Сравнительная оценка стрессовых ответов микроводорослей Prorocentrum cordatum (Ostenfeld) Dodge и Dunaliella salina (Teod.) на присутствие в среде наночастиц меди
- Авторы: Соломонова Е.С.1, Шоман Н.Ю.1, Акимов А.И.1, Рылькова О.А.1
-
Учреждения:
- Федеральный исследовательский центр “Институт биологии южных морей им. А.О. Ковалевского Российской академии наук”
- Выпуск: Том 92, № 1 (2023)
- Страницы: 57-67
- Раздел: ЭКСПЕРИМЕНТАЛЬНЫЕ СТАТЬИ
- URL: https://journal-vniispk.ru/0026-3656/article/view/138169
- DOI: https://doi.org/10.31857/S0026365622600468
- EDN: https://elibrary.ru/NMVTMJ
- ID: 138169
Цитировать
Полный текст
Аннотация
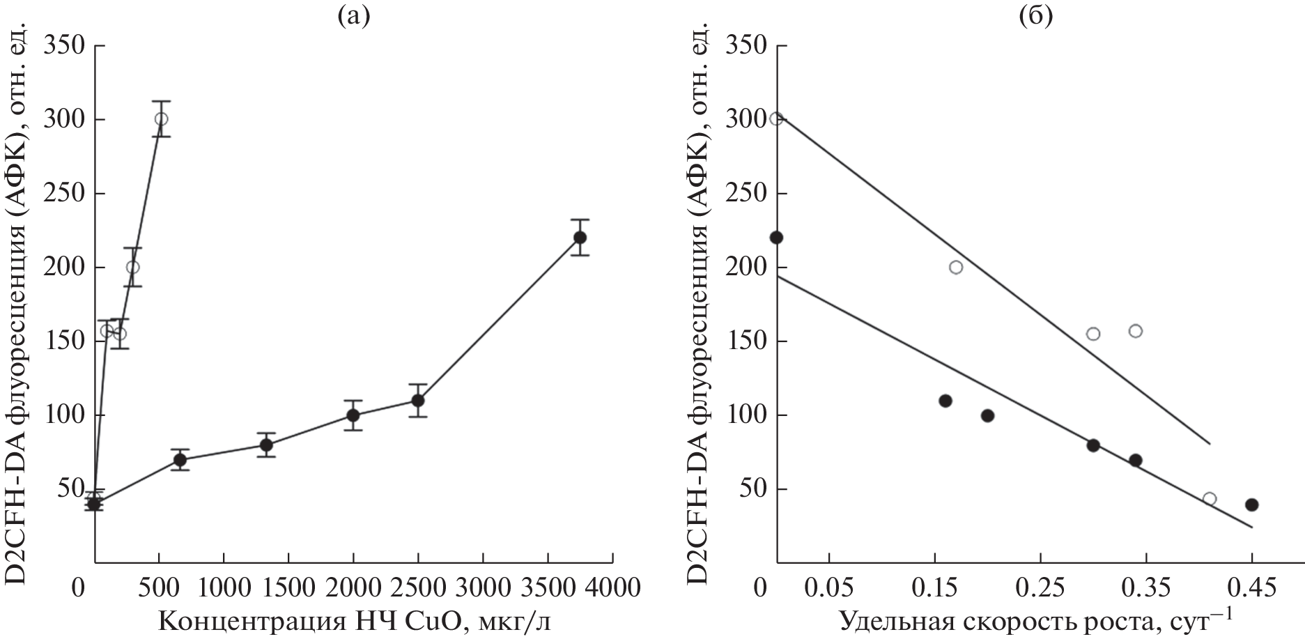
Проведена сравнительная оценка стрессовых реакций двух видов микроводорослей Prorocentrum cordatum и Dunaliella salina, существенно различающихся как в клеточном строении, так и ареале обитания, на присутствие в среде наночастиц оксида меди. Установлено, что воздействие наночастиц на исследуемые микроводоросли носило схожий характер. Токсический эффект влияния поллютанта проявлялся в прогрессирующей продукции активных форм кислорода в клетках водорослей на фоне снижения их удельной скорости роста, что, вероятно, объясняется высвобождением ионов меди Cu2+ из оксида или проникновением отдельных наночастиц внутрь клеток. При механическом воздействии наночастиц (НЧ) наблюдалась их агрегация на поверхности клеток и деформация клеточных оболочек. Присутствие токсиканта в культуральной среде приводило к достоверному увеличению клеточных объемов, перфорации плазмалеммы, преобладанию деформированных клеток неправильной формы в культурах микроводорослей. В то же время показана разная устойчивость исследуемых видов к воздействию CuO НЧ. Сублетальные и летальные концентрации CuO НЧ для P. cordatum составили 400 и 520 мкг/л, тогда как для D. salina 3000 и 3750 мкг/л соответственно. Предложены гипотезы, объясняющие устойчивость D. salina к воздействию CuO НЧ. Во-первых, D. salina способна продуцировать высокие концентрации лигандов (фитохелатины и металлотионеины), выделяемых клетками в среду для связывания ионов меди. Во-вторых, ареал существования D. salina приурочен к экстремальным условиям среды, что может способствовать ее толерантности к стрессу, что, по-видимому, является генетически закрепленным свойством и частью общей устойчивости водорослей и к другим видам загрязнителей. Кроме того, высокая устойчивость D. salina к воздействию CuO НЧ может объясняться ее способностью секретировать в условиях стресса внеклеточные полимерные соединения для формирования защитного слоя, предотвращающего взаимодействие микроводорослей с наночастицами. Предлагается применение P. cordatum в биомониторинге морских экосистем, загрязненных наночастицами, тогда как зеленая микроводоросль D. salina является перспективным видом для биоремедитации вод.
