Влияние производного усниновой кислоты (ингибитора тирозил-ДНК-фосфодиэстеразы 1) на трансплантированные опухоли in vivo в качестве монотерапии и в сочетании с олапарибом
- Авторы: Корниенко Т.Е.1, Салахутдинов .Ф.2,3, Лузина О.А.2, Филимонов А.С.2, Николин В.П.4, Попова Н.А.4,3, Дырхеева Н.С.1, Захарова О.Д.1, Чепанова А.А.1, Ильина Е.С.1,3, Захаренко А.Л.1, Лаврик О.И.2,3
-
Учреждения:
- Институт химической биологии и фундаментальной медицины Сибирского отделения Российской академии наук
- Новосибирский институт органической химии им. Н.Н. Ворожцова Сибирского отделения Российской академии наук
- Новосибирский национальный исследовательский государственный университет
- Институт цитологии и генетики Сибирского отделения Российской академии наук
- Выпуск: Том 57, № 2 (2023)
- Страницы: 220-231
- Раздел: СИСТЕМНАЯ ФАРМАКОЛОГИЯ И СОЗДАНИЕ НОВЫХ МЕДИЦИНСКИХ ТЕХНОЛОГИЙ
- URL: https://journal-vniispk.ru/0026-8984/article/view/138632
- DOI: https://doi.org/10.31857/S0026898423020143
- EDN: https://elibrary.ru/EFXISX
- ID: 138632
Цитировать
Полный текст
Аннотация
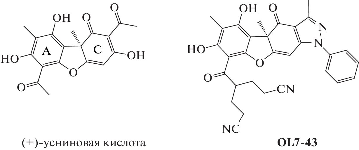
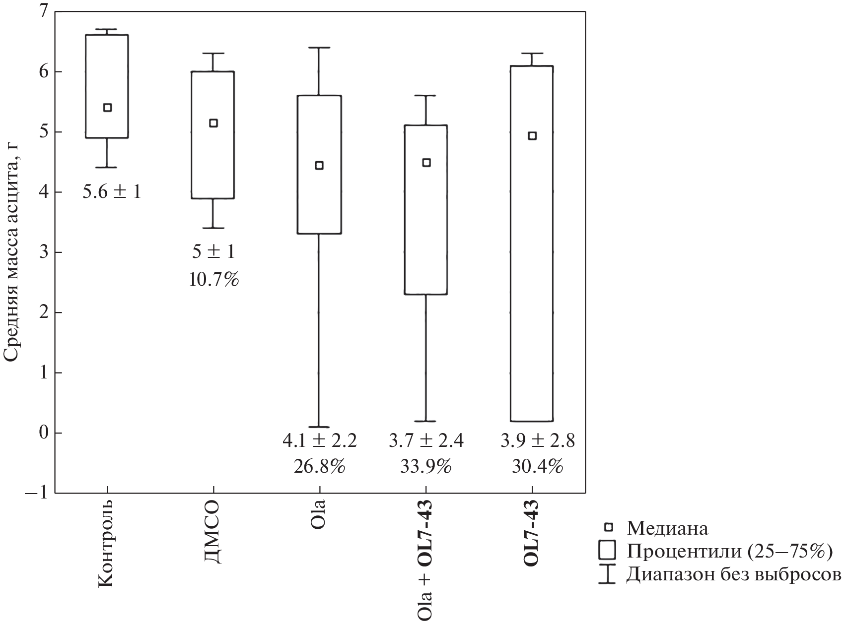
Тирозил-ДНК-фосфодиэстераза 1 (Tdp1) удаляет различные аддукты с 3'-конца ДНК, которые образуются под действием ферментов (например, топоизомеразы 1), вносящих в процессе катализа одноцепочечные разрывы в ДНК, а также ряда противоопухолевых препаратов с различным механизмом действия. Поли(ADP-рибоза)полимераза 1 (PARP1) катализирует посттрансляционную модификацию различных мишеней (PARилирование) и с помощью этих модификаций управляет множеством процессов в клетке, включая репарацию ДНК. Мишенью PARP1 является в том числе Tdp1, PARилирование которой привлекает Tdp1 к месту повреждения. PARилированию и тем самым репарации ДНК препятствует олапариб – ингибитор PARP1, используемый в терапии опухолей с дефицитом гомологичной рекомбинации. В настоящей работе нами изучена возможность повышения противоопухолевого эффекта олапариба при использовании его в комбинации с ингибитором Tdp1 OL7-43. Обнаружено повышение цитотоксичности олапариба в присутствии OL7-43 in vitro, при этом не выявлен сенсибилизирующий эффект OL7-43 в моделях карциномы Льюис и карциномы Кребс-2, но показан собственный противоопухолевый и антиметастатический эффект OL7-43.
