Structure and Seasonal Variability of Groundwater Microbial Communities in the City of Moscow
- Authors: Gruzdev E.V.1, Begmatov S.A.1, Beletsky A.V.1, Mardanov A.V.1, Ravin N.V.1, Kadnikov V.V.1
-
Affiliations:
- Institute of Bioengineering, Research Center of Biotechnology, Russian Academy of Sciences
- Issue: Vol 92, No 2 (2023)
- Pages: 171-183
- Section: EXPERIMENTAL ARTICLES
- URL: https://journal-vniispk.ru/0026-3656/article/view/138159
- DOI: https://doi.org/10.31857/S0026365622600717
- EDN: https://elibrary.ru/AUIHZR
- ID: 138159
Cite item
Full Text
Abstract
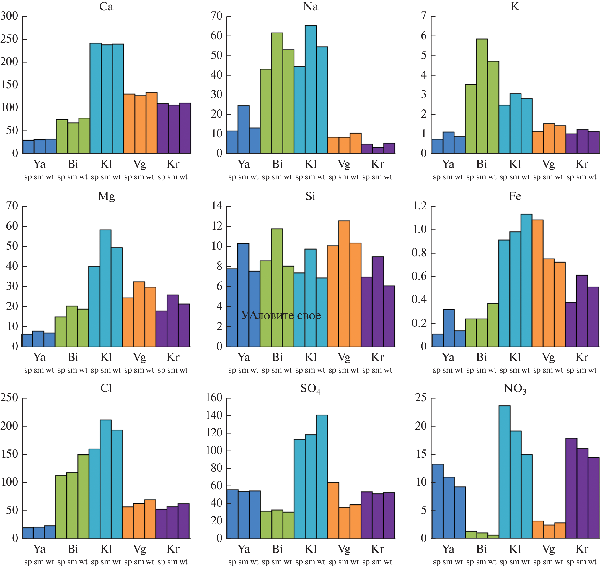
Abstract—Groundwater, which appears on the surface in the form of springs, is an important ecologically significant component of the aquatic ecosystem, sensitive to changes in environmental conditions. The anthropogenic impact associated with urbanization leads to a change in the characteristics of groundwater, which in turn affects the composition of microbial communities in spring waters. Using high-throughput sequencing of the 16S ribosomal RNA gene fragments, we characterized the composition of microbial communities in five natural springs in the city of Moscow in the spring, summer, and winter seasons. The microbial communities of each spring in different seasons were similar to each other and clearly differed from the microbiomes of other springs. Among the Archaea, which averaged about 20% of microbial communities, ammonium-oxidizing Crenarchaeota predominated, as well as Nanoarchaeota. Most of the Bacteria belonged to the phyla Proteobacteria, Patescibacteria, Verrucomicrobiota, Chloroflexi, and Bacteroidota. Autotrophic bacteria, including iron-oxidizing bacteria of the family Gallionellaceae and nitrifiers, as well as methanotrophs, accounted for significant proportions in microbial communities in the springs with a presumably deeper water source. Chemical and molecular analyzes did not reveal contamination of spring waters with toxic substances and oil-derived products, as well as the presence of pathogenic microorganisms and indicators of fecal pollution. However, during the spring season, the proportions of halophilic and hydrocarbon-oxidizing bacteria increased in water microbiomes, which may reflect entry into groundwater after snow thawing of deicin reagents and hydrocarbons, which are successfully biodegraded in the soil.
About the authors
E. V. Gruzdev
Institute of Bioengineering, Research Center of Biotechnology, Russian Academy of Sciences
Email: vkadnikov@bk.ru
Russia, 119071, Moscow
Sh. A. Begmatov
Institute of Bioengineering, Research Center of Biotechnology, Russian Academy of Sciences
Email: vkadnikov@bk.ru
Russia, 119071, Moscow
A. V. Beletsky
Institute of Bioengineering, Research Center of Biotechnology, Russian Academy of Sciences
Email: vkadnikov@bk.ru
Russia, 119071, Moscow
A. V. Mardanov
Institute of Bioengineering, Research Center of Biotechnology, Russian Academy of Sciences
Email: vkadnikov@bk.ru
Russia, 119071, Moscow
N. V. Ravin
Institute of Bioengineering, Research Center of Biotechnology, Russian Academy of Sciences
Email: vkadnikov@bk.ru
Russia, 119071, Moscow
V. V. Kadnikov
Institute of Bioengineering, Research Center of Biotechnology, Russian Academy of Sciences
Author for correspondence.
