Primary and Secondary microRNA Modulation of the Extrinsic Pathway Apoptosis in Hepatocellular Carcinoma
- Authors: Khlebodarova T.M.1,2, Demenkov P.S.1,2, Ivanisenko T.V.1,2, Antropova E.A.1, Lavrik I.N.3, Ivanisenko V.A.1,2
-
Affiliations:
- Institute of Cytology and Genetics, Siberian Branch, Russian Academy of Sciences
- Kurchatov Genomic Center, Institute of Cytology and Genetics, Siberian Branch, Russian Academy of Sciences
- Translational Inflammation Research, Medical Faculty, Otto von Guericke University Magdeburg
- Issue: Vol 57, No 2 (2023)
- Pages: 166-177
- Section: БИОИНФОРМАТИКА И СИСТЕМНАЯ КОМПЬЮТЕРНАЯ БИОЛОГИЯ
- URL: https://journal-vniispk.ru/0026-8984/article/view/138606
- DOI: https://doi.org/10.31857/S0026898423020118
- EDN: https://elibrary.ru/EGEKQP
- ID: 138606
Cite item
Full Text
Abstract
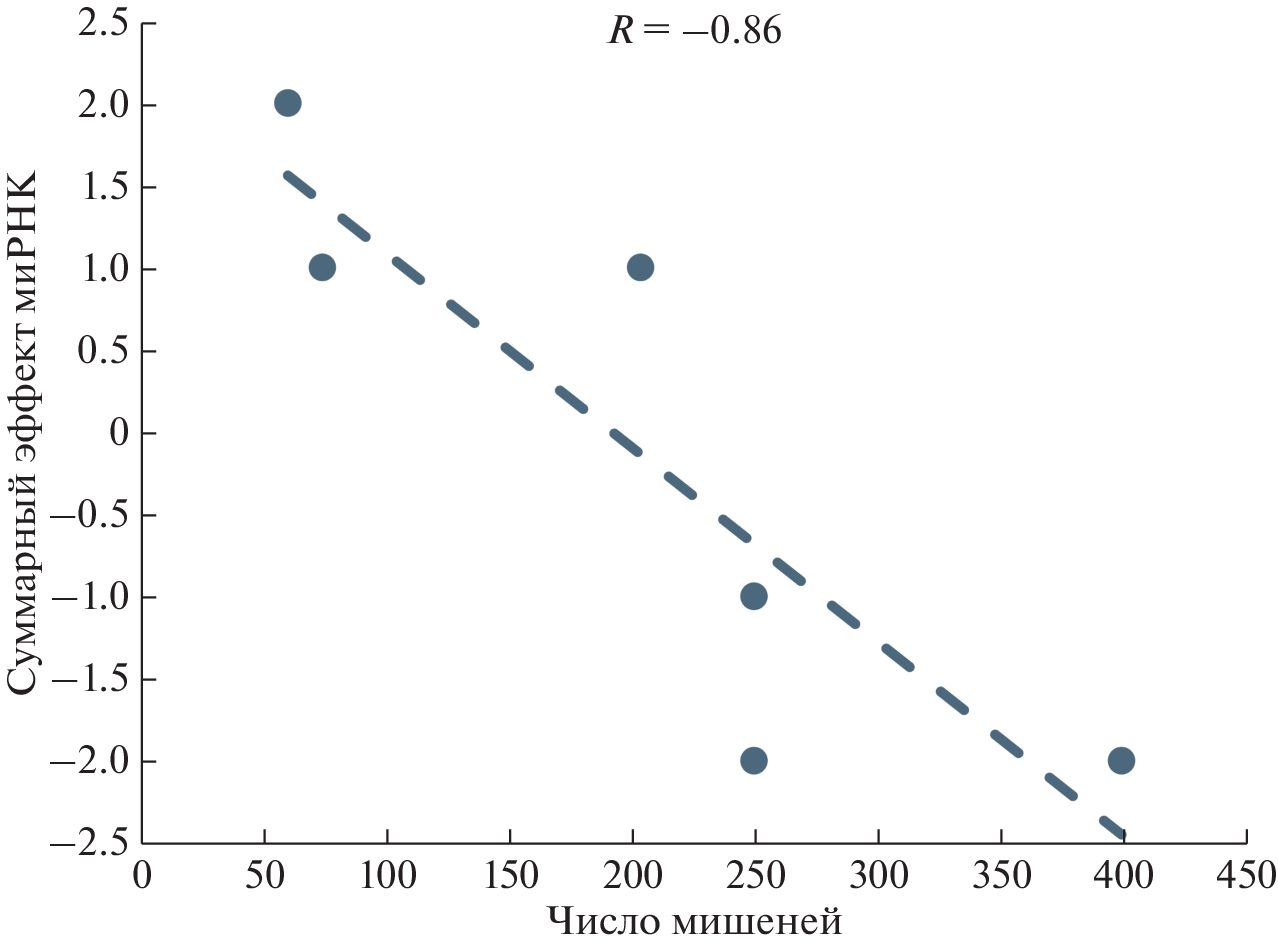
One of the most common malignant liver diseases is hepatocellular carcinoma, which has a high recurrence rate and a low five-year survival rate. It is very heterogeneous both in structure and between patients, which complicates diagnosis, prognosis and response to treatment. In this regard, an individualized, patient-centered approach becomes important, in which the use of mimetics and hsa-miRNA inhibitors involved in the pathogenesis of the disease may be determinative. From this point of view hsa-miRNAs are of interest, their aberrant expression is associated with poor prognosis for patients and is associated with tumor progression due to dysregulation of programmed cell death (apoptosis). However, the effect of hsa-miRNA on tumor development depends not only on its direct effect on expression of genes – primary targets, but also on secondary targets mediated by regulatory pathways. And while the former are actively studied, the role of secondary targets of these hsa-miRNAs in modulating apoptosis is still unclear. The present work summarizes data on hsa-miRNAs whose primary targets are key genes of the extrinsic pathway of apoptosis. Their aberrant expression is associated