The Effect of Atranes on the Growth of Rhodococcus qingshengii VKM Ac-2784D in the Presence of Various Carbon Sources and on Its Ability to Degrade Naphthalene
- Authors: Belovezhets L.A.1, Markova Ю.A.2, Levchuk A.A.1, Oborina E.N.1, Adamovich S.N.1
-
Affiliations:
- Favorsky Irkutsk Institute of Chemistry, Siberian Branch, Russian Academy of Sciences
- Siberian Institute of Plant Physiology and Biochemistry, Siberian Branch, Russian Academy of Sciences
- Issue: Vol 92, No 1 (2023)
- Pages: 77-85
- Section: EXPERIMENTAL ARTICLES
- URL: https://journal-vniispk.ru/0026-3656/article/view/138174
- DOI: https://doi.org/10.31857/S0026365622600390
- EDN: https://elibrary.ru/NNLXFM
- ID: 138174
Cite item
Full Text
Abstract
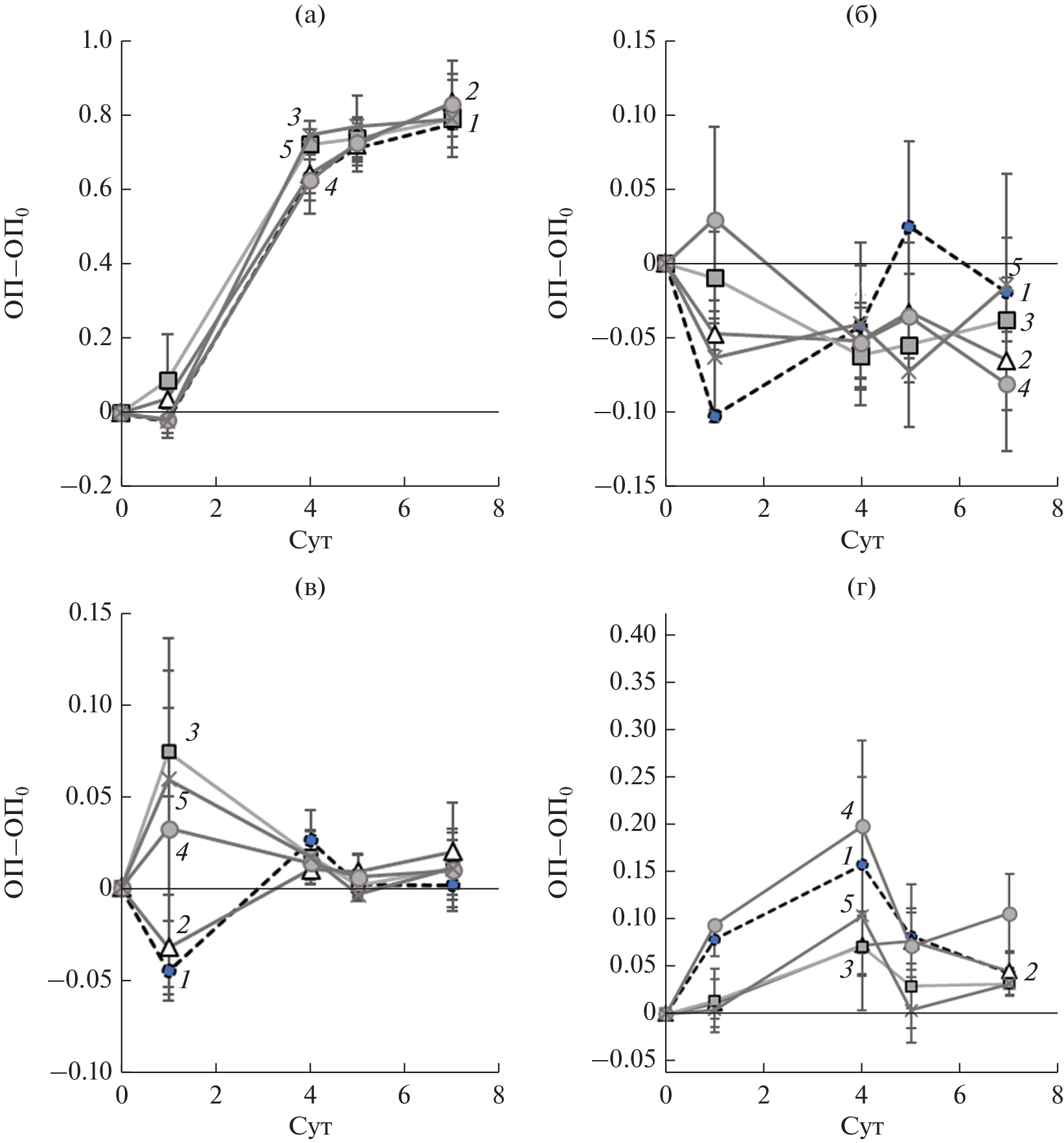
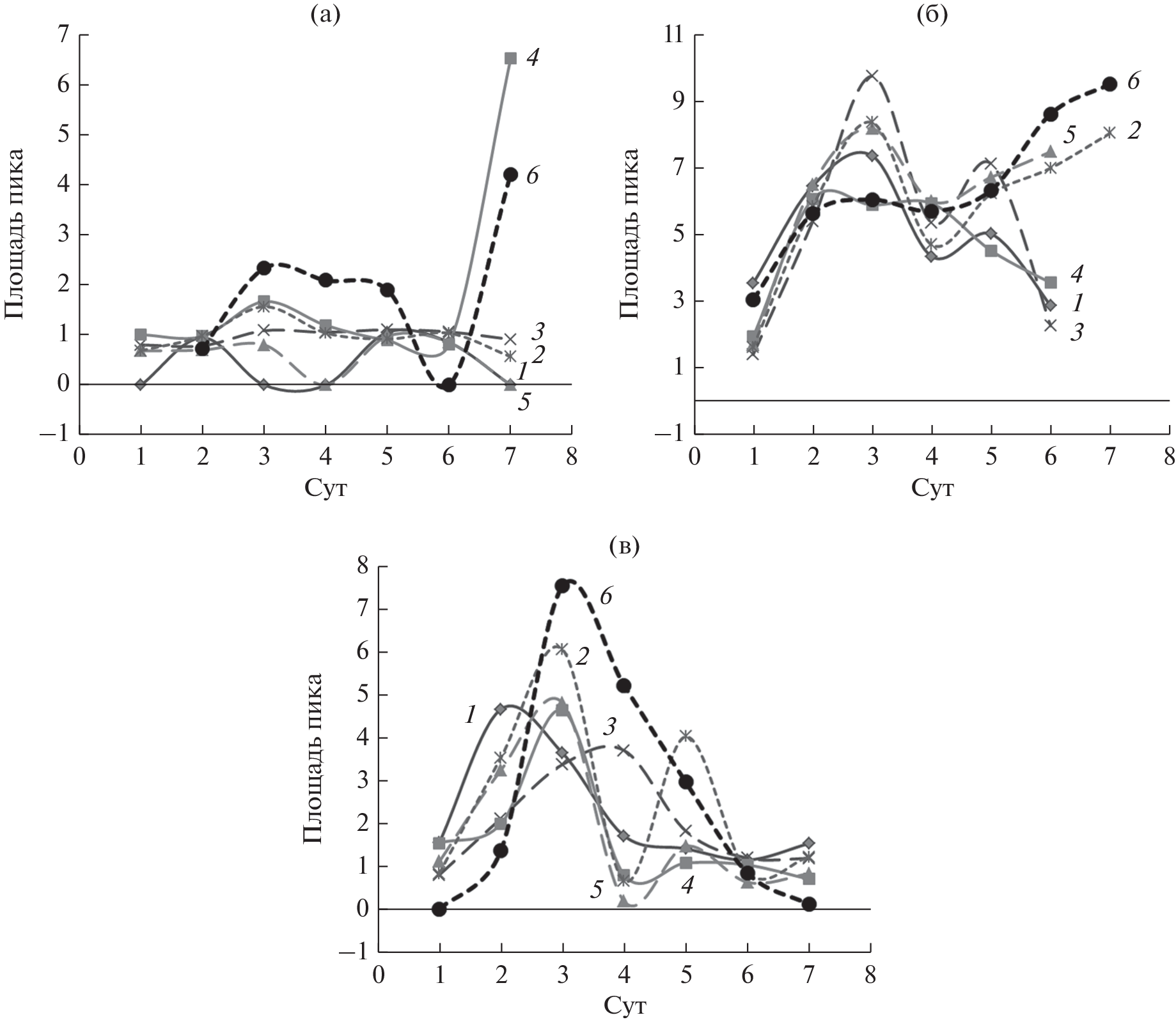
Abstract—Rhodococcus qingshengii VKM Ac-2784D isolated from the rhizosphere of Elytrigia repens, is a promising oil degrader. To increase its biotechnological potential, the effect of atranes (potential growth stimulants) on its growth and naphthalene degradation was studied. The effect of the studied atranes on R. qingshengii VKM Ac-2784D was shown to depend on the nature of the carbon source: addition of atranes had practically no effect on the growth rate of bacteria in the rich BTN medium; in the media 8E and 8E with glucose, it baused short-term activation of growth, characterized by a shorter lag phase. In the presence of naphthalene, atranes had a predominantly negative effect on the growth of R. qingshengii VKM Ac-2784D. The studied atranes had a negative effect on the rate of naphthalene decomposition by R. qingshengii VKM Ac-2784D, and also decreased the cell wall hydrophobicity and the synthesis of extracellular biosurfactants. It may therefore be assumed that the studied compounds will have a negative effect on the rate of naphthalene decomposition by this microorganism.
About the authors
L. A. Belovezhets
Favorsky Irkutsk Institute of Chemistry, Siberian Branch, Russian Academy of Sciences
Author for correspondence.