Email: vkadnikov@bk.ru
Russia, 119071, Moscow
References
- Ильинский В.В., Шадрина Н.А., Комарова Т.И. Гетеротрофные бактерии городских родников: Московский заповедник “Крылатские холмы” // Водные ресурсы. 2010. Т. 37. С. 494‒501.
- Akbari A., David C., Rahim A.A., Ghoshal S. Salt selected for hydrocarbon-degrading bacteria and enhanced hydrocarbon biodegradation in slurry bioreactors // Water. Res. 2021. V. 202. P. 117424.
- Bärenstrauch M., Vanhove A.S., Allégra S., Peuble S., Gallice F., Paran F., Lavastre V., Girardot F. Microbial diversity and geochemistry of groundwater impacted by steel slag leachates // Sci. Total. Environ. 2022. V. 843. P. 156987.
- Beam J.P., Becraft E.D., Brown J.M., Schulz F., Jarett J.K., Bezuidt O., Poulton N., Clark K., Dunfield P., Ravin N., Spear J., Hedlund B., Kormas K., Sievert S., Elshahed M., Barton H., Stott M., Eisen J., Moser D., Onstott T., Woyke T., Stepanauskas R. Ancestral absence of electron transport chains in Patescibacteria and DPANN // Front. Microbiol. 2020. V. 11. Art. 1848.
- Brown C.T., Hug L.A., Thomas B.C., Sharon I., Castelle C.J., Singh A., Wilkins M., Wrighton K., Williams K., Banfield J.F. Unusual biology across a group comprising more than 15% of domain Bacteria // Nature. 2015. V. 523. P. 208‒211.
- Cao H., Auguet J.C., Gu J.D. Global ecological pattern of ammonia-oxidizing archaea // PLoS One. 2013. V. 8. P. e52853.
- Chistoserdova L. Methylotrophy in a lake: from metagenomics to single-organism physiology // Appl. Environ. Microbiol. 2011. V. 77. P. 4705‒4711.
- David G.M., López-García P., Moreira D., Alric B., Deschamps P., Bertolino P., Restoux G., Rochelle-Newall E., Thébault E., Simon M., Jardillier L. Small freshwater ecosystems with dissimilar microbial communities exhibit similar temporal patterns // Mol. Ecol. 2021. V. 30. P. 2162‒2177.
- Dombrowski N., Lee J.H., Williams T.A., Offre P., Spang A. Genomic diversity, lifestyles and evolutionary origins of DPANN archaea // FEMS Microbiol. Lett. 2019. V. 366. P. fnz008.
- Edgar R.C. Search and clustering orders of magnitude faster than BLAST // Bioinformatics. 2010. V. 26. P. 2460–2461.
- Emerson D., Field E.K., Chertkov O., Davenport K.W., Goodwin L., Munk C., Nolan M., Woyke T. Comparative genomics of freshwater Fe-oxidizing bacteria: implications for physiology, ecology, and systematics // Front. Microbiol. 2013. V. 4. Art. 254.
- Emerson D., Fleming E.J., McBeth J.M. Iron-oxidizing bacteria: an environmental and genomic perspective // Annu. Rev. Microbiol. 2010. V. 64. P. 561‒583.
- Ettwig K.F., Butler M.K., Le Paslier D., Pelletier E., Mangenot S., Kuypers M.M., Schreiber F., Dutilh B.E., Zedelius J., de Beer D., Gloerich J., Wessels H.J.C.T., van Alen T., Luesken F., Wu M.L., van de Pas-Schoonen K.T., den Camp H.J.M.O., Janssen-Megens E.M., Francoijs K.-J., Stunnenberg H., Weissenbach J., Jetten M.S.M., Strous M. Nitrite-driven anaerobic methane oxidation by oxygenic bacteria // Nature. 2010. V. 464. P. 543‒548.
- Fakhrzadegan I., Hassanshahian M., Askari Hesni M., Saadatfar A. A study of crude oil-degrading bacteria from mangrove forests in the Persian Gulf // Mar. Ecol. 2019. V. 40. e12544.