with early disease relapse and poor patient outcome. For these hsa-miRNAs, using the software package ANDSystem, we reconstructed the regulation of the expression of secondary targets and analyzed their impact on the activity of the extrinsic pathway of apoptosis. The potential effect of hsa-miRNAs mediated by the action on secondary targets is shown to negatively correlate with the number of their primary targets. It is also shown that hsa-miR-373, hsa-miR-106b and hsa-miR-96 have the highest priority as the markers of hepatocellular carcinoma, whose action on the secondary targets enhances their anti-apoptotic effect.
About the authors
T. M. Khlebodarova
Institute of Cytology and Genetics, Siberian Branch, Russian Academy of Sciences; Kurchatov Genomic Center, Institute of Cytology and Genetics, Siberian Branch, Russian Academy of Sciences
Email: salix@bionet.nsc.ru
Russia, 630090, Novosibirsk; Russia, 630090, Novosibirsk
P. S. Demenkov
Institute of Cytology and Genetics, Siberian Branch, Russian Academy of Sciences; Kurchatov Genomic Center, Institute of Cytology and Genetics, Siberian Branch, Russian Academy of Sciences
Email: salix@bionet.nsc.ru
Russia, 630090, Novosibirsk; Russia, 630090, Novosibirsk
T. V. Ivanisenko
Institute of Cytology and Genetics, Siberian Branch, Russian Academy of Sciences; Kurchatov Genomic Center, Institute of Cytology and Genetics, Siberian Branch, Russian Academy of Sciences
Email: salix@bionet.nsc.ru
Russia, 630090, Novosibirsk; Russia, 630090, Novosibirsk
E. A. Antropova
Institute of Cytology and Genetics, Siberian Branch, Russian Academy of Sciences
Email: salix@bionet.nsc.ru
Russia, 630090, Novosibirsk
I. N. Lavrik
Translational Inflammation Research, Medical Faculty, Otto von Guericke University Magdeburg
Email: salix@bionet.nsc.ru
Germany, 39106, Magdeburg
V. A. Ivanisenko
Institute of Cytology and Genetics, Siberian Branch, Russian Academy of Sciences; Kurchatov Genomic Center, Institute of Cytology and Genetics, Siberian Branch, Russian Academy of Sciences
Author for correspondence.