Об авторах
Е. С. Соломонова
Федеральный исследовательский центр “Институт биологии южных морей им. А.О. КовалевскогоРоссийской академии наук”
Автор, ответственный за переписку.
Email: solomonov83@mail.ru
Россия, 299011, Севастополь
Н. Ю. Шоман
Федеральный исследовательский центр “Институт биологии южных морей им. А.О. КовалевскогоРоссийской академии наук”
Email: solomonov83@mail.ru
Россия, 299011, Севастополь
А. И. Акимов
Федеральный исследовательский центр “Институт биологии южных морей им. А.О. КовалевскогоРоссийской академии наук”
Email: solomonov83@mail.ru
Россия, 299011, Севастополь
О. А. Рылькова
Федеральный исследовательский центр “Институт биологии южных морей им. А.О. КовалевскогоРоссийской академии наук”
Email: solomonov83@mail.ru
Россия, 299011, Севастополь
Список литературы
- Антоненко С.П., Догадина Т.В., Комаристая В.П. Изменчивость морфометрических признаков Dunaliella salina в условиях культуры // Экология моря. 2010. Т. 81. С. 5‒12.
- Брянцева Ю.В., Лях А.М., Сергеева А.В. Расчет объемов и площадей поверхности одноклеточных водорослей Черного моря. Севастополь: НАН Украины Институт биологии южных морей, 2005. 25 с.
- Сеничева М.И. Новые и редкие для Черного моря виды диатомовых и динофитовых водорослей // Экология моря. 2002. Т. 62. С. 25–29.
- Финенко З., Ланская Л. Рост и скорость деления водорослей в лимитированных объемах воды // Экологическая физиология морских планктонных водорослей. Киев, 1971. С. 22–26.
- Adeleye A.S., Conway J.R., Garner K., Huang Y., Su Y., Keller A.A. Engineered nanomaterials for water treatment and remediation: Costs, benefits, and applicability // Chem. Eng. J. 2016. V. 286. P. 640–662. https://doi.org/10.1016/j.cej.2015.10.105
- Adeleye A.S., Keller A.A. Interactions between algal extracellular polymeric substances and commercial TiO2 nanoparticles in aqueous media // Environ. Sci. Technol. 2016. V. 50. P. 12258–12265. https://doi.org/10.1021/acs.est.6b03684
- Ahner B.A., Kong S., Morel F.M.M. Phytochelatin production in marine algae. 1. An interspecies comparison // Limnol. Oceanogr. 1995. V. 40. P. 649–657. https://doi.org/10.4319/lo.1995.40.4.0649
- Ahner B.A., Morel F.M.M. Phytochelatin production in marine algae. 2. Induction by various metals // Limnol. Oceanogr. 1995. V. 40. P. 658–665. https://doi.org/10.4319/lo.1995.40.4.0658
- Alho L.D.O.G., Souza J.P., Rocha G.S., da Silva Mansano A., Lombardi A.T., Sarmento H., Melão M.G.G. Photosynthetic, morphological and biochemical biomarkers as tools to investigate copper oxide nanoparticle toxicity to a freshwater chlorophyceae // Environ. Pollut. 2020. V. 265. P. 114856. https://doi.org/10.1016/j.envpol.2020.114856
- Anufriieva E.V., Balycheva D.S., Vdodovich I.V., Shadrin N.V. Microalgae in the diet of Eucypris mareotica (Crustacea, Ostracoda) in the hypersaline lake Chersonesskoye (Crimea) // Ecologica Montenegrina. 2018. V. 17. P. 100–104.
