДО образцов 105 (х = 0.1) и 106 (х = 0.1) в геометрии 2θ/ω видны четкие сателлитные пики, указывающие на сверхрешетку, и широкий пик, соответствующий напряженным слоям InxGa1–xAs (рис. 5). С помощью программного обеспечения Rigaku GlobalFit была рассчитана модельная КДО сверхрешетки {InxGa1–xAs/GaAs} × 10 и затем проведена ее подгонка к экспериментальной КДО посредством изменения модельных толщин слоев InxGa1–xAs и GaAs, а также состава x. Модель рассчитывали в предположении, что частичная релаксация упруго напряженной кристаллической решетки отсутствует. Параметры модели, при которых наблюдалось хорошее совпадение рассчитанной кривой с экспериментом, приведены в табл. 3. Видно, что они с хорошей точностью соответствуют номинальным значениям.
Рис. 5. КДО 004 образцов 105 (а) и 106 (б) на подложках GaAs(100).
Таблица 3. Толщины и состав слоев сверхрешеток на стандартных подложках GaAs(100), определенные с помощью рентгеновской дифрактометрии
Слой | {In0.1Ga0.9As/GaAs}×10 | {In0.2Ga0.8As/GaAs}×10 | ||||
Толщина, нм | Мольная доля индия х | Деформация ε | Толщина, нм | Мольная доля индия х | Деформация ε | |
GaAs | 87.6 | 0 | 0 | 103.4 | 0 | 0 |
InxGa1–xAs | 26.4 | 0.114 | 0.0082 | 10.9 | 0.212 | 0.0152 |
Заметим, что таким способом достаточно точно определяют состав x слоя InxGa1–xAs, а также период сверхрешетки d = 114.0 нм для {In0.1Ga0.9As/GaAs} × × 10 и d = 114.3 нм для {In0.2Ga0.8As/GaAs} × 10, толщины слоев GaAs и InxGa1–xAs по отдельности определяют с меньшей точностью. Дело в том, что именно период сверхрешетки задает угловые положения сателлитных пиков.
Также были измерены асимметричные КДО 422, когда угол падения рентгеновского пучка не равен углу отражения. Измерения были реализованы в двух типах геометрии: при малом угле падения (6.62°) и большом угле выхода дифрагировавшего луча (77.15°) либо, наоборот, при большом угле падения и малом угле отражения (рис. 6). Разница КДО в этих двух случаях обусловлена различной эффективной толщиной слоя, в котором происходит дифракция: при скользящем падении пучок проходит через гораздо большее число отражающих плоскостей, чем при крутом падении, благодаря чему общий сигнал возрастает и на КДО проявляется большее число особенностей.
Рис. 6. Асимметричные КДО 422 образцов 105 (а) и 106 (б) на подложках GaAs(100) при малых углах падения (1) и малых углах отражения (2).
Относительно сверхрешеток на подложках GaAs(110) можно сказать немногое. Сравнение симметричных отражений 220 и 440 от подложки GaAs показало, что использование отражения 220 при измерении КДО дает немного более выраженное слева “плечо” доминирующего пика, общая интенсивность сигнала выше, чем отражения 440. Интерференционные осцилляции обнаружены не были.
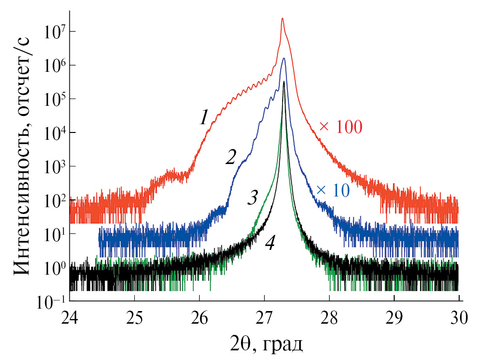
Что касается сверхрешеток на подложках GaAs(111)A, то слабые осцилляции видны на КДО образцов 102 (111)А и 104 (111)А (рис. 7), что свидетельствует о более резких и плоских гетерограницах в этих образцах по сравнению с образцами 107 (111)А и 108 (111)А.
Рис. 7. КДО 111 образцов 102 (1), 104 (2), 107 (3), 108 (4) на подложках GaAs(111)А, для лучшей визуализации КДО разнесены по вертикали.
Заключение
Показано, что эпитаксиальный рост на нестандартных подложках GaAs(110) и (111)А сопровождается повышенной плотностью двойников и дефектов упаковки; в пленках с мольной долей индия х = 0.1 обнаружено гораздо больше двойников, чем с х = 0.2 (более 20 и 3 мкм–2 соответственно). Рельеф поверхности пленок сохраняет черты анизотропии (вытянутые одинаково ориентированные островки) при умеренной концентрации дефектов и становится изотропным (округлые островки) при их высокой концентрации. Дислокации и двойники возникают с небольшой плотностью (1 и 2 мкм–2 соответственно) также при росте на стандартных подложках (100), если в гетероструктуре есть псевдоморфно напряженные слои с достаточно высокой мольной долей индия х = 0.2.
