Present Understanding of Biodiversity of Anoxygenic Phototrophic Bacteria in the Relic Lake Mogilnoe (Kildin Island, Murmansk oblast, Russia)
- Authors: Gorlenko V.M.1, Lunina O.N.1, Gruzdev D.S.2, Krasnova E.D.3, Voronov D.A.4, Belenkova V.V.1, Kozyaeva V.V.5,6, Savvichev A.S.1
-
Affiliations:
- Winogradsky Institute of Microbiology, Federal Research Center of Biotechnology, Russian Academy of Sciences
- SciBear OU
- Lomonosov Moscow State University
- Kharkevich Institute for Information Transmission Problems, Russian Academy of Sciences
- University of Waterloo
- K.G. Skryabin Institute of Bioengineering, Federal Research Center of Biotechnology, Russian Academy of Sciences
- Issue: Vol 93, No 3 (2024)
- Pages: 267-277
- Section: EXPERIMENTAL ARTICLES
- URL: https://journal-vniispk.ru/0026-3656/article/view/265049
- DOI: https://doi.org/10.31857/S0026365624030021
- ID: 265049
Cite item
Full Text
Abstract
The relic Lake Mogilnoe, separated from the Barents Sea by a sand and pebble dam, is located in the high Arctic on the Kildin island (Murmansk region). This lake is a classic example of a meromictic basin of marine origin. The data obtained during the 2018 expedition showed changes in the hydrochemical regime of the lake that have occurred over the past 20 years. Sulfide concentration in the monimolimnion of the lake was as high as 140 mg/L. A tendency for salinization of the surface waters to 7 g/L has been noted. The Lake Mogilnoe is characterized by a discrepancy between the halocline and thermocline levels. The chemocline zone in the lake is below the halocline level. In a narrow oxygen-containing layer between 3 and 7.5 m, aerobic microflora of the marine type and marine fauna were present. The bacterial plate was formed at the boundary of the sulfide layer at ~8 m and mainly consisted of green sulfur bacteria (GSB). Brown-colored GSB species containing bacteriochlorophyll e were predominant. The previously formed concept of anaerobic phototrophic bacteria (APB) biodiversity based on morphological characteristics was modified using metagenomic data obtained by analyzing DNA from two samples of lake water in the chemocline zone, and was also supplemented by identifying new GSB species. Molecular diagnostic data confirmed the absolute dominance of the brackish species of GSB Chlorobium phaeovibrioides. This is the first on isolation and identification of brown- and green-colored Prosthecochloris aestuarii morphotypes from Lake Mogilnoe and identified, as well as of bacteriochlorophyll c-containing Prosthecochloris sp. The taxonomic position of Pelodyction phaem, which was constantly present in the Lake Mogilnoe, is discussed in detail. Despite the partial isolation of the ecosystem of Lake Mogilnoe from the Barents Sea, the main properties of the dominant GSB species of GSB and Prosthecochloris aestuarii turned out to be similar to those of the phylotypes living in lakes on the White Sea coast of the, which remained connected with the Barents Sea.
Full Text
Озеро Могильное находится в высоких широтах Арктики (69°19′11″ с. ш., 34°20′55″ в. д.) на острове Кильдин (Мурманская область). Оно привлекает внимание гидрологов и биологов уже более ста лет (Исаченко, 1914; Дерюгин, 1927; Gorlenko et al., 1978; Иванов и соавт., 2001; Лунина и соавт., 2005; Strelkov et al., 2014, 2019; Krasnova et al., 2018; Краснова, 2021; Беленкова, Саввичев, 2021). Это сравнительно небольшой мезотрофный анхиолиновый меромиктический водоем, содержащий сульфид, с практически полным отсутствием циркуляции воды между слоями различной минерализации. От Баренцева моря оз. Могильное отделено с южной стороны дамбой из песка и гальки шириной 70 м и высотой до 5.4 м, через которую просачивается морская вода (рис. 1). С северной стороны в озеро поступают пресные поверхностные воды. В результате смешивания морских и пресных вод образуется устойчивая стратификация водных слоев от почти пресных на поверхности (соленость около 5‰) до соленых на дне (соленость до 30‰).
Рис. 1. Озеро Могильное. Остров Кильдин (Баренцево море). Фото Д. А. Воронова
В озере выделяются три зоны: аэробная, анаэробная, с повышенным содержанием сероводорода, и переходная зона — хемоклин (миксолимнион). На нижней границе проникновения света формируется бактериальная пластина с преобладанием аноксигенных фототрофных бактерий (АФБ) розового цвета. В начале ХХ века Б. Л. Исаченко первым исследовал бактериальную пластину оз. Могильное, располагавшуюся на глубине 12 м (Исаченко, 1914). Он определил, что розовый цвет ей придают пурпурные бактерии Сhromatium, окисляющие сероводород в ходе аноксигенного фотосинтеза. Дальнейшие исследования, проведенные в 1973 году, показали, что бактериальная пластина поднялась до 9 м, и в ней преобладают коричневоокрашенные зеленые серные бактерии (ЗСБ), морфологически сходные с Chlorobium phaeovibrioides. Субдоминантами также были коричневоокрашенные ЗСБ Pelodictyon phaeum и Prosthecochloris phaeoasteroidea. Пурпурные серобактерии были малочисленными. В июне 1999 г. и сентябре 2001 г. были проведены сезонные исследования структуры сообщества АФБ, в процессе которых идентифицированы до вида культуры АФБ методом анализа гена 16S рРНК (Лунина и соавт., 2005). Было подтверждено доминирование в сообществе хемоклина оз. Могильное Chlorobium phaeovibrioides, штамм Mog 4. В этом исследовании не были обнаружены субдоминанты ЗСБ, определенные в 70-х годах ХХ века.
Последние масштабные экспедиции на оз. Могильное были предприняты в июле‒августе и октябре 2018 года (Krasnova et al., 2018). Были выполнены гидрохимические исследования и отмечены тенденции изменения физико-химических характеристик водоема. Изучение таксономического статуса АФБ, входящих в состав бактериальной пластины, не проводилось. В представленной работе восполняется этот пробел.
Главной целью настоящего исследования было исследование видового разнообразия АФБ оз. Могильное в зоне хемоклина в конце лета 2018 года. Впервые был применен метод метагеномного анализа микробного сообщества. Параллельно планировалось выделение новых штаммов АФБ и их идентификация.
