Antioxidant and Geroprotective Properties of the Extract of Mountain Ash (Sorbus aucuparia L.) Fruits
- Authors: Platonova E.Y.1,2, Golubev D.A.1,2, Zemskaya N.V.1, Shevchenko O.G.1, Patov S.A.3, Shaposhnikov M.V.1, Moskalev A.A.1
-
Affiliations:
- Institute of Biology, Komi Scientific Center, Ural Branch, Russian Academy of Sciences
- Pitirim Sorokin Syktyvkar State University
- Institute of Chemistry, Komi Scientific Center, Ural Branch, Russian Academy of Sciences
- Issue: Vol 57, No 6 (2023)
- Pages: 979-994
- Section: ОКИСЛИТЕЛЬНЫЙ СТРЕСС И АНТИОКСИДАНТНЫЕ СИСТЕМЫ ЗАЩИТЫ
- URL: https://journal-vniispk.ru/0026-8984/article/view/231939
- DOI: https://doi.org/10.31857/S0026898423060149
- EDN: https://elibrary.ru/SMTGEI
- ID: 231939
Cite item
Full Text
Abstract
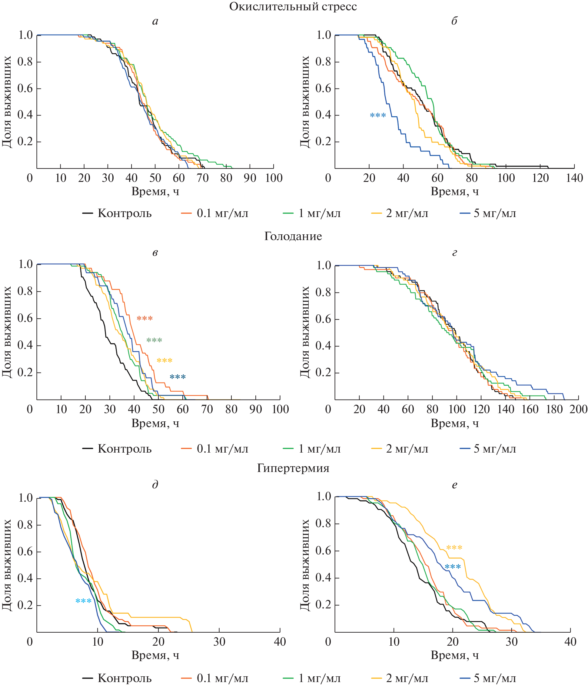
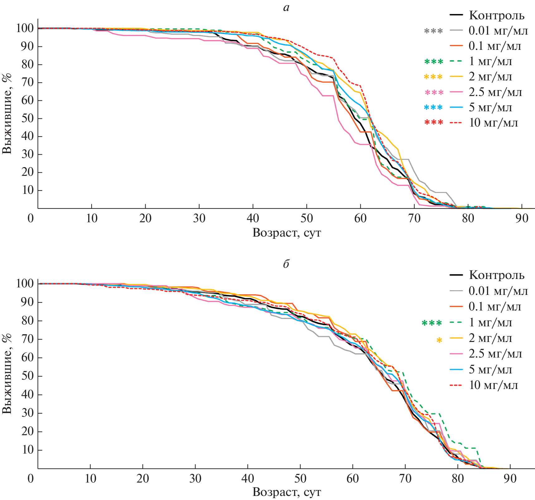
Plant polyphenols are characterized by a wide range of biological activities, including antioxidant properties, and have a high geroprotective potential. The purpose of this work was to investigate the effect of the extract of rowan berries (Sorbus aucuparia L.) on the lifespan and stress resistance of Drosophila melanogaster with the identification of possible mechanisms of its biological activity. It has been established that the ethanol extract of S. aucuparia berries, the main components of which are rutin and cyanidin-3-rutinoside, has a pronounced antioxidant activity in vitro. At the same time, treatment with rowan berry extract increased the r-esistance of D. melanogaster males to starvation, but reduced resistance to hyperthermia. In females, the e-xtract reduced resistance to oxidative stress but increased resistance to hyperthermia. The effects of rowan berry extract on longevity depended both on its concentration and on the sex of fruit flies. In response to treatment with rowan berry extract, D. melanogaster males and females showed slight differences in the background level of expression of cellular stress response genes, including heat shock genes (hsp27, hsp68, hsp83), oxidative stress resistance genes (hif1, nrf2, sod1), circadian rhythm genes (clk, per), and the longevity gene sirt1, which may explain the differences in the observed effects.