Ключевые слова
Об авторах
Т. Е. Корниенко
Институт химической биологии и фундаментальной медицины Сибирского отделения Российской академии наук
Email: lavrik@niboch.nsc.ru
Россия, 630090, Новосибирск
Н. Ф. Салахутдинов
Новосибирский институт органической химии им. Н.Н. Ворожцова Сибирского отделения Российской академии наук; Новосибирский национальный исследовательский государственный университет
Email: lavrik@niboch.nsc.ru
Россия, 630090, Новосибирск; Россия, 630090, Новосибирск
О. А. Лузина
Новосибирский институт органической химии им. Н.Н. Ворожцова Сибирского отделения Российской академии наук
Email: lavrik@niboch.nsc.ru
Россия, 630090, Новосибирск
А. С. Филимонов
Новосибирский институт органической химии им. Н.Н. Ворожцова Сибирского отделения Российской академии наук
Email: lavrik@niboch.nsc.ru
Россия, 630090, Новосибирск
В. П. Николин
Институт цитологии и генетики Сибирского отделения Российской академии наук
Email: lavrik@niboch.nsc.ru
Россия, 630090, Новосибирск
Н. А. Попова
Институт цитологии и генетики Сибирского отделения Российской академии наук; Новосибирский национальный исследовательский государственный университет
Email: lavrik@niboch.nsc.ru
Россия, 630090, Новосибирск; Россия, 630090, Новосибирск
Н. С. Дырхеева
Институт химической биологии и фундаментальной медицины Сибирского отделения Российской академии наук
Email: lavrik@niboch.nsc.ru
Россия, 630090, Новосибирск
О. Д. Захарова
Институт химической биологии и фундаментальной медицины Сибирского отделения Российской академии наук
Email: lavrik@niboch.nsc.ru
Россия, 630090, Новосибирск
А. А. Чепанова
Институт химической биологии и фундаментальной медицины Сибирского отделения Российской академии наук
Email: lavrik@niboch.nsc.ru
Россия, 630090, Новосибирск
Е. С. Ильина
Институт химической биологии и фундаментальной медицины Сибирского отделения Российской академии наук; Новосибирский национальный исследовательский государственный университет
Email: lavrik@niboch.nsc.ru
Россия, 630090, Новосибирск; Россия, 630090, Новосибирск
А. Л. Захаренко
Институт химической биологии и фундаментальной медицины Сибирского отделения Российской академии наук
Email: lavrik@niboch.nsc.ru
Россия, 630090, Новосибирск
О. И. Лаврик
Новосибирский институт органической химии им. Н.Н. Ворожцова Сибирского отделения Российской академии наук; Новосибирский национальный исследовательский государственный университет
Автор, ответственный за переписку.
Email: lavrik@niboch.nsc.ru
Россия, 630090, Новосибирск; Россия, 630090, Новосибирск
Список литературы
- Безбородова О.А., Немцова Е.Р., Кармакова Т.А., Венедиктова Ю.Б., Панкратов А.А, Алексеенко И.В., Плешкан В.В., Зиновьева М.В., Монастырская Г.С., Свердлов Е.Д., Каприн А.А. (2019) Современные тенденции развития противоопухолевой генной и клеточной терапии. Материалы Первого Международного Форума онкологии и радиологии, 23–27 сентября 2019 г. Москва, 65–66.
- Curtin N.J., Szabo C. (2020) Poly (ADP-ribose) polymerase inhibition: past, present and future. Nat. Rev. Drug Discov. 19, 711–736.
- Zakharenko A., Dyrkheeva N., Lavrik O. (2019) Dual DNA topoisomerase 1 and tyrosyl-DNA phosphodiesterase 1 inhibition for improved anticancer activity. Med. Res. Rev. 39, 1427–1441.
- Alagoz M., Gilbert D.C., El-Khamisy S., Chalmers A.J. (2012) DNA repair and resistance to topoisomerase I inhibitors: mechanisms, biomarkers and therapeutic targets. Curr. Med. Chem. 19, 3874–3885.
- Pommier Y., Huang S.N., Gao R., Das B.B., Murai J., Marchand C. (2014) Tyrosyl-DNA-phosphodiesterases (tdp1 and tdp2). DNA Repair. 19, 114–129.
- Comeaux E.Q., van Waardenburg R.C. (2014) Tyrosyl-DNA phosphodiesterase I resolves both naturally and chemically induced DNA adducts and its potential as a therapeutic target. Drug Metabolism Rev. 46, 494–507.
- Virág L., Szabó C. (2002) The therapeutic potential of poly (ADP-ribose) polymerase inhibitors. Pharmacol. Rev. 54, 375–429.
- Groslambert J., Prokhorova E., Ahel I. (2021) ADP-ribosylation of DNA RNA. DNA Repair. 105, 103144.