МАТЕРИАЛЫ И МЕТОДЫ ИССЛЕДОВАНИЯ
Отбор проб. Физико-химические исследования вертикальной структуры водной толщи оз. Могильное были проведены в конце июля 2018 года. Процедура отбора водных образцов, а также использованные для анализа методы, описаны в предыдущих публикациях (Krasnova et al., 2018). Пробы воды для гидрохимических измерений отбирали с помощью силиконовой трубки, закрепленной на калиброванном тросе, и портативного медицинского насоса Whale Premium Submersible Pump GP1352 (Ирландия). Для получения данных о тонкой стратификации сообщества АФБ в зоне хемоклина отбирали пробы многошприцевым батометром конструкции Воронова (Воронов, Краснова, 2019) с интервалом 2.5 см по вертикали.
Учет общей численности микроорганизмов. Для учета общей численности микроорганизмов (ОЧМ) пробы воды фиксировали раствором глутаральдегида, конечная концентрация которого в пробе составляла 2%. 1‒5 мл фиксированной пробы фильтровали через черные поликарбонатные фильтры (“Миллипор”) с диаметром пор 0.2 мкм. Фильтры окрашивали раствором акридинового оранжевого. Препараты просматривали с помощью эпифлуоресцентного микроскопа Olympus BX 41 с системой визуализации Image Scope Color (M) при увеличении ×1000. Учет клеток проводили с экрана монитора в 20-ти полях зрения.
Культивирование. Первичные посевы АФБ были выполнены из воды, отобранной с глубины 7.8 и 8.0 м. Штаммы выделяли и культивировали при 28°C на свету (2.000 лк), используя среду следующего состава (г/л): NH4Cl — 0.5, KH2PO4 — 0.5, MgCl2 · 6H2O — 0.2, CaCl2 · 2H2O — 0.1, NaCl — 20.0, KCl — 0.3, NaHCO3 — 3.0, Na2S2O3 6H2O — 1.0, Na2S · 9H2O — 0.7, дрожжевой экстракт — 0.1, ацетат натрия — 0.5; раствор витаминов и микроэлементов — по 1 мл из каждого концентрированного стерильного раствора. Конечный рН устанавливали 7.5. Очистку культур АФБ проводили методом разведений на агаризованной (0.5%) среде указанного состава (Лунина и соавт., 2019). Оптимальные условия роста АФБ (температуры, концентрации NaCl) определяли путем измерения оптической плотности выросшей суспензии клеток при 726 нм на фотометре КФК-3 (Россия).
Микроскопирование. Морфологию клеток бактерий изучали в световом микроскопе Olympus BX 41 (Япония) с объективом ×100 с фазовым контрастом. Ультратонкие срезы исследовали под электронным микроскопом Jeol JEM-100C (Япония) при напряжении 80 кВ. Для приготовления ультратонких срезов материал обезвоживали и заливали в Эпон (Ryter, Kellenberger, 1958). Срезы помещали на медные сетки с формваровым покрытием и контрастировали по Рейнольдсу (Reinolds, 1963).
Количество бактериохлорофиллов в природных образцах определено с использованием методов спектрофотометрии и спектрофлуориметрии (Жильцова и соавт., 2020).
Состав пигментов выделенных культур АФБ определяли по спектрам поглощения на спектрофотометре СФ 56А (“ЛОМО”, Россия) в диапазоне длин волн 350–1100 нм. Для этого готовили суспензию клеток в 50% глицерине. Кроме того, исследовали спектральные характеристики экстрактов пигментов АФБ в смеси ацетон‒метанол (7 : 2; об./об.).
Филогенетический анализ. Для выделения ДНК из накопительных культур использовали набор DNeasy UltraClean Microbial Kit (“Qiagen”, Нидерланды). Идентификацию накопительных культур ЗСБ проводили с помощью праймерной группоспецифичной системы F-99-GSB‒R-1369 для гена 16S рРНК (Alexander et al., 2002). Секвенирование проводили на автоматическом генетическом анализаторе DNA Analyzer 3730 (“Applied Biosystems”, США) с использованием набора реактивов BigDye Terminator v3.1 Cycle Sequencing Kit (“Applied Biosystems”, США), согласно инструкции производителя. Выравнивание последовательностей проводили с помощью онлайн-сервиса MAFFT (Katoh et al., 2019). Филогенетический анализ проводили при помощи сервиса IQ-TREE (Nguyen et al., 2015) с использованием эволюционной модели, полученной при помощи Model Finder (Kalyaanamoorthy et al., 2017). Дерево было построено при bootstrap-анализе 1000 альтернативных деревьев и визуализировано в iTOL v.6., последовательности были депонированы в GenBank под номерами OR538547‒OR538549.
Метагеномный анализ. В соответствии с рекомендациями производителя библиотека фрагментов метагенома была создана с помощью набора NEBNextDNA Library Prep kit (“Illumina”). Секвенирование библиотеки проводилось на приборе HiSeq 2500 (“Illumina”) с использованием парных чтений (150 п. н.). Качество необработанных чтений определялось с помощью Fast QC v. 0.11.7 (http://www.bioinformatics.babraham.ac.uk/projects/fastqc/), а некачественные чтения удалялись с помощью Trimmomatic v. 0.36 (Bolger et al., 2014). Отфильтрованные по качеству чтения были собраны de novo с помощью metaSPAdes v. 3.15.0 (Nurk et al., 2017). Таксономию отфильтрованных по качеству чтений для каждого образца присваивали с помощью Kaiju v. 1.5 (Menzel et al., 2016) с использованием нередуцированной базы данных белков NCBI BLAST nr v. 2017–05–16. Для реконструкции генома использовали три различных подхода: MaxBin 2.0 (Wu et al., 2016), MyCC (Lin, Liao, 2016) и BusyBee Web (Laczny et al., 2017). Окончательные сборки геномов были получены с помощью программы Das Tool (Sieber et al., 2018). Таксономическое положение собранного генома определяли с помощью GTDB-Tk v. 1.5.0 (Chaumeil et al., 2019). Определение наличия контаминации и ее удаление проводили с помощью программы RefineM v. 0.0.24 (Parks et al., 2017). Уровень и полноту загрязнения геномной сборки оценивали с помощью CheckM v. 1.0.12 (Parks et al., 2015) с командой “lineage wf” и настройками по умолчанию. Аннотирование генома проводили с помощью программы PGAP (Prokaryotic Genome Annotation Pipeline), предоставленной NCBI (Tatusova et al., 2016). Качество сборки генома оценивали с помощью программы QUAST (Gurevich et al., 2013). Для исследования метаболического потенциала автоматическое присвоение идентификаторов KEGG-ортологии (KO) белкам штаммов Chlorobium было выполнено с помощью BlastKOALA (Kanehisa et al., 2016) и подкреплено поиском BLASTp (e-value < 10‒20) по базе нередуцированных белков NCBI.