По совокупности особенностей на ПЭМ-изображениях можно было бы утверждать, что наиболее совершенные кристаллические пленки растут на подложках GaAs(100), менее совершенные – на подложках (110), самые несовершенные – на подложках (111)А. Однако этому противоречат осцилляции толщины на КДО: они обнаружены на пленках, выращенных на подложках (111)А, но не на (110), что указывает на большую дефектность последних.
С помощью анализа интерференционных осцилляций на КДО 100, снятых в режиме 2θ/ω для наиболее совершенных кристаллических образцов на подложках GaAs(100), был уточнен дизайн (состав и толщины слоев) образцов, который оказался очень близок к номинальному: толщина барьеров на 3% больше номинальной, толщина квантовых ям – на 6–9% больше, мольная доля индия в квантовой яме – на 6–14% больше (проценты показывают относительное увеличение). По сравнению с анализом КДО методы ЭДРС и РФЭС позволили только приблизительно, по порядку величины, оценить состав слоев нанометровой толщины.
Исследование выполнено за счет гранта Российского научного фонда № 22-19-00656 (https://rscf.ru/project/22-19-00656/). ПЭМ-измерения выполнены в Центре коллективного пользования “Материаловедение и металлургия” НИТУ МИСИС.
About the authors
Е. А. Klimov
National Research Centre “Kurchatov Institute”; Orion R&P Association, JSC
Author for correspondence.
Email: s_s_e_r_p@mail.ru
Russian Federation, Moscow; Moscow
A. N. Klochkov
National Research Nuclear University “MEPhI”
Email: s_s_e_r_p@mail.ru
Russian Federation, Moscow
S. S. Pushkarev
National Research Centre “Kurchatov Institute”
Email: s_s_e_r_p@mail.ru
Russian Federation, Moscow
References
- Naftaly M., Vieweg N., Deninger A. // Sensors. 2019. V. 19. P. 4203. https://doi.org/ 10.3390/s19194203
- Consolino L., Bartalini S., De Natale P. // J. Infrared Millim. Terahertz Waves. 2017. V. 38. P. 1289.
- Hafez H.A., Chai X., Ibrahim A. et al. // J. Opt. 2016. V. 18. P. 093004. https://doi.org/10.1088/2040-8978/18/9/093004
- Dhillon S.S., Vitiello M.S., Linfield E.H. et al. // J. Phys. D. 2017. V. 50. P. 043001. https://doi.org/10.1088/1361-6463/50/4/043001
- Krotkus A. // J. Phys. D. 2010. V. 43. P. 273001. https://doi.org/10.1088/0022-3727/43/27/273001
- Burford N.M., El-Shenawee M.O. // Opt. Eng. 2017. V. 56. P. 010901. https://doi.org/10.1117/1.OE.56.1.010901
- Apostolopoulos V., Barnes M.E. // J. Phys. D. 2014. V. 47. P. 374002. https://doi.org/10.1088/0022-3727/47/37/374002
- Castro-Camus E., Alfaro M. // Photon. Res. 2016. V. 4. P. A36. https://doi.org/10.1364/PRJ.4.000A36
- Ilg M., Ploog K.H., Trampert A. // Phys. Rev. B. 1994. V. 50. № 23. P. 17111. https://doi.org/10.1103/PhysRevB.50.17111
- Климов Е.А., Клочков А.Н., Солянкин П.М. и др. // Квантовая электроника. 2024. Т. 54. № 1. С. 43.
- Шик А.Я. Сверхрешетка // Большая российская энциклопедия: научно-образовательный портал. https://bigenc.ru/c/sverkhreshiotka-a2f3e5/?v=5490666
- Yerino Christopher D., Liang Baolai, Huffaker Diana L. et al. // J. Vac. Sci. Technol. B. 2017. V. 35. P. 010801. https://doi.org/10.1116/1.4972049
- Климов Е.А., Пушкарев С.С., Клочков А.Н. и др. // Микроэлектроника. 2023. Т. 52. № 3. С. 167. https://doi.org/10.31857/S054412692370031X
- Климов Е.А., Пушкарев С.С., Клочков А.Н. // Нано- и микросистемная техника. 2022. Т. 24. № 6. С. 283. https://doi.org/10.17587/nmst.24.283-287
Supplementary files
Note
In the print version, the article was published under the DOI: 10.31857/S0023476125010184