Email: lyu-sya@yandex.ru
Russia, 664033, Irkutsk
Ю. A. Markova
Siberian Institute of Plant Physiology and Biochemistry, Siberian Branch, Russian Academy of Sciences
Email: lyu-sya@yandex.ru
Russia, 664033, Irkutsk
A. A. Levchuk
Favorsky Irkutsk Institute of Chemistry, Siberian Branch, Russian Academy of Sciences
Email: lyu-sya@yandex.ru
Russia, 664033, Irkutsk
E. N. Oborina
Favorsky Irkutsk Institute of Chemistry, Siberian Branch, Russian Academy of Sciences
Email: lyu-sya@yandex.ru
Russia, 664033, Irkutsk
S. N. Adamovich
Favorsky Irkutsk Institute of Chemistry, Siberian Branch, Russian Academy of Sciences
Email: lyu-sya@yandex.ru
Russia, 664033, Irkutsk
References
- Беловежец Л.А., Третьякова М.С., Маркова Ю.А. Микробный препарат для биоремедиации почвы, загрязненной нефтью и нефтепродуктами. Патент РФ № 2705290. 2019.
- Беловежец Л.А., Третьякова М.С., Маркова Ю.А. Микробный препарат для защиты растений, произрастающих на нефтезагрязненных почвах. Патент РФ № 2744094. 2021.
- Василенко С.Л., Кохановская Е.Ю., Перова В.А., Титок М.А. Характеристика природных деструкторов нафталина // Материалы III Межд. науч. конф. “Ксенобиотики и живые системы”. Минск, 22‒24 октября 2008 г. С. 21‒23.
- Воронков М.Г., Барышок В.П. Силатраны в медицине и сельском хозяйстве. Новосибирск: СО РАН, 2005. 255 с.
- Ерофеевская Л.А., Чернявский В.Ф. Потенциал использования Rhodococcus для активации процессов очищения почв от нефтезагрязнений // Современная наука: актуальные проблемы теории и практики. Серия: Естественные и технические науки. 2016. № 9‒10. С. 3‒6.
- Ившина И.Б., Куюкина М.С., Каменских Т.Н., Криворучко А.В., Тюмина Е.А., Елькин А.А. Углеводородокисляющие родококки: особенности биологической организации под воздействием экополлютантов: атлас-монография / Под ред. Ившиной И.Б. Екатеринбург: УрО РАН, 2021. 140 с.
- Куюкина М.С. Биосурфактанты актинобактерий рода Rhodococcus: индуцированный биосинтез, свойства, применение. Автореферат дис. … докт. биол. наук. Пермь, 2006. 45 с.
- Леменовский Д.А., Зайцева Г.С., Карлов С.С. Атраны ‒ молекулярные бутоны // Природа. 2008. № 3. С. 28‒34.
- Решедько Г.К., Cтецюк О.У. Особенности определения чувствительности микроорганизмов диско-диффузионным методом // Клиническая микробиология и антимикробная химиотерапия. 2001. Т. 3. С. 348‒354.
- Рогозина Е.А., Андреева О.А., Жаркова С.И., Мартынова Д.А., Орлова Н.А. Сравнительная характеристика отечественных биопрепаратов, предлагаемых для очистки почв и грунтов от загрязнения нефтью и нефтепродуктами // Нефтегазовая геология. Теория и практика. 2010. Т. 5. № 3. С. 1‒18.
- Серебрякова Е.В., Дармов И.В., Медведев Н.П., Алексеев С.А., Рыбак С.И. Оценка гидрофобных свойств бактериальных клеток по адсорбции на поверхности капель хлороформа // Микробиология. 2002. Т. 70. С. 237‒239.
- Тимергазина И.Ф., Переходова Л.С. К проблеме биологического окисления нефти и нефтепродуктов углеводородо-кисляющими микроорганизмами // Нефтегазовая геология. Теория и практика. 2012. Т. 7. № 1. С. 1‒28.
- Третьякова М.С., Беловежец Л.А., Маркова Ю.А. Скрининг бактерий, ассоциированных с растениями, по способности деструктировать компоненты нефти // Системы. Методы. Технологии. 2015. № 4(28). С. 138‒142.
- Шаханов А.В., Досаев А.А., Скичко А.С. Математическое моделирование процесса биоразложения дротаверина гидрохлорида клетками родоккоков // Успехи в химии и химической технологии. 2019. Т. 33. № 11(221). С. 101‒104.
- Adamovich S.N. New atranes and similar ionic complexes. Synthesis, structure, properties // Appl. Organomet. Chem. 2019. V. 33. Art. e4940.
- Krivoruchko A., Kuyukina M., Ivshina I. Advanced rhodococcus biocatalysts for environmental biotechnologies // Catalysts. 2019. V. 9. Art. 236.
- Mirskova A.N., Adamovich S.N., Mirskov R.G. Protatranes as effective biostimulators for agriculture, biotechnology, and microbiology // Chem. Sustain. Develop. 2016. V. 24. P. 713‒729.
- Petrushin I.S., Markova Y.A., Karepova M.S., Zaytsev Y.V., Belovezhets L.A. Complete genome sequence of Rhodococcus qingshengii strain VKM Ac-2784D, isolated from Elytrigia repens rhizosphere // Microbiol. Resour. Announc. 2021. V. 10. Art. e00107-21.
Supplementary files