- Aruoja V., Dubourguier H.C., Kasemets K., Kahru A. Toxicity of nanoparticles of CuO, ZnO and TiO2 to microalgae Pseudokirchneriella subcapitata // Sci. Total Environ. 2009. V. 407. P. 1461‒1468. https://doi.org/10.1016/j.scitotenv.2008.10.053
- Blanck H. A critical review of procedures and approaches used for assessing pollution-induced community tolerance (PICT) in biotic communities // Hum. Ecol. Risk Assess. 2002. V. 8. P. 1003–1034. https://doi.org/10.1080/1080-700291905792
- Ebenezer V., Ki J.S. Quantification of toxic effects of the herbicide metolachlor on marine microalgae Ditylum brightwellii (Bacillariophyceae), Prorocentrum minimum (Dinophyceae), and Tetraselmis suecica (Chlorophyceae) // J. Microbiol. 2013. V. 51. P. 136–139. https://doi.org/10.1007/s12275-013-2114-0
- Echeveste P., Croot P., von Dassow P. Differences in the sensitivity to Cu and ligand production of coastal vs offshore strains of Emiliania huxleyi // Sci. Total Environ. 2018. V. 625. P. 1673–1680. https://doi.org/10.1016/j.scitotenv.2017.10.050
- Echeveste P., Silva J.C., Lombardi A.T. Cu and Cd affect distinctly the physiology of a cosmopolitan tropical freshwater phytoplankton // Ecotoxicol. Environ. Saf. 2017. V. 143. P. 228‒235. https://doi.org/10.1016/j.ecoenv.2017.05.030
- Guillard R., Ryther J. Studies of marine planktonic diatoms: I. Cyclotella nana (Hustedt), and Detonula confervacea (Cleve) Gran // J. Can. Microbiol. 1962. V. 8. P. 229–239. https://doi.org/10.1139/m62-029
- Guo R., Lim W.A., Ki J.S. Genome-wide analysis of transcription and photosynthesis inhibition in the harmful dinoflagellate Prorocentrum minimum in response to the biocide copper sulfate // Harmful Algae. 2016. V. 57. P. 27–38. https://doi.org/10.1016/j.hal.2016.05.004
- Heil C.A., Glibert P.M., Fan C. Prorocentrum minimum (Pavillard) Schiller: a review of a harmful algal bloom species of growing worldwide importance // Harmful Algae. 2005. V. 4. P. 449–470. https://doi.org/10.1016/j.hal.2004.08.003
- Klaine S.J., Alvarez P.J., Batley G.E., Fernandes T.F., Handy R.D., Lyon D.Y., Mahendra S., McLaughlin M.J., Lead J.R. Nanomaterials in the environment: behavior, fate, bioavailability, and effects // Environ. Toxicol. Chem. 2008. V. 27. P. 1825–1851. https://doi.org/10.1897/08-090.1
- Li M., Jiang Y., Chuang C.Y., Zhou J., Zhu X., Chen D. Recovery of Alexandrium tamarense under chronic exposure of TiO2 nanoparticles and possible mechanisms // Aquat. Toxicol. 2019. V. 208. P. 98–108. https://doi.org/10.1016/j.aquatox.2019.01.007
- Matantseva O., Berdieva M., Kalinina V., Pozdnyakov I., Pechkovskaya S., Skarlato S. Stressor-induced ecdysis and the cate cyst formation in the armoured dinoflagellates Prorocentrum cordatum // Sci. Rep. 2020. V. 10. P. 1–17. https://doi.org/10.1038/s41598-020-75194-3
- Miller R.J., Lenihan H.S., Muller E.B., Tseng N., Hanna S.K., Keller A.A. Impacts of metal oxide nanoparticles on marine phytoplankton // Environ. Sci. Technol. 2010. V. 44. P. 7329–7334. https://doi.org/10.1021/es100247x
- Morrill L.C., Loeblich A.R. Formation and release of body scales in the dinoflagellate genus Heterocapsa // J. Mar. Biolog. Assoc. UK. 1983. V. 63. P. 905–913. https://doi.org/10.1017/S0025315400071319
- Murtey M.D., Ramasamy P. Sample preparations for scanning electron microscopy – life sciences // Modern Electron Microscopy in Physical and Life Sciences / Eds. Janecek M., Kral R. IntechOpen, 2016. P. 161–185.
