DNA Sequence-Specific Ligands. XIX. Synthesis, Spectral Properties, Virological and Biochemical Studies of Fluorescent Dimeric Trisbenzimidazoles DB3(n)
- Authors: Arutyunyan A.F.1, Kostyukov A.A.2, Korolev S.P.3,4, Gottikh M.B.3,4, Susova .Y.5, Kaluzhny D.N.1, Zhuze A.L.1
-
Affiliations:
- Engelhardt Institute of Molecular Biology, Russian Academy of Sciences
- Emanuel Institute of Biochemical Physics, Russian Academy of Science
- Department of Chemistry, Lomonosov Moscow State University
- Belozersky Institute of Physicochemical Biology, Lomonosov Moscow State University
- Research Institute of Carcinogenesis, Blokhin National Medical Research Center of Oncology
- Issue: Vol 57, No 3 (2023)
- Pages: 517-527
- Section: СТРУКТУРНО-ФУНКЦИОНАЛЬНЫЙ АНАЛИЗ БИОПОЛИМЕРОВ И ИХ КОМПЛЕКСОВ
- URL: https://journal-vniispk.ru/0026-8984/article/view/138638
- DOI: https://doi.org/10.31857/S0026898423030023
- EDN: https://elibrary.ru/CGXJLT
- ID: 138638
Cite item
Full Text
Abstract
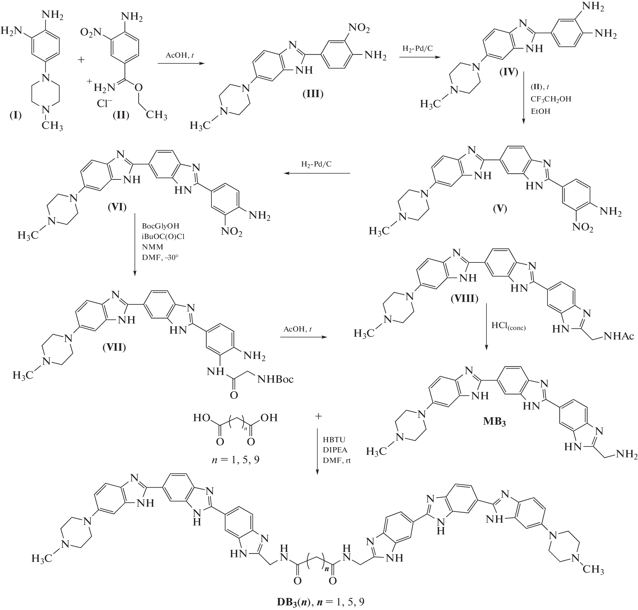
In this work, we synthesized and characterized the properties of a series of new fluorescent narrow-groove ligands DB3(n). DB3(n) compounds based on dimeric trisbenzimidazoles have the ability to bind to the AT regions of DNA. The synthesis of DB3(n), trisbenzimidazole fragments of which are linked by oligomethylene linkers of different lengths (n = 1, 5, 9), is based on the condensation of monomeric trisbenzimidazole MB3 with α,ω-alkyldicarboxylic acids. DB3(n) proved to be effective inhibitors of the catalytic activity of HIV-1 integrase at submicromolar concentrations (0.20–0.30 µM). DB3(n) was found to inhibit the catalytic activity of DNA topoisomerase I at low micromolar concentrations.
About the authors
A. F. Arutyunyan
Engelhardt Institute of Molecular Biology, Russian Academy of Sciences
Email: zhuze@eimb.ru
Russia, 119991, Moscow
A. A. Kostyukov
Emanuel Institute of Biochemical Physics, Russian Academy of Science
Email: zhuze@eimb.ru
Russia, 119334, Moscow
S. P. Korolev
Department of Chemistry, Lomonosov Moscow State University; Belozersky Institute of Physicochemical Biology, Lomonosov Moscow State University
Email: zhuze@eimb.ru
Russia, 119991, Moscow; Russia, 119991, Moscow
M. B. Gottikh
Department of Chemistry, Lomonosov Moscow State University; Belozersky Institute of Physicochemical Biology, Lomonosov Moscow State University
Email: zhuze@eimb.ru
Russia, 119991, Moscow; Russia, 119991, Moscow
O. Yu. Susova
Research Institute of Carcinogenesis, Blokhin National Medical Research Center of Oncology
Email: zhuze@eimb.ru
Russia, 115478, Moscow
D. N. Kaluzhny
Engelhardt Institute of Molecular Biology, Russian Academy of Sciences
Email: zhuze@eimb.ru
Russia, 119991, Moscow
A. L. Zhuze
Engelhardt Institute of Molecular Biology, Russian Academy of Sciences
Author for correspondence.
Email: zhuze@eimb.ru
Russia, 119991, Moscow
References
- Koval V.S., Arutyunyan A.F., Salyanov V.I., Kostyukov A.A., Melkina O.E., Zavilgelsky G.B., Klimova R.R., Kushch A.A., Korolev S.P., Agapkina Yu.Yu., Gottikh M.B., Vaiman A.V., Rybalkina E.Yu., Susova O.Yu., Zhuze A.L. (2020) DNA sequence-specific ligands. XVIII. Synthesis, physico-chemical properties; genetic, virological, and biochemical studies of fluorescent dimeric bisbenzimidazoles DBPA(n). Bioorg. Med. Chem. 28, 115378.