РЕЗУЛЬТАТЫ
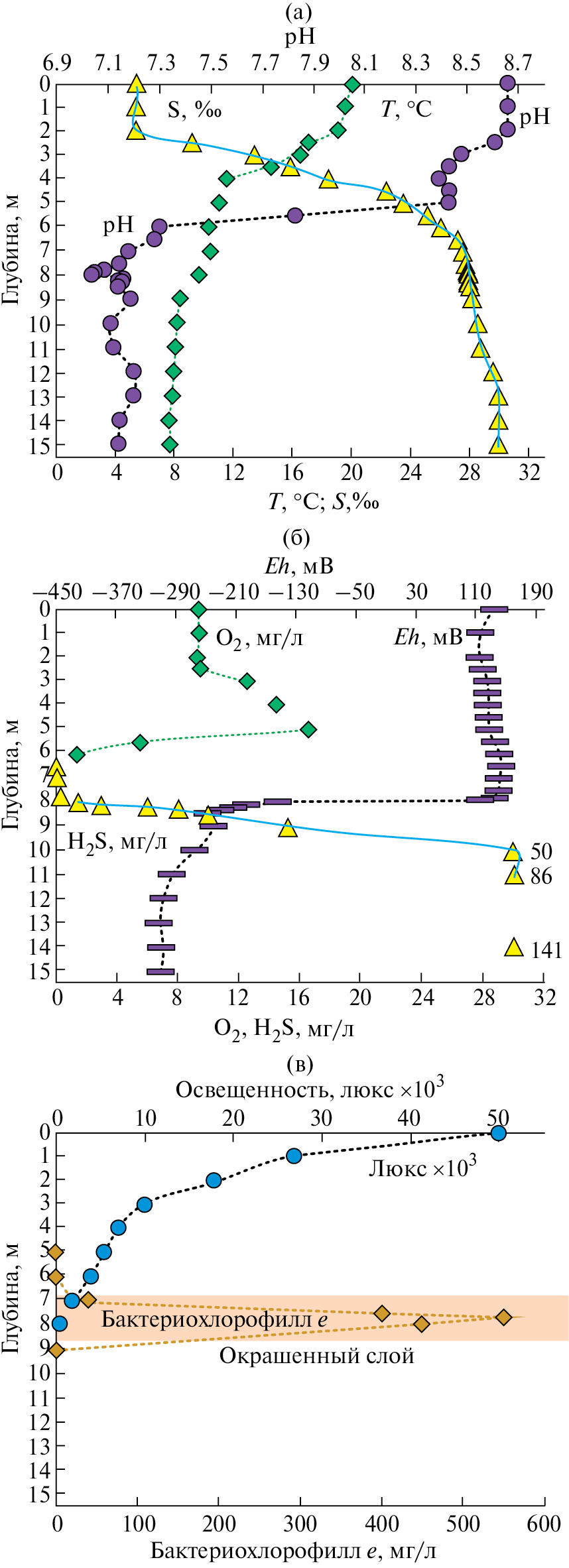
Физико-химические характеристики оз. Могильное в конце июля 2018 года. Поверхностная вода была распреснена до 5.4‰ от поверхности до глубины 2.5 м (рис. 2). Далее, до глубины 6.5 м, происходило резкое увеличение солености с 13.3‰ до 27.2‰. На глубинах 13 м и до дна соленость оставалась стабильной 29.9‰. Отметим, что в Баренцевом море соленость воды составляет 33‰, что свидетельствует о разбавление морской воды, поступающей в оз. Могильное через дамбу, пресными береговыми стоками. Поверхностная вода озера в конце июля прогревалась до 20°С (рис. 2). Температурный скачок простирался с 2 до 5 метров, после чего температура воды медленно снижалась с 11 до 9°С.
Рис. 2. Основные физико-химические характеристики водной толщи оз. Могильное (июль 2018 г.): a — S — соленость,‰; рН; Т — температура, °C; б — cодержание кислорода (О2), сероводорода (H2S) и величина окислительно-восстановительного потенциала (Eh); в — величина освещенности (люкс), концентрация бактериохлорофилла е и положение окрашенной бактериальной пластины в водной толще оз. Могильное (Krasnova et al., 2019; Жильцова и соавт., 2019)
Следует отметить, что граница хемоклина (ред-окс зона) располагалась на глубине 7.8–8.0 м при солености, близкой к максимальной для этого озера. К этой глубине кислород исчезает, и начинается резкое увеличение концентрации сероводорода до 141 г/л у дна (рис. 2).
Положение бактериальной пластины. В солнечную погоду до верхней границы распространения сероводорода (зоны хемоклина) достигает незначительное количество световой энергии, достаточной для преимущественного развития коричневоокрашенных ЗСБ (рис. 2). Бактериальная пластина формируется на глубине в интервале 7.8–8.3 м при солености 27.8‰ и температуре 9.6°C (рис. 2). Максимальная общая численность бактерий была зарегистрирована на глубине 7.8 м и составляла 3.4 млн клеток в 1 мл. На глубине 8 м ОЧМ снижалась до 2.4 млн клеток в 1 мл. Концентрация бактериохлорофилла e на этих глубинах была высокой и составила 550 и 450 мкг/л соответственно (рис. 2) (Жильцова и соавт., 2020). Это подтверждает доминирование в бактериальной пластине коричневоокрашенных ЗСБ, приспособленных к жизни при низкой освещенности и спектральных особенностях коротковолнового света, достигающего максимальных глубин. Бактериохлорофилл а, характерный для пурпурных бактерий, на этих глубинах не зарегистрирован. Почти полное отсутствие пурпурных бактерий объяснимо слишком низкой освещенностью на границе хемоклина.
Таксономический состав микробного сообщества зоны хемоклина по данным метагеномного анализа. В результате метагеномного анализа ДНК двух образцов с глубин 7.8 и 8.0 м было получено 3206961 и 3379495 парно-концевых чтений (2 × 150 пн) для проб Mog_7.8 и Mog_8 соответственно. Полученные чтения были использованы для определения состава микробного сообщества (рис. 3).