Email: salix@bionet.nsc.ru
Russia, 630090, Novosibirsk; Russia, 630090, Novosibirsk
References
- Fabian M.R., Sonenberg N., Filipowicz W. (2010) Regulation of mRNA translation and stability by microRNAs. Annu. Rev. Biochem. 79, 351–379.
- Vasudevan S. (2012) Posttranscriptional upregulation by microRNAs. Wiley. Interdiscip. Rev. RNA. 3, 311–330.
- Saliminejad K., Khorram Khorshid H.R., Soleymani Fard S., Ghaffari S.H. (2019) An overview of microRNAs: biology, functions, therapeutics, and analysis methods. J. Cell. Physiol. 234, 5451–5465.
- Hill M., Tran N. hsa-miRNA interplay: mechanisms and consequences in cancer. (2021) Dis. Model. Mech. 14, dmm047662.
- Leitão A.L., Enguita F.J. (2022) A structural view of hsa-miRNA biogenesis and function. Noncoding RNA. 8, 10.
- Shivdasani R.A. (2006) MicroRNAs: regulators of gene expression and cell differentiation. Blood. 108, 3646–3653.
- Gracias D.T., Katsikis P.D. (2011) MicroRNAs: key components of immune regulation. Adv. Exp. Med. Biol. 780, 15–26.
- Mens M.M.J., Ghanbari M. (2018). Cell cycle regulation of stem cells by microRNAs. Stem. Cell. Rev. Rep. 14, 309–322.
- Huang H.Y., Lin YC., Cui S., Huang Y., Tang Y., Xu J., Bao J., Li Y., Wen J., Zuo H., Wang W., Li J., Ni J., Ruan Y., Li L., Chen Y., Xie Y., Zhu Z., Cai X., Chen X., Yao L., Chen Y., Luo Y., LuXu S., Luo M., Chiu C.M., Ma K., Zhu L., Cheng G.J., Bai C., Chiang Y.C., Wang L., Wei F., Lee T.Y., Huang H.D. (2022) hsa-miRTarBase update 2022: an informative resource for experimentally validated hsa-miRNA-target interactions. Nucl. Acids Res. 50, D222–D230.
- Nazari-Jahantigh M., Egea V., Schober A., Weber C. (2015) MicroRNA-specific regulatory mechanisms in atherosclerosis. J. Mol. Cell. Cardiol. 89, 35–41.
- Aghabozorgi A.S., Ahangari N., Eftekhaari T.E., Torbati P.N., Bahiraee A., Ebrahimi R., Pasdar A. (2019) Circulating exosomal hsa-miRNAs in cardiovascular disease pathogenesis: New emerging hopes. J. Cell. Physiol. 234, 21796–21809.
- He X., Kuang G., Wu Y., Ou C. (2021) Emerging roles of exosomal hsa-miRNAs in diabetes mellitus. Clin. Transl. Med. 11, e468.
- Weidner J., Bartel S., Kılıç A., Zissler U.M., Renz H., Schwarze J., Schmidt-Weber C.B., Maes T., Rebane A., Krauss-Etschmann S., Rådinger M. (2021) Spotlight on microRNAs in allergy and asthma. Allergy. 76, 1661–1678.
- Zhang L., Zhang J., Qin Z., Liu N., Zhang Z., Lu Y., Xu Y., Zhang J., Tang J. (2022) Diagnostic and predictive values of circulating extracellular vesicle-carried microRNAs in ischemic heart disease patients with type 2 diabetes mellitus. Front. Cardiovasc. Med. 9, 813310.