About the authors
E. Yu. Platonova
Institute of Biology, Komi Scientific Center, Ural Branch, Russian Academy of Sciences; Pitirim Sorokin Syktyvkar State University
Email: amoskalev@ib.komisc.ru
Russia, 167982, Syktyvkar; Russia, 167001, Syktyvkar
D. A. Golubev
Institute of Biology, Komi Scientific Center, Ural Branch, Russian Academy of Sciences; Pitirim Sorokin Syktyvkar State University
Email: amoskalev@ib.komisc.ru
Russia, 167982, Syktyvkar; Russia, 167001, Syktyvkar
N. V. Zemskaya
Institute of Biology, Komi Scientific Center, Ural Branch, Russian Academy of Sciences
Email: amoskalev@ib.komisc.ru
Russia, 167982, Syktyvkar
O. G. Shevchenko
Institute of Biology, Komi Scientific Center, Ural Branch, Russian Academy of Sciences
Email: amoskalev@ib.komisc.ru
Russia, 167982, Syktyvkar
S. A. Patov
Institute of Chemistry, Komi Scientific Center, Ural Branch, Russian Academy of Sciences
Email: amoskalev@ib.komisc.ru
Russia, 167000, Syktyvkar
M. V. Shaposhnikov
Institute of Biology, Komi Scientific Center, Ural Branch, Russian Academy of Sciences
Email: amoskalev@ib.komisc.ru
Russia, 167982, Syktyvkar
A. A. Moskalev
Institute of Biology, Komi Scientific Center, Ural Branch, Russian Academy of Sciences
Author for correspondence.
Email: amoskalev@ib.komisc.ru
Russia, 167982, Syktyvkar
References
- Partridge L., Deelen J., Slagboom P.E. (2018) Facing up to the global challenges of ageing. Nature. 561, 45‒56.
- Partridge L., Fuentealba M., Kennedy B.K. (2020) The quest to slow ageing through drug discovery. Nat. Rev. Drug Discov. 19, 513‒532.
- Moskalev A. (2020) Is anti-ageing drug discovery becoming a reality? Exp. Opin. Drug Discov. 15, 135‒138.
- Yuan L., Alexander P.B., Wang X.F. (2020) Cellular senescence: from anti-cancer weapon to anti-aging target. Sci. China Life Sci. 63, 332‒342.
- Xu K., Guo Y., Li Z., Wang Z. (2019) Aging biomarkers and novel targets for anti-aging interventions. Adv. Exp. Med. Biol. 1178, 39‒56.
- Moskalev A., Guvatova Z., Lopes I.D.A., Beckett C.W., Kennedy B.K., De Magalhaes J.P., Makarov A.A. (2022) Targeting aging mechanisms: pharmacological perspectives. Trends Endocrinol. Metabolism. 33, 266‒280.
- Taormina G., Ferrante F., Vieni S., Grassi N., Russo A., Mirisola M.G. (2019) Longevity: lesson from model organisms. Genes (Basel). 10, 518.
- de Magalhães J.P. (2021) Longevity pharmacology comes of age. Drug Discov. Today. 26, 1559‒1562.
- Moskalev A., Chernyagina E., de Magalhães J.P., Barardo D., Thoppil H., Shaposhnikov M., Budovsky A., Fraifeld V.E., Garazha A., Tsvetkov V., Bronovitsky E., Bogomolov V., Scerbacov A., Kuryan O., Gurinovich R., Jellen L.C., Kennedy B., Mamoshina P., Dobrovolskaya E., Aliper A., Kaminsky D., Zhavoronkov A. (2015) Geroprotectors.org: a new, structured and curated database of current therapeutic interventions in aging and age-related disease. Aging (Albany NY). 7, 616‒628.