- Finneran K.T., Johnsen C.V., Lovley D.R. Rhodoferax ferrireducens sp. nov., a psychrotolerant, facultatively anaerobic bacterium that oxidizes acetate with the reduction of Fe(III) // Int. J. Syst. Evol. Microbiol. 2003. V. 53. P. 669‒673.
- Frey B., Rime T., Phillips M., Stierli B., Hajdas I., Widmer F., Hartmann M. Microbial diversity in European alpine permafrost and active layers // FEMS Microbiol. Ecol. 2016. V. 92. fiw018.
- Govarthanan M., Khalifa A.Y., Kamala-Kannan S., Srinivasan P., Selvankumar T., Selvam K., Kim W. Significance of allochthonous brackish water Halomonas sp. on biodegradation of low and high molecular weight polycyclic aromatic hydrocarbons // Chemosphere. 2020. V. 243. Art. 125389.
- Grimm N.B., Foster D., Groffman P., Grove J.M., Hopkinson C.S., Nadelhoffer K.J., Pataki D.E., Peters D.P. The changing landscape: ecosystem responses to urbanization and pollution across climatic and societal gradients // Front. Ecol. Environ. 2008. V. 6. P. 264‒272.
- Harayama S., Kasai Y., Hara A. Microbial communities in oil-contaminated seawater // Curr. Opin. Biotechnol. 2004. V. 15. P. 205‒214.
- Haroon M.F., Hu S., Shi Y., Imelfort M., Keller J., Hugenholtz P., Yuan Z., Tyson G.W. Anaerobic oxidation of methane coupled to nitrate reduction in a novel archaeal lineage // Nature. 2013. V. 500. P. 567‒570.
- Herrmann M., Wegner C.E., Taubert M., Geesink P., Lehmann K., Yan L., Lehmann R., Totsche K.U. Küsel K. Predominance of Cand. Patescibacteria in groundwater is caused by their preferential mobilization from soils and flourishing under oligotrophic conditions // Front. Microbiol. 2019. V. 10. Art. 1407.
- Huang G., Liu C., Zhang Y., Chen Z. Groundwater is important for the geochemical cycling of phosphorus in rapidly urbanized areas: A case study in the Pearl River Delta // Environ. Pollut. 2020. V. 260. Art. 114079.
- Huu N.B., Nga V.H., Ha D.T.C. Survey of the petroleum hydrocarbon-degrading capacity of three bacteria strains isolated from the oil sludge in Vietnam // Academia J. Biol. 2003. V. 25. № 4. P. 62‒68.
- Ivanova A.A., Oshkin I.Y., Danilova O.V., Philippov D.A., Ravin N.V., Dedysh S.N. Rokubacteria in northern peatlands: habitat preferences and diversity patterns // Microorganisms. 2021. V. 10. Art. 11.
- Kato S., Krepski S., Chan C., Itoh T., Ohkuma M. Ferriphaselus amnicola gen. nov., sp. nov., a neutrophilic, stalk-forming, iron-oxidizing bacterium isolated from an iron-rich groundwater seep // Int. J. Syst. Evol. Microbiol. 2014. V. 64. P. 921‒925.
- Kato S., Ohkuma M., Powell D.H., Krepski S.T., Oshima K., Hattori M., Shapiro N., Woyke T., Chan C.S. Comparative genomic insights into ecophysiology of neutrophilic, microaerophilic iron oxidizing bacteria // Front. Microbiol. 2015. V. 6. Art. 1265.
- Kløve B., Allan A., Bertrand G., DruzynskaE., Ertürk A., Goldscheider N., Henry S., Karakaya N., Karjalainen T.P., Koundouri P., Kupfersberger H., Kvœrner J., Lundberg A., Muotka T., Preda E., Pulido-Velazquez M., Schipper P. Groundwater dependent ecosystems. Part II. Ecosystem services and management in Europe under risk of climate change and land use intensification // Environ. Sci. Policy. 2011. V. 14. P. 782‒793.
- Kolinko S., Richter M., Glöckner F.O., Brachmann A., Schüler D. Single-cell genomics of uncultivated deep-branching magnetotactic bacteria reveals a conserved set of magnetosome genes // Environ. Microbiol. 2016. V. 18. P. 21‒37.