- Xie Y., Dang W., Zhang S., Yue W., Yang L., Zhai X., Yan Q., Lu J. (2019) The role of exosomal noncoding RNAs in cancer. Mol. Cancer. 18, 37.
- Ali Syeda Z., Langden S.S.S., Munkhzul C., Lee M., Song S.J. (2020) Regulatory mechanism of microRNA expression in cancer. Int. J. Mol. Sci. 21, 1723.
- Humphries B., Wang Z., Yang C. (2021) MicroRNA regulation of breast cancer stemness. Int. J. Mol. Sci. 22, 3756.
- Bray F., Ferlay J., Soerjomataram I., Siegel R.L., Torre LA., Jemal A. (2018) Global cancer statistics 2018: GLOBOCAN estimates of incidence and mortality worldwide for 36 cancers in 185 countries. CA Cancer J. Clin. 68, 394–424.
- Tsoulfas G. (2014) Role of microRNA in the diagnosis and therapy of hepatocellular carcinoma: a new frontier. Microrna. 3, 137–143.
- Morishita A., Masaki T. hsa-miRNA in hepatocellular carcinoma. (2015) Hepatol. Res. 45, 128–141.
- Morishita A., Oura K., Tadokoro T., Fujita K., Tani J., Masaki T. (2021) MicroRNAs in the pathogenesis of hepatocellular carcinoma: a review. Cancers (Basel). 13, 514.
- Oura K., Morishita A., Masaki T. (2020) Molecular and functional roles of microRNAs in the progression of hepatocellular carcinoma – a review. Int. J. Mol. Sci. 21, 8362.
- Ivanisenko N.V., Seyrek K., Hillert-Richter L.K., König C., Espe J., Bose K., Lavrik I.N. (2022) Regulation of extrinsic apoptotic signaling by c-FLIP: towards targeting cancer networks. Trends Cancer. 8, 190–209.
- Schleich K., Buchbinder J.H., Pietkiewicz S., Kähne T., Warnken U., Öztürk S., Schnölzer M., Naumann M., Krammer P.H., Lavrik I.N. (2016) Molecular architecture of the DED chains at the DISC: regulation of procaspase-8 activation by short DED proteins c-FLIP and procaspase-8 prodomain. Cell. Death. Differ. 23, 681–694.
- Иванисенко Н.В., Лаврик И.Н. (2019) Механизмы активации прокаспазы-8 при инициации внешнего пути программируемой клеточной гибели. Молекуляр. биология. 53, 830–837.
- Seyrek K., Ivanisenko N.V., Richter M., Hillert L.K., König C., Lavrik I.N. (2020) Controlling cell death through post-translational modifications of DED proteins. Trends Cell Biol. 30, 354–369.
- Demenkov P.S., Ivanisenko T.V., Kolchanov N.A., Ivanisenko V.A. (2012) ANDVisio: a new tool for graphic visualization and analysis of literature mined associative gene networks in the ANDSystem. In Silico Biol. 11, 149–161.
- Ivanisenko T.V., Saik O.V., Demenkov P.S., Ivanisenko N.V., Savostianov A.N., Ivanisenko V.A. (2020) ANDDigest: a new web-based module of ANDSystem for the search of knowledge in the scientific literature. BMC Bioinformatics. 21, 228.
- Ivanisenko V.A., Saik O.V., Ivanisenko N.V., Tiys E.S., Ivanisenko T.V., Demenkov P.S., Kolchanov N.A. (2015) ANDSystem: an Associative Network Discovery System for automated literature mining in the field of biology. BMC Syst. Biol. 9, S2.