Рис. 3. Таксономический состав бактерий зоны хемоклина двух близко расположенных горизонтов (7.8 и 8.0 м) по данным метагеномного анализа. Пояснения на рисунке
В результате в образцах Mog_7.8 и Mog_8 доминировали представители филума Chlorobiota (81.2 и 73.4%). Кроме того, были идентифицированы последовательности, относящиеся к филам Pseudomonodota (10.1 и 13.4%), Bacteroidota (1.9 и 3.5%), Bacillota (1.0 и 1.2%) и Chloroflexota (0.7 и 1.7%). В отличие от Mog7.8, в образце Mog_8 были получены последовательности, принадлежащие представителям Actinomycetota (0.8%) и Cyanobacterota (0.6%). Полученные чтения были использованы для сборки метагеномов. В результате метагеном Mog_7.8 состоял из 8892 скаффолдов (≥500 пн), общим размером 11590404, а метагеном Mog_8 состоял из 19437 скаффолдов размером 19211437 пн (N50 = 922). С целью реконструкции геномов был проведен бинниг обоих метагеномов. В результате был реконструирован геном размером 2210184 пн, состоящий из 97 скаффолдов (L50/N50 = 8/85640) и имеющий GC состав 52.57%. Полнота и уровень контаминации реконструированного генома были определены с использованием CheckM и составили 99.3 и 0% соответственно. В геноме была идентифицирована полная последовательность гена 16S рРНК (Mog18–1), которая имела уровень сходства в 99.93% с Chlorobium phaeovibrioides Mog4, штаммом, обнаруженным ранее в оз. Могильное (Лунина и соавт., 2005). В собранном геноме были идентифицированы гены bciD и bchF3, ответственные за биосинтез бактериохлорофилла е, и генный кластер gvp, отвечающий за образование газовых везикул. Геномный анализ не выявил присутствия других видов ЗСБ, ранее обнаруженных методом посева в оз. Могильное (Gorlenko et al., 1978; Лунина и соавт., 2005).
Характеристика выделенных культур АФБ. Из отобранных из хемоклина проб оз. Могильное нами выделены культуры доминирующего вида Chlorobium phaeovibrioides, а также два морфотипа Prosthecochloris: коричневый, содержащий бактериохлорофилл е, штамм Mog18–2 и зеленый штамм Mog18–3, содержащий бактериохлорофилл с (рис. 4, рис. 5).
Рис. 4. Спектры поглощения клеток коричневого морфотипа Ptc. aestuarii, штамм Mog18–2, обнаруженного в оз. Могильном (а), содержащего бактериохлорофилл e (максимум 721 нм.), (ранее назван Ptc. phaeoasteroidea (Пучкова, Горленко, 1976)) и зеленого Prosthecochloris, штамм Mog18–3 (б), содержащего бактериохлорофилл с (максимум 751 нм)
Рис. 5. Тонкое строение выделенных культур АФБ: а, б — Chlorobium phaeovibrioides; в, г — коричневоокрашенные Prostecochloris aestuarii с простеками; ж — Thiocapsa sp.; д — Thiocystis sp.; e — Tiocapsa sp. Электронный микроскоп (а–г, ж). Световой микроскоп, фазовый контраст (д, е). Обозначения: ПР — клеточные выросты — простеки; ХС — антенные структуры — хлоросомы; ВФС — фотосинтетические структуры везикулярного типа; S — внутриклеточные включения элементной серы. Масштабная метка — 0.5 мкм
Оба штамма филогенетически близки между собой и с типовым видом Prosthecochloris aestuarii SK 413, а также с содержащим бактериохлорофилл e коричневым штаммом ZM (Gorlenko, 1970) (рис. 6).
Рис. 6. Филогенетическое дерево, полученное на основе последовательностей гена 16S рРНК, показывающее положение выделенных штаммов среди представителей семейства Chlorobiaceae. Номера штаммов, депонированные в GenBank, представлены на дереве
Отметим, что зеленый морфотип Prosthecochloris aestuarii был обнаружен в бактериальной пластине оз. Могильное впервые. Также впервые выделен в культуру и идентифицирован еще один зеленоокрашенный штамм ЗСБ Mog18–4, содержащий бактериохлорофилл с (рис. 4). По данным анализа гена 16S рРНК, штамм Mog18–4 близок с не идентифицируемым до вида штаммом Prosthecochloris HL-130-GSB, изолированным из микробного мата теплого стратифицированного оз. Вашингтон (США, штат Вашингтон) (рис. 6) (Thiel et al., 2017). Клетки ЗСБ содержали хлоросомы, выстилающие цитоплазматическую мембрану. Коричневоокрашенные бактерии Prosthecochloris aestuarii образовывали клеточные выросты простеки (рис. 5). Кроме ЗСБ, были выделены два штамма пурпурных серобактерий, морфологически близкие бактериям рода Thiocapsa и Thiocystis (рис. 5). Для этих штаммов ПСБ характерны фотосинтезирующие структуры везикулярного типа и каротиноид окенон.
ОБСУЖДЕНИЕ
Последние данные экспедиции 2018 года показали изменения гидрохимического режима оз. Могильное, повлиявшие на положение бактериальной пластины, а также на видовой состав АФБ. Отмечается тенденция осолонения поверхностных вод озера от 5 до 7 г/л. Одной из причин этого явления стало снижение фильтрационной способности дамбы (Strelkov et al., 2019). Можно предположить, что затрудненный водообмен с морем со временем возрастает вследствие механического засорения пористых структур дамбы и образования в них биопленок. Регулярные исследования дают основание прогнозировать динамику состояния дочерних морских водоемов, отгороженных от материнского моря дамбой. Примерами таких водоемов, кроме оз. Могильное, является оз. Большие Хрусломены (Лунина и соавт., 2023), а также залив Канда, который в 1942 году был полностью отделен от Белого моря насыпной дамбой (Саввичев и соавт., 2017). В послевоенные годы водоток в теле дамбы был восстановлен, и изоляция водоема стала ограниченной. Тем не менее в заливе Канда зарегистрированы признаки сероводородного заражения (Savvichev et al., 2023).
В литературе отмечается, что сероводород часто регистрируется в узких морских заливах с ограниченным водообменом, таких как Чесапикский залив и фьорд Нитинат Лейк (Van Gemerden, Mas, 1995; Findlay et al., 2015; Schmidtova et al., 2009). Чесапикский залив представляет собой частично стратифицированный эстуарий, простирающийся от устья реки Саскуэханна до Атлантического океана. Установлено, что в этом заливе виды ЗСБ родов Prosthecochloris и Chlorobium играют главную роль в окислении сульфида и препятствуют проникновению токсичного газа в аэробную зону (Findlay et al., 2015). Во фьорде-озере Нитинат Лейк (Nitinat Lake, Vancouver Island, British Columbia, Канада), которое соединено узкой протокой с Тихим океаном, на верхней границе сероводородного слоя доминировали Chl. phaeovibrioides, филогенетически близкие штамму Mog 4, обнаруженному в оз. Могильное (Schmidtova et al., 2009; Лунина и соавт., 2005).