- Kuroda K., Fukushi T. Groundwater contamination in urban areas // Groundwater Management in Asian Cities / Ed. Takizawa S. Tokyo: Springer, 2008. V. 2. P. 125‒149.
- Kuroda K., Yamamoto K., Nakai R., Hirakata Y., Kubota K., Nobu M.K., Narihiro T. Symbiosis between Candidatus Patescibacteria and Archaea discovered in wastewater-treating bioreactors // mBio. 2022. e01711-22.
- Lerner D.N. Groundwater recharge in urban areas // Atmos. Environ. 1990. V. 24. P. 29‒33.
- Leu A.O., Cai C., McIlroy S.J., Southam G., Orphan V.J., Yuan Z., Hu S., Tyson G.W. Anaerobic methane oxidation coupled to manganese reduction by members of the Methanoperedenaceae // ISME J. 2020. V. 14. P. 1030‒1041.
- Li F., Liu X., Zhang X., Zhao D., Liu H., Zhou C., Wang R. Urban ecological infrastructure: an integrated network for ecosystem services and sustainable urban systems // J. Clean. Prod. 2017. V. 163. P. S12‒S18.
- Magoč T., Salzberg S.L. FLASH: fast length adjustment of short reads to improve genome assemblies // Bioinformatics. 2011. V. 27. P. 2957‒2963.
- Martín S., Márquez M.C., Sánchez-Porro C., Mellado E., Arahal D.R., Ventosa A. Marinobacter lipolyticus sp. nov., a novel moderate halophile with lipolytic activity // Int. J. Syst. Evol. Microbiol. 2003. V. 53. P. 1383‒1387.
- McPhearson T., Pickett S.T., Grimm N.B., Niemelä J., Alberti M., Elmqvist T., Weber C., Haase D., Breuste J., Qureshi S. Advancing urban ecology toward a science of cities // Bioscience. 2016. V. 66. P. 198‒212.
- Mehrshad M., Rodriguez-Valera F., Amoozegar M.A., López-García P., Ghai R. The enigmatic SAR202 cluster up close: shedding light on a globally distributed dark ocean lineage involved in sulfur cycling // ISME J. 2018. V. 12. P. 655‒668.
- Nelson W.C., Stegen J.C. The reduced genomes of Parcubacteria (OD1) contain signatures of a symbiotic lifestyle // Front. Microbiol. 2015. V. 6. Art. 713.
- Orata F.D., Meier-Kolthoff J.P., Sauvageau D., Stein L.Y. Phylogenomic analysis of the gammaproteobacterial methanotrophs (order Methylococcales) calls for the reclassification of members at the genus and species levels // Front. Microbiol. 2018. V. 9. Art. 3162.
- Paul M., Wolf L., Fund K., Held I., Winter J., Eiswirth M., Gallert C., Hoetzl H. Microbiological condition of urban groundwater in the vicinity of leaky sewer systems // Acta Hydrochim. Hydrobiol. 2004. V. 32. P. 351‒360.
- Plummer J.D., Long S.C. Identifying sources of surface water pollution: A toolbox approach // J. Am. Water. Works. Assoc. 2009. V. 101. № 9. P. 75‒88.
- Powell K.L., Taylor R.G., Cronin A.A., Barrett M.H., Pedley S., Sellwood J., Trowsdale S.A., Lerner D.N. Microbial contamination of two urban sandstone aquifers in the UK // Water. Res. 2003. V. 37. P. 339‒352.
- Quast C., Pruesse E., Yilmaz P., Gerken J., Schweer T., Yarza P., Peplies J., Glöckner F.O. The SILVA ribosomal RNA gene database project: improved data processing and web-based tools // Nucleic Acids Res. 2013. V. 41 (Database issue). P. D590‒D596.
- Rezaei Somee M., Shavandi M., Dastgheib S.M.M., Amoozegar M.A. Bioremediation of oil-based drill cuttings by a halophilic consortium isolated from oil-contaminated saline soil // 3 Biotech. 2018. V. 8. Art. 229.
- Rognes T., Flouri T., Nichols B., Quince C., Mahé F. VSEARCH: a versatile open source tool for metagenomics // PeerJ. 2016. V. 4. e2584.