- Ivanisenko V.A., Demenkov P.S., Ivanisenko T.V., Mishchenko E.L., Saik O.V. (2019) A new version of the ANDSystem tool for automatic extraction of knowledge from scientific publications with expanded functionality for reconstruction of associative gene networks by considering tissue-specific gene expression. BMC Bioinformatics. 20, 34.
- Glotov A.S., Tiys E.S., Vashukova E.S., Pakin V.S., Demenkov P.S., Saik O.V., Ivanisenko T.V., Arzhanova O.N., Mozgovaya E.V., Zainulina M.S., Kolchanov N.A., Baranov V.S., Ivanisenko V.A. (2015) Molecular association of pathogenetic contributors to pre-eclampsia (pre-eclampsia associome). BMC Syst. Biol. 9, S4.
- Bragina E.Yu., Tiys E.S., Rudko A.A., Ivanisenko V.A., Freidin M.B. (2016) Novel tuberculosis susceptibility candidate genes revealed by the reconstruction and analysis of associative networks. Infection, Genet. Evol. 46, 118–123.
- Saik O.V., Ivanisenko T.V., Demenkov P.S., Ivanisenko V.A. (2016) Interactome of the hepatitis C virus: literature mining with ANDSystem. Virus Res. 218, 40–48.
- Saik O.V., Demenkov P.S., Ivanisenko T.V., Bragina E.Y., Freidin M.B., Goncharova I.A., Dosenko V.E., Zolotareva O.I., Hofestaedt R., Lavrik I.N., Rogaev E.I., Ivanisenko V.A. (2018) Novel candidate genes important for asthma and hypertension comorbidity revealed from associative gene networks. BMC Med. Genomics. 11, 15.
- Ivanisenko N.V., Seyrek K., Kolchanov N.A., Ivanisenko V.A., Lavrik, I.N. (2020) The role of death domain proteins in host response upon SARS-CoV-2 infection: modulation of programmed cell death and translational applications. Cell. Death. Discov. 6, 101.
- Kozomara A., Birgaoanu M., Griffiths-Jones S. (2019) hsa-miRBase: from microRNA sequences to function. Nucl. Acids Res. 47, D155–D162.
- Boutet E., Lieberherr D., Tognolli M., Schneider M., Bairoch A. (2007) UniProtKB/Swiss-Prot. Methods Mol. Biol. 406, 89–112.
- Kantari C., Walczak H. (2011) Caspase-8 and bid: caught in the act between death receptors and mitochondria. Biochim. Biophys. Acta. 1813, 558–563.
- Schug Z.T., Gonzalvez F., Houtkooper R.H., Vaz FM., Gottlieb E. (2011) BID is cleaved by caspase-8 within a native complex on the mitochondrial membrane. Cell. Death. Differ. 18, 538–548.
- Huang K., Zhang J., O’Neill K.L., Gurumurthy C.B., Quadros R.M., Tu Y., Luo X. (2016) Cleavage by caspase 8 and mitochondrial membrane association activate the BH3-only protein Bid during TRAIL-induced apoptosis. J. Biol. Chem. 291, 11843–11851.
- Xu C., Shi L., Chen W., Fang P., Li J., Jin L., Pan Z., Pan C. (2017) hsa-miR-106b inhibitors sensitize TRAIL-induced apoptosis in hepatocellular carcinoma through increase of death receptor 4. Oncotarget. 8, 41921–41931.
- Chen S., Yang C., Sun C., Sun Y., Yang Z., Cheng S., Zhuge B. (2019) hsa-miR-21-5p suppressed the sensitivity of hepatocellular carcinoma cells to cisplatin by targeting FASLG. DNA Cell. Biol. 38, 865–873.
- Jin X., Cai L., Wang C., Deng X., Yi S., Lei Z., Xiao Q., Xu H., Luo H., Sun J. (2018) CASC2/miR-24/miR-221 modulates the TRAIL resistance of hepatocellular carcinoma cell through caspase-8/caspase-3. Cell. Death. Dis. 9, 318.