- Oukarroum A., Bras S., Perreault F., Popovic R. Inhibitory effects of silver nanoparticles in two green algae, Chlorella vulgaris and Dunaliella tertiolecta // Ecotoxicol. Environ. Saf. 2012. V. 78. P. 80–85. https://doi.org/10.1016/j.ecoenv.2011.11.012
- Oukarroum A., Halimi I., Siaj M. Cellular responses of Chlorococcum sp. algae exposed to zinc oxide nanoparticles by using flow cytometry // Water Air Soil Pollut. 2019. V. 230. P. 1–7. https://doi.org/10.1007/s11270-018-4051-3
- Rohder L.A., Brandt T., Sigg L., Behra R. Influence of agglomeration of cerium oxide nanoparticles and speciation of cerium(III) on short term effects to the green algae Chlamydomonas reinhardtii // Aquat. Toxicol. 2014. V. 152. P. 121–130. https://doi.org/10.1016/j.aquatox.2014.03.027
- Saison C., Perreault F., Daigle J.C., Fortin C., Claverie J., Morin M., Popovic R. Effect of core-shell copper oxide nanoparticles on cell culture morphology and photosynthesis (photosystem II energy distribution) in the green alga, Chlamydomonas reinhardtii // Aquat. Toxicol. 2010. V. 96. P. 109–114. https://doi.org/10.1016/j.aquatox.2009.10.002
- Sendra M., Blasco J., Araujo C.V.M. Is the cell wall of marine phytoplankton a protective barrier or a nanoparticle interaction site? Toxicological responses of Chlorella autotrophica and Dunaliella salina to Ag and CeO2 nanoparticles // Ecol. Indic. 2018. V. 95. P. 1053–1067. https://doi.org/10.1016/j.ecolind.2017.08.050
- Sendra M., Moreno-Garrido I., Blasco J., Araujo C.V. Effect of erythromycin and modulating effect of CeO2 NPs on the toxicity exerted by the antibiotic on the microalgae Chlamydomonas reinhardtii and Phaeodactylum tricornutum // Environ. Pollut. 2018. V. 242. P. 357–366. https://doi.org/10.1016/j.envpol.2018.07.009
- Shafik M.A. Phytoremediation of some heavy metals by Dunaliella salina // Global J. Environ. Res. 2008. V. 2. P. 01–11.
- Sunda W.G., Huntsman S.A. Processes regulating cellular metal accumulation and physiological effects: phytoplankton as model systems // Sci. Total Environ. 1998. V. 219. P. 165–181. https://doi.org/10.1016/S0048-9697(98)00226-5
- Tang Y., Xin H., Yang F., Long X. A historical review and bibliometric analysis of nanoparticles toxicity on algae // J. Nanopart. Res. 2018. V. 20:92. P. 1–17. https://doi.org/10.1007/s11051-018-4196-4
- Wan J.K., Chu W.L., Kok Y.Y. Cheong K.W. Assessing the toxicity of copper oxide nanoparticles and copper sulfate in a tropical Chlorella // J. Appl. Phycol. 2018. V. 30. P. 3153‒3165. https://doi.org/10.1007/s10811-018-1408-3
- Wang H., Joseph J.A. Quantifying cellular oxidative stress by dichlorofluorescein assay using microplate reader // Free Rad. Biol. Med. 1999. V. 27. P. 612–616. https://doi.org/10.1016/S0891-5849(99)00107-0
- Wang L., Huang X., Sun W., Too H.Z., Laserna A.K.C., Li S.F.Y. A global metabolomic insight into the oxidative stress and membrane damage of copper oxide nanoparticles and microparticles on microalga Chlorella vulgaris // Environ. Pollut. 2020. V. 258. P. 113647. https://doi.org/10.1016/j.envpol.2019.113647
- Xia B., Chen B., Sun X., Qu K., Ma F., Du M. Interaction of TiO2 nanoparticles with the marine microalga Nitzschia closterium: growth inhibition, oxidative stress and internalization // Sci. Total Environ. 2015. V. 508. P. 525–533. https://doi.org/10.1016/j.scitotenv.2014.11.066
Дополнительные файлы