- Bhaduri S., Ranjan N., Arya Dev P. (2018) An overview of recent advances in duplex DNA recognition by small molecules. Beilstein J. Org. Chem. 14, 1051–1086.
- Rahman A., O′Sullivan P., Rozas I. (2019) Recent developments in compounds acting in the DNA minor groove. Med. Chem. Comm. 10, 26–40.
- Battersby A.R. (1988) Synthetic and biosynthetic studies on vitamin B12. J. Nat. Prod. 51, 643–661.
- Gudmundsson K.S., Freeman G.A., Drach J.C., Townsend L.B. (2000) Synthesis of fluorosugar analogues of 2,5,6-trichloro-1-(β-D-ribofuranosyl)benzimidazole as antivirals with potentially increased glycosidic bond stability. J. Med. Chem. 43, 2473–2478.
- Skalitzky D.J., Marakovits J.T., Maegley K.A., Ekker A., Yu X.H., Hostomsky Z., Webber S.E., Eastmn B.W., Almassy R., Li J., Curtin N.J., Newell D.R., Calvert A.H., Griffin R.J., Golding B.T. (2003) Tricyclic benzimidazoles as potent poly(ADP-ribose) polymerase-1 inhibitors. J. Med. Chem. 46, 210–213.
- He C.Y., Yang J., Wu B.-G., Risen L., Swayze E.E. (2004) Synthesis and biological evaluations of novel benzimidazoles as potential antibacterial agents. Bioorg. Med. Chem. Lett. 14, 1217–1220.
- Seth P.P., Miyaji A., Jefferson E.A., Kristin S.-L., Osgood S.A., Propp S.S., Ranken R., Massire C., Sampath R., Ecker D.J., Swayze E.E., Griffey R.H. (2005) SAR by MS discovery of a new class of RNA-binding small molecules for the hepatitis C virus: internal ribosome entry site IIA subdomain. J. Med. Chem. 48, 7099–8102.
- Tanious F.A., Hamelberg D., Bailly C., Czarny A., Boykin D.W., Wilson W.D. (2004) DNA sequence dependent monomer–dimer binding modulation of asymmetric benzimidazole derivatives. J. Am. Chem. Soc. 126, 143–153.
- Bailly C., Chessari G., Carrasco C., Joubert A., Mann J., Wilson W.D., Neidle S. (2003) Sequence-specific minor groove binding by bis-benzimidazoles: water molecules in ligand recognition. Nucl. Acids Res. 31, 1514–1524.
- Keri R.S., Hiremathad A., Budagumpi S.I., Nagaraja B.M. (2015) Comprehensive review in current developments of benzimidazole-based medicinal chemistry. Chem. Biol. Drug Des. 86, 19–65.
- Latt S.A., Stetten G., Juergens L.A., Buchanan G.R., Gerald P.S. (1975) Comprehensive review in current developments of benzimidazole-based medicinal chemistry. J. Histochem. Cytochem. 23, 493–505.
- Громыко А.В., Салянов В.И., Стрельцов С.А., Олейников В.А., Королев С.П., Готтих М.Б., Жузе А.Л. (2007) Лиганды, специфичные к определенным последовательностям пар оснований ДНК. XIII. Новые димерные молекулы Хёхста 33258 – ингибиторы интегразы ВИЧ-1 in vitro. Биоорган. химия. 33, 613–623.)
- Королев С.П., Ташлицкий В.Н., Смолов М.А., Громыко А.В., Жузе А.Л., Агапкина Ю.Ю., Готтих М.Б. (2010) Ингибирование интегразы ВИЧ-1 димерными бисбензимидазолами с различной структурой линкера. Молекуляр. биология. 44, 718–727.
- Leh H., Brodin P., Bischerour J., Deprez E., Tauc P., Brochon J.C., LeCam E., Coulaud D., Auclair C., Mouscadet, J.F. (2000) Determinants of Mg-dependent activities of recombinant human immunodeficiency virus type 1 integrase. Biochemistry. 39, 9285–9294.
- Евдокимов Ю.М. Салянов В.И., Нечипуренко Ю.Д., Скуридин С.Г., Захарова М.А., Спенер Ф., Палумбо М. (2003) Молекулярные конструкции (суперструктуры) с регулируемыми свойствами на основе двухцепочечных нуклеиновых кислот. Молекуляр. биология. 37, 340–355.
- Yevdokimov Yu.M., Skuridin S.G., Nechipurenko Y.D., Zakharov M.A., Salyanov V.I., Kurnosov A.A., Kuznetsov V.D., Nikiforov V.N. (2005) Nanoconstructions based on double-stranded nucleic acids. Int. J. Biol. Macromol. 36,103–115.
- Pjura P.E., Grzeskowiak K., Dickerson R.E. (1987) Binding of Hoechst 33258 to the minor groove of B‑DNA. J. Mol. Biol. 197, 257–271.
- Teng M.K., Usman N., Frederick C.A., Wang A.H. (1988) The molecular structure of the complex of Hoechst 33258 and the DNA dodecamer d(CGCGAATTCGCG). Nucl. Acids Res.16, 2671–2690.
- Pommier Y., Johnson A.A., Marchand C. (2005) Integrase inhibitors to treat HIV/AIDS. Nat. Rev. Drug Discov. 4, 236–248.
- Leung C.H., Chan D.S.-H., Ma V.P.-Y., Ma D.-L. (2013) DNA-binding small molecules as inhibitors of transcription factors. Med. Res. Rev. 33, 823–846.
Supplementary files