- Visalli M., Bartolotta M., Polito F., Oteri R., Barbera A., Arrigo R., Di Giorgio R.M., Navarra G., Aguennouz M. (2018) hsa-miRNA expression profiling regulates necroptotic cell death in hepatocellular carcinoma. Int. J. Oncol. 53, 771–780.
- Luo C., Pu J., Liu F., Long X., Wang C., Wei H., Tang Q. (2019) MicroRNA-200c expression is decreased in hepatocellular carcinoma and associated with poor prognosis. Clin. Res. Hepatol. Gastroenterol. 43, 715–721.
- Schickel R., Park S.M., Murmann A.E., Peter M.E. (2010) hsa-miR-200c regulates induction of apoptosis through CD95 by targeting FAP-1. Mol. Cell. 38, 908–915.
- Lee S.H., Shin M.S., Lee J.Y., Park W.S., Kim S.Y., Jang J.J., Dong S.M., Na E.Y., Kim C.S., Kim S.H., Yoo N.J. (1999) In vivo expression of soluble Fas and FAP-1: possible mechanisms of Fas resistance in human hepatoblastomas. J. Pathol. 188, 207–212.
- Nicolini V., Cassinelli G., Cuccuru G., Bongarzone I., Petrangolini G., Tortoreto M., Mondellini P., Casalini P., Favini E., Zaffaroni N., Zunino F., Lanzi C. (2011) Interplay between Ret and Fap-1 regulates CD95-mediated apoptosis in medullary thyroid cancer cells. Biochem. Pharmacol. 82, 778–788.
- Barnaba V., Macino G. (2010) An emerging player in the adaptive immune response: microRNA-146a is a modulator of IL-2 expression and activation-induced cell death in T lymphocytes. Blood. 115, 265–273.
- Rong M., He R., Dang Y., Chen G. (2014) Expression and clinicopathological significance of hsa-miR-146a in hepatocellular carcinoma tissues. Ups. J. Med. Sci. 119, 19–24.
- Hillert L.K., Ivanisenko N.V., Espe J., König C., Ivanisenko V.A., Kähne T., Lavrik I.N. (2020) Long and short isoforms of c-FLIP act as control checkpoints of DED filament assembly. Oncogene. 39, 1756–1772.
- Krueger A., Schmitz I., Baumann S., Krammer PH., Kirchhoff S. (2001) Cellular FLICE-inhibitory protein splice variants inhibit different steps of caspase-8 activation at the CD95 death-inducing signaling complex. J. Biol. Chem. 276, 20633–20640.
- Okano H., Shiraki K., Inoue H., Kawakita T., Yamanaka T., Deguchi M., Sugimoto K., Sakai T., Ohmori S., Fujikawa K., Murata K., Nakano T. (2003) Cellular FLICE/caspase-8-inhibitory protein as a principal regulator of cell death and survival in human hepatocellular carcinoma. Lab. Invest. 83, 1033–1043.
- Dickens L.S., Boyd R.S., Jukes-Jones R., Hughes M.A., Robinson G.L., Fairall L., Schwabe J.W., Cain K., Macfarlane M. (2012) A death effector domain chain DISC model reveals a crucial role for caspase-8 chain assembly in mediating apoptotic cell death. Mol. Cell. 47, 291–305.
- Schleich K., Krammer P.H., Lavrik I.N. (2013) The chains of death: a new view on caspase-8 activation at the DISC. Cell Cycle. 12, 193–194.
- Bagnoli M., Canevari S., Mezzanzanica D. (2010) Cellular FLICE-inhibitory protein (c-FLIP) signalling: a key regulator of receptor-mediated apoptosis in physiologic context and in cancer. Int. J. Biochem. Cell. Biol. 42, 210–213.
- Baratchian M., Davis CA., Shimizu A., Escors D., Bagnéris C., Barrett T., Collins M.K. (2016) Distinct activation mechanisms of NF-κB regulator inhibitor of NF-κB kinase (IKK) by isoforms of the cell death regulator cellular FLICE-like inhibitory protein (cFLIP). J. Biol. Chem. 291, 7608–7620.