Для оз. Могильное характерно несовпадение уровней галоклина и термоклина. В узком кислородсодержащем слое между 3 и 7 м в оз. Могильное существует морская фауна, среди которой примечателен подвид трески Gadus morhua kildinensis (Дерюгин, 1927). Бактериальная пластина формируется в зоне хемоклина при солености, близкой к солености морской воды, что предопределяет видовой состав АФБ, представленный умеренно галофильными видами. Данные метагеномного анализа подтвердили абсолютное доминирование соленоводного вида ЗСБ Chl. phaeovibrioides. В собранном геноме этого вида идентифицированы гены, ответственные за биосинтез бактериохлорофилла е, гены bciD и bchF3 и определен генный кластер gvp, отвечающий за образование газовых везикул. Присутствие газовых везикул у Chl. phaeovibrioides, увеличивающих степень плавучести бактерий, впервые было выявлено у штаммов этого вида, выделенных из оз. Большие Хрусломены, имеющего связь с Белым морем (Grouzdev et al., 2019). При анализе метагенома из хемоклина воды оз. Могильное не было обнаружено других видов ЗСБ.
Выделение новых штаммов ЗСБ и их идентификация предоставили дополнительные данные о разнообразии сообщества АФБ в оз. Могильное в минорном компоненте. Усиление освещенности бактериальной пластины, благодаря поднятию границы зоны хемоклина, видимо, стало причиной появления зеленоокрашенных ЗСБ среди доминирующих коричневоокрашенных морфотипов. Впервые были изолированы в культуру зеленоокрашенные и коричневоокрашенные морфотипы Prosthecochloris aestuarii (Gorlenko, 1970; Пучкова, Горленко, 1976), а также еще один содержащий бактериохлорофилл с штамм Mog18–4, претендующий на новый вид Prosthecochloris.
Pelodictyon phaeum, который ранее регулярно наблюдался в этом озере, не был получен в бактериальной культуре. Вследствие этого не удалось исследовать его филогению. Типовой штамм вида Pelodictyon phaeum, выделенный из континентального соленого озера Вейсового (Славянск, Украина), имеет более крупные размеры клеток, изогнутых в полукольцо и содержащих газовые вакуоли (Горленко, 1972; Горленко и соавт., 1973). В некоторых соленых меромиктических озерах этот вид может быть доминантом (Романенко и соавт., 1976). Отметим, что из соленого озера Cibolar Lake, Испания, был выделен штамм CIB2401, названный “Pelodictyon phaeum“, фенотипически сходный с описанием этого вида (Miraclel et al., 1992). В дальнейшем по геномным характеристикам этот штамм был переопределен и переименован как “Prosthecochloris phaeum” (Gregersen et al., 2011). Валидного описания данного вида пока не опубликовано. Филогенетическое положение штамма CIB2401 отражено на рис. 6. Он имеет тесное родство с видом Prosthecochloris vibrioforme и, вероятно, является коричневым морфотипом этого вида. Таким образом, таксономическая и генетическая самостоятельность Pelodictyon phaeum еще не определена.
Заключая отметим, что экосистема оз. Могильное длительное время находится в изоляции. Вследствие этого в нем возникли благоприятные условия для адаптивных изменений организмов, и, как следствие, возник новый подвид рыбы трески. В то же время, генетические изменения, видимо, не коснулись микроорганизмов, свободно мигрирующих с водой через дамбу. Микроорганизмы практически не изолированы от моря. Поэтому основные свойства доминирующего в оз. Могильное вида ЗСБ Chlorobium phaeovibrioides, а также Prosthecochloris aestuarii, оказались сходными с филотипами обитающими в озерах на побережье Белого моря, имеющего связь с акваторией Баренцева моря (Grouzdev et al., 2018, 2022; Саввичев и соавт., 2022).
ДАННЫЕ О ДЕПОНИРОВАНИИ ГЕНОМА
Номер депонирования генома Chlorobium phaeovibrioides Mog18 — 1 (JAVYJA000000000; BioSample SAMN37347556).
БЛАГОДАРНОСТИ
Авторы приносят благодарность Н. М. Кокрятской и Г. Н. Лосюк, участвующим в гидрохимических исследованиях в трудных условиях Заполярья, а также Н. Е. Сузиной за приготовление препаратов для электронной микроскопии.
ФИНАНСИРОВАНИЕ РАБОТЫ
Работа выполнена при поддержке Российского научного фонда (грант № 23-24-00208), а также в рамках госзадания Министерства науки и высшего образования Российской Федерации. А. С. Саввичев, В. М. Горленко и В. В. Беленкова — выполняли полевые и лабораторные исследования; О. Н. Лунина проводила работу с культурами и готовила материал для метагеномного анализа. Д. С. Груздев и В. В. Козяева выполняли метагеномный и филогенетический анализы.
СОБЛЮДЕНИЕ ЭТИЧЕСКИХ СТАНДАРТОВ
Статья не содержит результатов исследований, где в качестве объектов использовались животные.
КОНФЛИКТ ИНТЕРЕСОВ
Авторы заявляют об отсутствии конфликта интересов.
About the authors
V. M. Gorlenko
Winogradsky Institute of Microbiology, Federal Research Center of Biotechnology, Russian Academy of Sciences
Author for correspondence.
Email: vgorlenko@mail.ru
Russian Federation, Moscow
O. N. Lunina
Winogradsky Institute of Microbiology, Federal Research Center of Biotechnology, Russian Academy of Sciences
Email: vgorlenko@mail.ru
Russian Federation, Moscow
D. S. Gruzdev
SciBear OU
Email: vgorlenko@mail.ru
Estonia, Tallinn
E. D. Krasnova
Lomonosov Moscow State University
Email: vgorlenko@mail.ru
Russian Federation, Moscow
D. A. Voronov
Kharkevich Institute for Information Transmission Problems, Russian Academy of Sciences
Email: vgorlenko@mail.ru
Russian Federation, Moscow
V. V. Belenkova
Winogradsky Institute of Microbiology, Federal Research Center of Biotechnology, Russian Academy of Sciences
Email: vgorlenko@mail.ru
Russian Federation, Moscow
V. V. Kozyaeva
University of Waterloo; K.G. Skryabin Institute of Bioengineering, Federal Research Center of Biotechnology, Russian Academy of Sciences
Email: vgorlenko@mail.ru
Canada, Waterloo; Moscow, Russia
A. S. Savvichev
Winogradsky Institute of Microbiology, Federal Research Center of Biotechnology, Russian Academy of Sciences
Email: vgorlenko@mail.ru
Russian Federation, Moscow
References
- Беленкова В. В., Саввичев А. С. Микробиологические исследования на озере Могильном // Природа. 2021. Т. 1267 (3). С. 50‒60. https://doi.org/10.7868/S0032874X21030066
- Воронов Д. А., Краснова Е. Д. Исследования мелкомасштабного распределения микроорганизмов в хемоклине прибрежных стратифицированных водоемов, отделяющихся от Белого моря // Труды VII Межд. научно-практ. конф. “Морские исследования и образование (MARESEDU-2018)”. Т. 4. Тверь: ООО ПолиПРЕСС, 2019. С. 103–107.