- Barardo D., Thornton D., Thoppil H., Walsh M., Sharifi S., Ferreira S., Anžič A., Fernandes M., Monteiro P., Grum T., Cordeiro R., De-Souza E.A., Budovsky A., Araujo N., Gruber J., Petrascheck M., Fraifeld V.E., Zhavoronkov A., Moskalev A., de Magalhães J.P. (2017) The DrugAge database of aging-related drugs. Aging Cell. 16, 594‒597.
- Moskalev A. (2021) Nutritional regulation of aging and longevity. In: Nutrition, Food and Diet in Ageing and Longevity. Eds Rattan S.I.S., Kaur G. Cham. Springer International Publishing, pp. 439‒464.
- Fan X., Fan Z., Yang Z., Huang T., Tong Y., Yang D., Mao X., Yang M. (2022) Flavonoids-natural gifts to promote health and longevity. Int. J. Mol. Sci. 23, 2176.
- Mechchate H., El Allam A., El Omari N., El Hachlafi N., Shariati M.A., Wilairatana P., Mubarak M.S., Bouyahya A. (2022) Vegetables and their bioactive compounds as anti-aging drugs. Molecules. 27, 2316.
- Forni C., Facchiano F., Bartoli M., Pieretti S., Facchiano A., D’Arcangelo D., Norelli S., Valle G., Nisini R., Beninati S., Tabolacci C., Jadeja R.N. (2019) Beneficial role of phytochemicals on oxidative stress and age-related diseases. Biomed. Res. Int. 2019, 8748253.
- Lobo V., Patil A., Phatak A., Chandra N. (2010) Free radicals, antioxidants and functional foods: impact on human health. Pharmacogn. Rev. 4, 118‒126.
- Sharifi-Rad M., Anil Kumar N.V., Zucca P., Varoni E.M., Dini L., Panzarini E., Rajkovic J., Tsouh Fokou P.V., Azzini E., Peluso I., Prakash Mishra A., Nigam M., El Rayess Y., Beyrouthy M.E., Polito L., Iriti M., Martins N., Martorell M., Docea A.O., Setzer W.N., Calina D., Cho W.C., Sharifi-Rad J. (2020) Lifestyle, oxidative stress, and antioxidants: back and forth in the pathophysiology of chronic diseases. Front. Physiol. 11, 694.
- Harman D. (1956) Aging: a theory based on free radical and radiation chemistry. J. Gerontol. 11, 298‒300.
- Beckman K.B., Ames B.N. (1998) The free radical theory of aging matures. Physiol. Rev. 78, 547–581.
- Lin M.T., Flint Beal M. (2003) The oxidative damage theory of aging. Clin. Neurosci. Res. 2, 305‒315.
- Liguori I., Russo G., Curcio F., Bulli G., Aran L., D-ella-Morte D., Gargiulo G., Testa G., Cacciatore F., Bonaduce D., Abete P. (2018) Oxidative stress, aging, and diseases. Clin. Interv. Aging. 13, 757‒772.
- Luo J., Mills K., le Cessie S., Noordam R., van Heemst D. (2020) Ageing, age-related diseases and oxidative stress: what to do next? Ageing Res. Rev. 57, 100982.
- Sadowska-Bartosz I., Bartosz G. (2014) Effect of antioxidants supplementation on aging and longevity. Biomed. Res. Int. 2014, 404680.
- Shields H.J., Traa A., Van Raamsdonk J.M. (2021) Beneficial and detrimental effects of reactive oxygen species on lifespan: a comprehensive review of comparative and experimental studies. Front. Cell Dev. Biol. 9, 628157.
- Magwere T., West M., Riyahi K., Murphy M.P., Smith R.A., Partridge L. (2006) The effects of exogenous antioxidants on lifespan and oxidative stress resistance in Drosophila melanogaster. Mech. Ageing Dev. 127, 356‒370.
- Zou Y.X., Ruan M.H., Luan J., Feng X., Chen S., Chu Z.Y. (2017) Anti-aging effect of riboflavin via endogenous antioxidant in fruit fly Drosophila melanogaster. J. Nutr. Health Aging. 21, 314‒319.