- Ivanisenko N.V., Buchbinder J.H., Espe J., Richter M., Bollmann M., Hillert L.K., Ivanisenko V.A., Lavrik I.N. (2019) Delineating the role of c-FLIP/NEMO interaction in the CD95 network via rational design of molecular probes. BMC Genomics. 20, 293.
- Zhao L., Zhang Y. (2015) hsa-miR-342-3p affects hepatocellular carcinoma cell proliferation via regulating NF-κB pathway. Biochem. Biophys. Res. Commun. 457, 370–377.
- Deng L., Wang C., He C., Chen L. (2021) Bone mesenchymal stem cells derived extracellular vesicles promote TRAIL-related apoptosis of hepatocellular carcinoma cells via the delivery of microRNA-20a-3p. Cancer. Biomark. 30, 223–235.
- Chen F., Zhu H.H., Zhou L.F., Wu S.S., Wang J., Chen Z. (2010) Inhibition of c-FLIP expression by hsa-miR-512-3p contributes to taxol-induced apoptosis in hepatocellular carcinoma cells. Oncol. Rep. 23, 1457–1462.
- Chen Z., Zheng Z., Feng L., Huo Z., Huang L., Fu M., Chen Q., Ke Y., Yang J., Hou B. 2020. Overexpression of hsa-miR-382 sensitizes hepatocellular carcinoma cells to γδ T cells by inhibiting the expression of c-FLIP. Mol. Ther. Oncolytics. 18, 467–475.
- Iwai N., Yasui K., Tomie A., Gen Y., Terasaki K., Kitaichi T., Soda T., Yamada N., Dohi O., Seko Y., Umemura A., Nishikawa T., Yamaguchi K., Moriguchi M., Konishi H., Naito Y., Itoh Y. (2018) Oncogenic hsa-miR-96-5p inhibits apoptosis by targeting the caspase-9 gene in hepatocellular carcinoma. Int. J. Oncol. 53, 237–245.
- Chen L., Luo L., Chen W., Xu HX., Chen F., Chen L.Z., Zeng W.T., Chen J.S., Huang X.H. (2016) MicroRNA-24 increases hepatocellular carcinoma cell metastasis and invasion by targeting p53: hsa-miR-24 targeted p53. Biomed. Pharmacother. 84, 1113–1118.
- Zhu Q., Wang Z., Hu Y., Li J., Li X., Zhou L., Huang Y. (2012) hsa-miR-21 promotes migration and invasion by the hsa-miR-21-PDCD4-AP-1 feedback loop in human hepatocellular carcinoma. Oncol. Rep. 27, 1660–1668.
- Meng F., Henson R., Wehbe-Janek H., Ghoshal K., Jacob S.T., Patel T. (2007) MicroRNA-21 regulates expression of the PTEN tumor suppressor gene in human hepatocellular cancer. Gastroenterology. 133, 647–658.
- Xia C., Zeng H., Zheng Y. (2020) Low‑intensity ultrasound enhances the antitumor effects of doxorubicin on hepatocellular carcinoma cells through the ROS‑miR‑21‑PTEN axis. Mol. Med. Rep. 21, 989–998.
- He C., Dong X., Zhai B., Jiang X., Dong D., Li B., Jiang H., Xu S., Sun X. (2015) hsa-miR-21 mediates sorafenib resistance of hepatocellular carcinoma cells by inhibiting autophagy via the PTEN/AKT pathway. Oncotarget. 6, 28867–28881.
- Dituri F., Mazzocca A., Lupo L., Edling C.E., Azzariti A., Antonaci S., Falasca M., Giannelli G. (2012) PI3K class IB controls the cell cycle checkpoint promoting cell proliferation in hepatocellular carcinoma. Int. J. Cancer. 130, 2505–2513.