- Scharping R.J., Garey J.R. Relationship between aquifer biofilms and unattached microbial indicators of urban groundwater contamination // Mol. Ecol. 2021. V. 30. P. 324‒342.
- Sharp J.M. The impacts of urbanization on groundwater systems and recharge // Aqua Mundi. 2010. P. 51‒56. https://doi.org/10.4409/Am-004-10-0008
- Singer E., Webb E.A., Nelson W.C., Heidelberg J.F., Ivanova N., Pati A., Edwards K.J. Genomic potential of Marinobacter aquaeolei, a biogeochemical “opportunitroph” // Appl. Environ. Microbiol. 2011. V. 77. P. 2763‒2771.
- Sonthiphand P., Ruangroengkulrith S., Mhuantong W., Charoensawan V., Chotpantarat S., Boonkaewwan S. Metagenomic insights into microbial diversity in a groundwater basin impacted by a variety of anthropogenic activities // Environ. Sci. Pollut. Res. Int. 2019. V. 26. P. 26765‒26781.
- Stahl D.A., de la Torre J.R. Physiology and diversity of ammonia-oxidizing archaea // Annu. Rev. Microbiol. 2012. V. 66. P. 83‒101.
- Szekeres E., Chiriac C.M., Baricz A., Szőke-Nagy T., Lung I., Soran M.L., Rudi K., Dragos N., Coman C. Investigating antibiotics, antibiotic resistance genes, and microbial contaminants in groundwater in relation to the proximity of urban areas // Environ. Pollut. 2018. V. 236. P. 734‒744.
- Van Kessel M.A., Speth D.R., Albertsen M., Nielsen P.H., Op den Camp H.J., Kartal B., Jetten M.S.M., Lücker S. Complete nitrification by a single microorganism // Nature. 2015. V. 528. P. 555‒559.
- Yakimov M.M., Denaro R., Genovese M., Cappello S., D’Auria G., Chernikova T.N., Timmis K.N., Giluliano L. Natural microbial diversity in superficial sediments of Milazzo Harbor (Sicily) and community successions during microcosm enrichment with various hydrocarbons // Environ. Microbiol. 2005. V. 7. P. 1426‒1441.
- Yakimov M.M., Timmis K.N., Golyshin P.N. Obligate oil-degrading marine bacteria // Curr. Opin. Biotechnol. 2007. V. 18. P. 257‒266.
- Yin J., Chen J.C., Wu Q., Chen G.Q. Halophiles, coming stars for industrial biotechnology // Biotechnol. Adv. 2015. V. 33. P. 1433‒1442.
- Zanini A., Petrella E., Sanangelantoni A.M., Angelo L., Ventosi B., Viani L., Rizzo P., Remelli S., Bartoli M., Bolpagni R., Chelli A., Feo A., Francese R., Iacumin P., Menta C., Racchetti E., Selmo E.M., Tanda M.G., Ghirardi M., Boggio P., Pappalardo F., De Nardo M.T., Segadelli S., Celico F. Groundwater characterization from an ecological and human perspective: An interdisciplinary approach in the Functional Urban Area of Parma, Italy // Rend. Lincei. Sci. Fis. Nat. 2019. V. 30. P. 93‒108.
- Zare N., Bonakdarpour B., Amoozegar M.A., Shavandi M., Fallah N., Darabi S., Taromsary N.B. Using enriched water and soil-based indigenous halophilic consortia of an oilfield for the biological removal of organic pollutants in hypersaline produced water generated in the same oilfield // Process. Saf. Environ. Prot. 2019. V. 127. P. 151‒161.
- Zhou N., Keffer J.L., Polson S.W., Chan C.S. Unraveling Fe(II)-oxidizing mechanisms in a facultative Fe(II) oxidizer, Sideroxydans lithotrophicus strain ES-1, via culturing, transcriptomics, and reverse transcription-quantitative PCR // Appl. Environ. Microbiol. 2022. V. 88. e01595-21.
- Zhu W.Y., Yang L., Zhang Z.T.L., Mu C.G., Wang Y., Kou Y.R., Jiang G.Q., Yin M., Tang S.K. Oceanobacillus salinisoli sp. nov., a bacterium isolated from saline soil of Turpan city in Xinjiang province, north–west China // Arch. Microbiol. 2021. V. 203. P. 2919‒2924.
Supplementary files