- Горленко В. М. Фототрофные коричневые серные бактерии Pelodictyon phaeum nov. sp. // Микробиология. 1972. Т. 41. С. 370–371.
- Горленко В. М., Чеботерев Е. Н., Качалкин В. И. Микробиологические процессы окисления сероводорода в озере Вейсово // Микробиология. 1973. Т. 43. С. 610–615.
- Дерюгин К. М. Реликтовое озеро Могильное на острове Кильдине // Природа. 1927. Т. 4. С. 278–288.
- Жильцова А. А., Емельянцев П. С., Краснова Е. Д., Воронов Д. А., Пацаева С. В. Определение доминирующих фотосинтезирующих организмов в хемоклине оз. Могильного (о. Кильдин, Баренцево море) и их вертикального распределения методами спектрофотометрии и спектрофлуориметрии // Труды VIII Межд. научно-практ. конф. “Морские исследования и образование (MARESEDU-2019)”. Москва, 28–31.10.2019 г. Том II (III). М.: ООО “ПолиПРЕСС”, 2020. С. 428‒432.
- Иванов М. В., Русанов И. И., Пименов Н. В., Байрамов И. Т., Юсупов С. К., Саввичев А. С., Леин А. Ю., Сапожников В. В. Микробные процессы цикла углерода и серы в озере Могильном // Микробиология. 2001. Т. 70. С. 675‒686.
- Ivanov M. V., Rusanov I. I., Pimenov N. V., Bairamov I. T., Yusupov S. K., Savvichev A. S., Lein A. Yu. and Sapozhnikov V. V. Microbial processes of the carbon and sulfur cycles in Lake Mogil’noe // Microbiology (Moscow). 2001. V. 70. P. 583–593.
- Исаченко Б. Л. Исследования над бактериями Северного Ледовитого океана. Петроград: тип. В. Ф. Киршбаума (отд.), 1914. 294 с.
- Isachenko B. L. Study on the bacteria of the Arctic Ocean // Proc. of Murmansk scientific fishing expedition in 1906. St. Petersburg, 1914. 298 p. (in Russian).
- Krasnova E. D., Efimov V. A., Fedyuk M. L., Frolova N. L., Kokryatskaya N. M., Kossenkov A. V., Patsaeva S. V., Vasilenko A. N., Voronov D. A., Strelkov P. P. New data on lake Mogilnoe (Kildin island, Barents Sea): the results of the 2018 expeditions // IOP Conference Series: Earth and Environmental Science. 2019. V. 263. P. 1‒8. https://doi.org/10.1088/1755-1315/263/1/012019
- Краснова Е. Д. Экология меромиктических озер России. 1. Прибрежные морские водоемы // Водные ресурсы. 2021. Т. 48. С. 322–333. https://doi.org/10.31857/S0321059621030093
- Krasnova E. D. Ecology of meromictic lakes of Russia. Coastal marine waterbodies // Water Resour. 2021. V. 48. P. 427–438. https://doi.org/10.1134/S009780782103009X
- Лунина О. Н., Саввичев А. С., Бабенко В. В., Болдырева Д. И., Колганова Т. В., Краснова Е. Ф., Кокрятская Н. М., Веслополова Е. Ф., Воронов Д. А., Кузнецов Б. Б., Демиденко Н. А., Летарова М. А., Летаров А. В., Горленко В. М. Сезонные изменения структуры сообщества аноксигенных фототрофных бактерий меромиктического озера Трехцветное (Кандалакшский залив Белого моря) // Микробиология. 2019. Т. 88. С. 100–115. https://doi.org/10.1134/S0026365619010051
- Lunina O. N., Savvichev A. S., Babenko V. V., Boldyreva D. I., Kuznetsov B. B., Kolganova T. V., Krasnova E. D., Kokryatskaya N. M., Veslopolova E. F., Voronov D. A., Demidenko N. A., Letarova M. A., Letarov A. V., Gorlenko V. M. Seasonal variations in the structure of an anoxygenic phototrophic bacterial community from the meromictic Lake Trekhtsvetnoe (Kandalaksha Bay, White Sea) // Microbiology (Moscow) 2019. V. 88. P. 71–85. https://doi.org/10.1134/S0026261719010041
- Лунина О. Н., Горленко ВМ., Попова О. А., Акимов В. Н., Русанов И. И., Пименов Н. В. Сезонные изменения структуры сообщества аноксигенных фототрофных бактерий реликтового озера Могильное (о. Кильдин, Баренцево море) // Микробиология. 2005. Т. 74. С. 677‒686. https://doi.org/10.1134/S0026365619010051
- Lunina O. N., Gorlenko V. M., Solov’eva O.A., Akimov V. N., Rusanov I. I., Pimenov N. V. Seasonal changes in the structure of the anoxygenic phototrophic bacterial community in Lake Mogilnoe, a relict Lake on Kil’din Island in the Barents Sea // Microbiology (Moscow). 2005. V. 74. P. 588–596. https://doi.org/10.1007/s11021-005-0107-7
- Лунина О. Н., Груздев Д. С., Пацаева С. В., Жильцова А. А., Сузина Н. Е., Краснова Е. Д., Воронов Д. А., Кокрятская Н. М., Веслополова Е. Ф., Саввичев А. С. Аноксигенные фототрофные бактерии меромиктического озера Большие Хрусломены (о. Олений, Кандалакшский залив, Мурманская область, Россия) // Микробиология. 2023. Т. 92. С. 564‒580. https://doi.org/10.31857/S0026365623600268
- Lunina O. N., Grouzdev D. S., Patsaeva S. V., Zhil’tsova A.A., Suzina N. E., Krasnova E. D., Voronov D. A., Kokryatskaya N.M, Veslopolova E. F., Savvichev A. S. Anoxygenic phototrophic bacteria of the meromictic Lake Bol’shie Khruslomeny (Oleniy Island, Kandalaksha Gulf, Murmansk Oblast, Russia) // Microbiology (Moscow). 2023. V. 92. P. 792‒806. https://doi.org/10.1134/S0026261723602051
- Пучкова Н. Н., Горленко В. М. Новые коричневые хлоробактерии Prosthecochloris phaeoasteroidea nov. sp. // Микробиология. 1976. Т. 45. С. 655–660.