- Kunter I., Erdal E., Nart D., Yilmaz F., KarademiR S., Sagol O., Atabey N. (2014) Active form of AKT controls cell proliferation and response to apoptosis in hepatocellular carcinoma. Oncol. Rep. 31, 573–580.
- Lerner M., Haneklaus M., Harada M., Grandér D. (2012) hsa-miR-200c regulates Noxa expression and sensitivity to proteasomal inhibitors. PLoS One. 7, e36490.
- Cao J., Sun L., An J., Zhang H., He X., Shen H. (2020) [MicroRNA-200c-3p inhibits proliferation of nephroblastoma cells by targeting CCNE2]. Nan. Fang. Yi. Ke. Da. Xue. Xue. Bao. 40, 1246–1252.
- Zhao L., Liu X., Yang J., Wang X., Liu X., Wu J., Li C., Xu D., Hu Y. (2022) hsa-miR-200c-3p inhibits LPS-induced M1 polarization of BV2 cells by targeting RIP2. Genes. Genomics. 44, 477–486.
- McCarthy J.V., Ni J., Dixit V.M. (1998) RIP2 is a novel NF-kappaB-activating and cell death-inducing kinase. J. Biol. Chem. 273, 16968–16975.
- Geng Y., Michowski W., Chick J.M., Wang Y.E., Jecrois M.E., Sweeney K.E., Liu L., Han R.C., Ke N., Zagozdzon A., Sicinska E., Bronson R.T., Gygi S.P., Sicinski P. (2018) Kinase-independent function of E-type cyclins in liver cancer. Proc. Natl. Acad. Sci. USA. 115, 1015–1020.
- Hofmann S.R., Girschick L., Stein R., Schulze F. (2021) Immune modulating effects of receptor interacting protein 2 (RIP2) in autoinflammation and immunity. Clin. Immunol. 223, 108648.
- Zhou Y., Hu L., Tang W., Li D., Ma L., Liu H., Zhang S., Zhang X., Dong L., Shen X., Chen S., Xue R., Zhang S. (2021) Hepatic NOD2 promotes hepatocarcinogenesis via a RIP2-mediated proinflammatory response and a novel nuclear autophagy-mediated DNA damage mechanism. J. Hematol. Oncol. 14, 9.
- Huang Q., GumiReddy K., Schrier M., le Sage C., Nagel R., Nair S., Egan D.A., Li A., Huang G., Klein-Szanto A.J., Gimotty P.A., Katsaros D., Coukos G., Zhang L., Puré E., Agami R. (2008) The microRNAs hsa-miR-373 and hsa-miR-520c promote tumour invasion and metastasis. Nat. Cell. Biol. 10, 202–210.
- Li H., Wang N., Xu Y., Chang X., Ke J., Yin J. (2022) Upregulating microRNA-373-3p promotes apoptosis and inhibits metastasis of hepatocellular carcinoma cells. Bioengineered. 13, 1304–1319.
- Wei F., Cao C., Xu X., Wang J. (2015) Diverse functions of hsa-miR-373 in cancer. J. Transl. Med. 13, 162.
- Nakano K., Saito K., Mine S., Matsushita S., Tanaka Y. (2007) Engagement of CD44 up-regulates Fas ligand expression on T cells leading to activation-induced cell death. Apoptosis. 12, 45–54.
- Motz G.T., Santoro. SP., Wang L.P., Garrabrant T., Lastra R.R., Hagemann I.S., Lal P., Feldman M.D., Benencia F., Coukos G. (2014) Tumor endothelium FasL establishes a selective immune barrier promoting tolerance in tumors. Nat. Med. 20, 607–615.
- Snaebjornsson M.T., Schulze A. (2018) Non-canonical functions of enzymes facilitate cross-talk between cell metabolic and regulatory pathways. Exp. Mol. Med. 50, 1–16.
Supplementary files