- Le Bourg É. (2001) Oxidative stress, aging and longevity in Drosophila melanogaster. FEBS Lett. 498, 183‒186.
- Dröge W. (2002) Free radicals in the physiological control of cell function. Physiol. Rev. 82, 47–95.
- Lander H.M. (1997) An essential role for free radicals and derived species in signal transduction. FASEB J. 11, 118‒124.
- Yang Y., Wu Y., Sun X.-D., Zhang Y. (2021) Reactive oxygen species, glucose metabolism, and lipid metabolism. In: Oxidative Stress: Human Diseases and Medicine. Eds Huang C., Zhang Y. Singapore: Springer Singapore, pp. 213‒235.
- Burdon R.H. (1994) Free radicals and cell proliferation. In: New Comprehensive Biochemistry, vol. 28. Eds Rice-Evans C.A., Burdon R.H. Elsevier. Chapter 6, pp. 155‒185.
- Kotha R.R., Tareq F.S., Yildiz E., Luthria D.L. (2022) Oxidative stress and antioxidants ‒ a critical review on in vitro antioxidant assays. Antioxidants. 11, 2388.
- Deledda A., Annunziata G., Tenore G.C., Palmas V., Manzin A., Velluzzi F. (2021) Diet-derived antioxidants and their role in inflammation, obesity and gut microbiota modulation. Antioxidants (Basel). 10, 708.
- Šavikin K.P., Zdunić G.M., Krstić-Milošević D.B., Šircelj H.J., Stešević D.D., Pljevljakušić D.S. (2017) Sorbus aucuparia and Sorbus aria as a source of antioxidant phenolics, tocopherols, and pigments. Chem. Biodivers. 14, e1700329.
- Platonova E.Y., Zemskaya N.V., Shaposhnikov M.V., Golubev D.A., Kukuman D.V., Pakshina N.R., Ulyasheva N.S., Punegov V.V., Patov S.A., Moskalev A. (2022) Geroprotective effects of Sorbaronia mitschurinii fruit extract on Drosophila melanogaster. J. Berry Res. 12, 73‒92.
- Golubev D., Zemskaya N., Shevchenko O., Shaposhnikov M., Kukuman D., Patov S., Punegov V., Moskalev A. (2022) Honeysuckle extract (Lonicera pallasii L.) exerts antioxidant properties and extends the lifespan and healthspan of Drosophila melanogaster. Biogerontology. 23, 215‒235.
- Buravlev E.V., Shevchenko O.G., Anisimov A.A., Suponitsky K.Y. (2018) Novel Mannich bases of α- and γ‑mangostins: synthesis and evaluation of antioxidant and membrane-protective activity. Eur. J. Med. Chem. 152, 10‒20.
- Martakov I.S., Shevchenko O.G., Torlopov M.A., Gerasimov E.Y., Sitnikov P.A. (2019) Formation of gallic acid layer on γ-AlOOH nanoparticles surface and their antioxidant and membrane-protective activity. J. Inorg. Biochem. 199, 110782.
- Martakov I.S., Shevchenko O.G., Torlopov M.A., Sitnikov P.A. (2022) Colloidally stable conjugates of phenolic acids with γ-AlOOH nanoparticles as efficient and biocompatible nanoantioxidants. J. Mol. Struct. 1248, 131471.
- Popova S.A., Pavlova E.V., Shevchenko O.G., Chukicheva I.Y., Kutchin A.V. (2021) Isobornylchalcones as scaffold for the synthesis of diarylpyrazolines with antioxidant activity. Molecules. 26, 3579.
- Nikonova N.N., Hurshkainen T.V., Kuchin A.V., Shevchenko O.G. (2022) “Green technology” processing of pine (Pinus sylvestris L.) and larch (Larix sibirica Ledeb.) wood greenery to produce bioactive extracts. Holzforschung. 76, 276‒284.
- Torlopov M., Shevchenko O., Drozd N., Udoratina E. (2023) Cationic starch-based hemocompatible polymeric antioxidant: synthesis, in vitro, and in vivo study. React. Funct. Polym. 182, 105457.