- Lord C.J., Tutt A.N.J., Ashworth A. (2015) Synthetic lethality and cancer therapy: lessons learned from the development of PARP inhibitors. Annu. Rev. Med. 66, 455–470.
- Das B.B., Huang S.N., Murai J., Rehman I., Amé J.-C., Sengupta S., Das S.K., Majumdar P., Zhang H., Biard D., Majumder H.K., Schreiber V., Pommier Y. (2014) PARP1–TDP1 coupling for the repair of topoisomerase I-induced DNA damage. Nucl. Acids Res. 42, 4435–4449.
- Lebedeva N.A., Anarbaev R.O., Sukhanova M., Vasil’eva I.A., Rechkunova N.I., Lavrik O.I. (2015) Poly(ADP-ribose) polymerase 1 stimulates the AP-site cleavage activity of tyrosyl-DNA phosphodiesterase 1. Biosci. Rep. 35–44.
- Lopez-Mosqueda J., Hurley K., Simonson Q., Kloet M.S., Liu Q., Filippov D.V., van der Heden van Noort G.J. (2022) Poly-ADP-ribosylation modifies DNA-protein crosslinks to signal for SPRTN-dependent degradation. Int. Conference the PARP Family & ADP-ribosylation, Cold Spring Harbor Lab., USA. Abstract book. P. 42.
- Sun Y., Chen J., Huang S.N., Su Y.P., Wang W., Agama K., Saha S., Jenkins L.M., Pascal J.M., Pommier Y. (2021) PARylation prevents the proteasomal degradation of topoisomerase I DNA-protein crosslinks and induces their deubiquitylation. Nat. Commun. 12, 1–16.
- Захаренко А.Л., Лузина О.А., Соколов Д.Н., Захарова О.Д., Рахманова М.Е., Чепанова А.А., Дырхеева Н.С., Лаврик О.И., Салахутдинов Н.Ф. (2017) Производные усниновой кислоты как эффективные ингибиторы тирозил-ДНК-фосфодиэстеразы 1. Биоорган. химия. 43, 97–104.
- Лузина О.А., Салахутдинов Н.Ф. (2016) Биологическая активность усниновой кислоты и ее производных. Часть 2. Действие усниновой кислоты и ее производных на высшие организмы, молекулярные и физико-химические аспекты биологической активности (обзорная статья). Биоорган. химия. 42, 276–276.
- Zakharenko A.L. Zakharenko A.L., Luzina O.A., Sokolov D.N., Kaledin V.I., Nikolin V.P., Popova N.A., Patel J., Zakharova O.D., Chepanova A.A., Zafar A., Reynisson J., Leung E., Leung I.K.H., Volcho K.P., Salakhutdinov N.F., Lavrik O.I. (2019) Novel tyrosyl-DNA phosphodiesterase 1 inhibitors enhance the therapeutic impact of topotecan on in vivo tumor models. Eur. J. Med. Chem. 161, 581–593.
- Nikolin V.P., Popova N.A., Kaledin V.I., Luzina O.A., Zakharenko A.L., Salakhutdinov N.F., Lavrik O.I. (2021) The influence of an enamine usnic acid derivative (a tyrosyl-DNA phosphodiesterase 1 inhibitor) on the therapeutic effect of topotecan against transplanted tumors in vivo. Clin. Exp. Metastasis. 38, 431–440.
- Колдышева Е.В., Меньщикова А.П., Лушникова Е.Л., Попова Н А., Каледин В.И., Николин В.П., Захаренко А.Л., Лузина О.А., Салахутдинов Н.Ф., Лаврик О.И. (2018) Антиметастатическая активность комбинации топотекана и ингибитора тирозил-ДНК-фосфодиэстеразы 1 на модели карциномы легкого Льюис. Бюлл. Эксп. биологии медицины. 166, 609–615.
- Дырхеева Н.С., Захаренко А.Л., Новоселова Е.С., Чепанова А.А., Николин В.П., Лузина О.А., Салахутдинов Н.Ф., Рябчикова Е.И., Лаврик О.И. (2021) Противоопухолевая активность комбинации топотекана и ингибитора тирозил-ДНК-фосфодиэстеразы 1 на модели асцитной карциномы Кребс-2 мыши. Молекуляр. биология. 55, 312–317.
- Моисеев С.В. (2012) Анемия при онкологических заболеваниях. Онкол. Журн. им. П.А. Герцена. 1, 77–82.
- Плотникова Н.А., Пятаев Н.А., Канаев П.М., Кокорев А.В., Кемайкин С.П., Харитонов С.В., Громова С.В. (2014) Особенности морфологии карциномы легкого Льюис на фоне коррекции опухолевого роста мелатонином и 3-гидроксипиридином. Фунд. исслед. 10, 549–552.
Дополнительные файлы