- Романенко В. И., Перес Э. М., Кудрявцев В. М., Пубиенес М. А. Микробиологические процессы в меромиктическом озере. Ваэ-де-Сан-Хуан, Куба // Микробиология. 1976. Т. 45. С. 539–546.
- Саввичев А. С., Кулакова А. А., Краснова Е. Д., Воронов Д. А., Кадников В. В., Белецкий А. В., Козяева В. В., Русанов И. И., Летарова М. А., Веслополова Е. Ф., Беленкова В. В., Демиденко Н. А., Горленко В. М. Микробное сообщество морского меромиктического желоба (Бухта Биофильтров), расположенного в Кандалакшском заливе Белого моря // Микробиология. 2022. Т. 91. С. 492–506. https://doi.org/10.31857/S002636562210010X
- Savvichev A. S., Kulakova A. A., Krasnova E. D., Voronov D. A., Kadnikov V. V., Beletskii A. V., Kozyaeva V. V., Rusanov I. I., Letarova M. A., Veslopolova E. F., Belenkova V. V., Demidenko N. A., Gorlenko V. M. Microbial community of a marine meromictic trough (Biofilter Bay) in the Kandalaksha Bay, White Sea // Microbiology (Moscow). 2022. V. 91. P. 432–444. https://doi.org/10.1134/S0026261722100940
- Саввичев А. С., Демиденко Н. А., Краснова Е. Д., Калмацкая О. В., Харчева А. И., академик РАН Иванов М. В. Микробные процессы в губе Канда — меромиктическом водоеме, искусственно отделенном от Белого моря // Доклады Академии наук. 2017. Т. 474. № 5. C. 637–641. https://doi.org/10.7868/S0869565217050243
- Savvichev A. S., Demidenko N. A., Kadnikov V. V., Belenkova V. V., Rusanov I. I., Gorlenko V. M. Microbial community composition as an indicator of the state of basins located at the sea coast (Exemplified by the Kanda Bay, Kandalaksha Gulf, White Sea) // Microbiology (Moscow). 2023. V. 92. P. 819‒830. https://doi.org/10.1134/S002626172360194X
- Alexander B., Andersen J. H., Cox R. P., Imhoff J. F. Phylogeny of green sulfur bacteria on the basis of gene sequences of 16S rRNA and of the Fenna-Matthews-Olson protein // Arch. Microbiol. 2002. V. 178. P. 131–140. https://doi.org/10.1007/s00203-002-0432-4
- Bolger A. M., Lohse M., Usadel B. Trimmomatic: a flexible trimmer for illumina sequence data // Bioinformatics. 2014. V. 30. P. 2114–2120. https://doi.org/10.1093/bioinformatics/btu170
- Chaumeil P.-A., Mussig A. J., Hugenholtz P., Parks D. H. GTDB-Tk: a toolkit to classify genomes with the genome taxonomy database // Bioinformatics. 2019. V. 36. P. 1925‒1927. https://doi.org/10.1093/bioinformatics/btz848
- Findlay J. A., Bennetta J. A., Hansona E. T., Luther W. G. Light-dependent sulfide oxidation in the anoxic zone of the Chesapeake Bay can be explained by small populations of phototrophic bacteria // Appl. Environ. Microbiol. 2015. V. 81. P. 7560‒7569. https://doi.org/10.1128/AEM.02062
- Gorlenko V. M., Vainshtein M. B., Kachalkin V. I. Microbiological characteristic of Lake Mogilnoye // Arch. Hydrobiol. 1978. V. 81. P. 475–492.
- Gorlenko V. M. A new phototrophic green sulphur bacterium. Prosthecochloris aestuarii nov. gen. nov. spec. // Z. Allg. Mikrobiol. 1970. V. 10. P. 147–149. https://doi.org/10.1002/JOBM.19700100207
- Gregersen L. H., Bryant A. D., Frigaard N.-U. Mechanisms and evolution of oxidative sulfur metabolism in green sulfur bacteria // Frontiers in Microbiology. 2011. V. 2. Art. 116. https://doi.org/10.3389/fmicb.2011.00116
- Grouzdev D. S., Gaisin V. A., Krutkina M. S., Bryantseva I. A., Lunina O. N., Savvichev A. S., Gorlenko V. M. Genome sequence of Prosthecochloris sp. strain ZM and Prosthecochloris sp. strain ZM-2, isolated from an arctic meromictic lake // Microb. Res. Announc. 2018. V. 7. e01415–18. https://doi.org/10.1128/MRA.01415-18
- Grouzdev D., Gaisin V., Lunina O., Krutkina M., Krasnova E., Voronov D., Baslerov R., Sigalevich P., Savvichev A., Gorlenko V. Microbial communities of stratified aquatic ecosystems of Kandalaksha Bay (White Sea) shed light on the evolutionary history of green and brown morphotypes of Chlorobiota // FEMS Microbiol. Ecol. 2022. V. 98. Art. fiac103. P. 1‒11. https://doi.org/10.1093/femsec/fiac103
- Grouzdev D. S., Lunina O. N., Gaisin V. A., Krutkina M. S., Baslerov R. V., Savvichev A. S., Gorlenko V. M. Genome sequences of green- and brown-colored strains of Chlorobium phaeovibrioides with gas vesicles // Microbiol. Resour. Announc. 2019. V. 8. P. 711–719. https://doi.org/10.1128/MRA.00711-19
- Gurevich A., Saveliev V., Vyahhi N. QUAST: quality assessment tool for genome assemblies // Bioinformatics. 2013. V. 29. P. 1072–1075. https://doi.org/10.1093/bioinformatics/btt086
- Кalyaanamoorthy S., Minh B. Q., Wong T. K.F., von Haeseler A., Jermiin L. S. ModelFinder: fast model selection for accurate phylogenetic estimates // Nature Methods. 2017. V. 14. P. 587–589. https://doi.org/10.1038/nmeth.4285
- Kanehisa M., Sato Y., Morishima K. BlastKOALA and ghostkoala: KEGG tools for functional characterization of genome and metagenome sequences // J. Mol. Biol. 2016. V. 428 P. 726–731. https://doi.org/10.1016/j.jmb.2015.11.006
- Katoh K., Rozewicki J., Yamada K. D. MAFFT online service: multiple sequence alignment, interactive sequence choice and visualization // Brief. Bioinform. 2019. V. 20. P. 1160‒1166. https://doi.org/10.1093/bib/bbx108
- Krasnova E. D., Efimov V. A., Fedyuk M. L., Frolova N. L., Kokryatskaya N. M., Kossenkov A. V., Patsaeva S. V., Vasilenko A. N., Voronov D. A., Strelkov P. P. New data on lake Mogilnoe (Kildin island, Barents Sea): the results of the 2018 expeditions // IOP Conference Series: Earth and Environmental Science. 2019. V. 263. P. 1‒8. https://doi.org/10.1088/1755-1315/263/1/012019
- Krasnova E. D., Matorin D. N., Belevich T. A., Efimova L. E., Kharcheva A., Kokryatskaya N. M., Losyuk G. N., Todorenko D., Voronov D. A., Patsaeva S. The characteristic pattern of multiple colored layers in coastal stratified lakes in the process of separation from the White Sea // J. Ocean Limnol. 2018. V. 36. P. 1962–1977. https://doi.org/10.1007/s00343-018-7323-2
- Laczny C. C., Kiefer C., Galata V., Fehlmann T., Backes Chr., Keller A. BusyBee Web: metagenomic data analysis by bootstrapped supervised binning and annotation // Nucl. Acids Res. 2017. V. 45. P. W171‒W179. https://doi.org/10.1093/nar/gkx348
- Lin H.-H., Liao Y.-C. Accurate binning of metagenomic contigs via automated clustering sequences using information of genomic signatures and marker genes // Sci. Rep. 2016. V. 6. Art. 24175. P. 1‒8. https://doi.org/10.1038/srep24175
- Miraclel M. R., Vicente E., Pedrós-Alió C. Biological studies of spanish meromictic and stratified karstic lakes // Limnetica. 1992. V. 8. P. 59‒77.
- Menzel P., Ng K. L., Krogh A. Fast and sensitive taxonomic classification for metagenomics with Kaiju // Nat. Commun. 2016. V. 13. Art. 11257. P. 1‒9. https://doi.org/10.1038/ncomms11257
- Nguyen L.-T., Schmidt H. A., von Haeseler A., Minh B. Q. IQ-TREE: a fast and effective stochastic algorithm for estimating maximum-likelihood phylogenies // Mol. Biol. Evol. 2015. V. 32. P. 268–274. https://doi.org/10.1093/molbev/msu300
- Nurk S., Meleshko D., Korobeynikov A. Pevzner A. P. metaSPAdes: a new versatile metagenomic assembler // Genome Res. 2017. V. 27. P. 824‒834. https://doi.org/10.1101/gr.213959.116
- Parks D. H., Imelfort M., Skennerton C. T., Hugenholtz Ph., Tyson G. W. CheckM: assessing the quality of microbial genomes recovered from isolates, single cells, and metagenomes // Genome Res. 2015. V. 25. P. 1043–1055. https://doi.org/10.1101/gr.186072.114
- Parks D. H., Rinke Chr., Chuvochina M., Chaumeil P.-A., Woodcroft B. J., Evans P. N. Hugenholtz Ph., Tyson G. W. Recovery of nearly 8000 metagenome-assembled genomes substantially expands the tree of life // Nat. Microbiol. 2017. V. 2 P. 1533–1542. https://doi.org/10.1038/s41564-017-0012-7
- Reinolds E. S. The use of lead citrates of high pH as an electron-opaque stain in electron microscopy // J. Cell Biol. 1963. V. 17. P. 208‒212. https://doi.org/10.1083/jcb.17.1.208
- Ryter A., Kellenberger E., Birch-Andersen A., Maaløe O. Etude au microscope electronique des plasmes contenant de l’acide deoxyribonucleique. 1. Les nucleotides des bacteries en croissance active // Zeitschrift für Naturforschung B. 1958. S. 597‒605. https://doi.org/10.1515/znb-1958-0908
- Schmidtova J., Hallam S. J., Baldwin S. A. Phylogenetic diversity of transition and anoxic zone bacterial communities within a near-shore anoxic basin: Nitinat Lake // Environ. Microbiol. 2009. V. 11. P. 3233–3251. https://doi.org/10.1111/j.1462-2920.2009.02044.x
- Sieber Chr.M.K., Probst A. J., Sharrar A., Thomas B. C., Hess M., Tringe S. G., Banfield J. F. Recovery of genomes from metagenomes via a dereplication, aggregation and scoring strategy // Nat. Microbiol. 2018. V. 3. P. 836–843. https://doi.org/10.1038/s41564-018-0171-1
- Strelkov P., Shunatova N., Fokin M., Usov N., Fedyuk M., Malavenda S. Marine Lake Mogilnoe (Kildin Island, the Barents Sea): one hundred years of solitude // Polar Biology. 2014. V. 37. P. 297–310. https://doi.org/10.1007/s00300-013-1431-4
- Strelkov P., Stogov I., Krasnova E., Movchan E., Polyakova N., Goldin S., Ivanov M., Ivanova T., Malavenda S., Fedyuk M., Shunatova N. Rapid unpredicted changes in the stratification of marine lake Mogilnoe (Kildin island, the Barents Sea) through the early 21st century // Polar Research. 2019. V. 38. Art. 3394. P. 1‒7. https://doi.org/10.33265/polar.v38.3394
- Tatusova T., DiCuccio M., Badretdin A., Chetvernin V., Nawrocki E. P., Zaslavsky L., Lomsadze A., Pruitt K. D., Borodovsky M., Ostell J. NCBI prokaryotic genome annotation pipeline // Nucl. Acids Res. 2016. V. 44. P. 6614–6624. https://doi.org/10.1093/nar/gkw569
- Thiel V., Drautz-Moses D.I., Purbojati R. V., Schuster St.C., Lindemann St., Bryant D. A. Genome Sequence of Prosthecochloris sp. strain HL-130-GSB from the phylum Chlorobi // Genome Announc. 2017. V. 5. Art. e00538–17. https://doi.org/10.1128/genomeA.00538-17
- Van Gemerden H., Mas J. Ecology of phototrophic sulfur bacteria // Anoxygenic photosynthetic bacteria / Eds. Blankenship R. E., Madigan M. T., Bauer C. E. N.Y.: Kluwer Academic, 1995. P. 49–85.
- Wu Y.-W., Simmons B. A., Singer S. W. MaxBin 2.0: an automated binning algorithm to recover genomes from multiple metagenomic datasets // Bioinformatics. 2016. V. 32. P. 605‒607. https://doi.org/10.1093/bioinformatics/btv63
Supplementary files