- Sevgi K., Tepe B., Sarikurkcu C. (2015) Antioxidant and DNA damage protection potentials of selected phenolic acids. Food Chem. Toxicol. 77, 12‒21.
- Tabart J., Kevers C., Pincemail J., Defraigne J.-O., Dommes J. (2009) Comparative antioxidant capacities of phenolic compounds measured by various tests. Food Chem. 113, 1226‒1233.
- Celik S.E., Ozyürek M., Güçlü K., Apak R. (2010) Solvent effects on the antioxidant capacity of lipophilic and hydrophilic antioxidants measured by CUPRAC, ABTS/persulphate and FRAP methods. Talanta. 81, 1300‒1309.
- Boulebd H., Zine Y., Khodja I.A., Mermer A., Demir A., Debache A. (2022) Synthesis and radical scavenging activity of new phenolic hydrazone/hydrazide derivatives: experimental and theoretical studies. J. Mol. Struct. 1249, 131 546.
- Chawla R., Arora R., Kumar R., Sharma A., Prasad J., Singh S., Sagar R., Chaudhary P., Shukla S., Kaur G., Sharma R.K., Puri S.C., Dhar K.L., Handa G., Gupta V.K., Qazi G.N. (2005) Antioxidant activity of fractionated extracts of rhizomes of high-altitude Podophyllum hexandrum: role in radiation protection. Mol. Cell Biochem. 273, 193‒208.
- Acker C.I., Brandão R., Rosário A.R., Nogueira C.W. (2009) Antioxidant effect of alkynylselenoalcohol compounds on liver and brain of rats in vitro. Environ. Toxicol. Pharmacol. 28, 280‒287.
- Kim J. (2013) Preliminary evaluation for comparative antioxidant activity in the water and ethanol extracts of dried citrus fruit (Citrus unshiu) peel using chemical and biochemical in vitro assays. Food Nutrition Sci. 4, 177‒188.
- Stefanello S.T., Prestes A.S., Ogunmoyole T., Salman S.M., Schwab R.S., Brender C.R., Dornelles L., Rocha J.B., Soares F.A. (2013) Evaluation of in vitro antioxidant effect of new mono and diselenides. Toxicol. In Vitro. 27, 1433‒1439.
- Takebayashi J., Chen J., Tai A. (2010) A method for evaluation of antioxidant activity based on inhibition of free radical-induced erythrocyte hemolysis. Methods Mol. Biol. 594, 287‒296.
- van den Berg J.J., Op den Kamp J.A., Lubin B.H., Roelofsen B., Kuypers F.A. (1992) Kinetics and site specificity of hydroperoxide-induced oxidative damage in red blood cells. Free Radic. Biol. Med. 12, 487‒498.
- Landis G.N., Doherty D., Tower J. (2020) Analysis of Drosophila melanogaster Lifespan. In: Aging: Methods and Protocols. Ed. Curran S.P. New York: Springer US, pp. 47‒56.
- Xia B., de Belle J.S. (2016) Transgenerational programming of longevity and reproduction by post-eclosion dietary manipulation in Drosophila. Aging (Albany NY). 8, 1115‒1134.
- Fleming T.R., O’Fallon J.R., O’Brien P.C., Harrington D.P. (1980) Modified Kolmogorov‒Smirnov Test procedures with application to arbitrarily right-censored data. Biometrics. 36, 607‒625.
- Bland J.M., Altman D.G. (1998) Survival probabilities (the Kaplan‒Meier method). BMJ. 317, 1572.
- Mantel N. (1966) Evaluation of survival data and two new rank order statistics arising in its consideration. Cancer Chemother. Rep. 50, 163‒170.
- Wang C., Li Q., Redden D.T., Weindruch R., Allison D.B. (2004) Statistical methods for testing effects on “maximum lifespan”. Mech. Ageing Dev. 125, 629‒632.
- Han S.K., Lee D., Lee H., Kim D., Son H.G., Yang J.S., Lee S.V., Kim S. (2016) OASIS 2: online application for survival analysis 2 with features for the analysis of maximal lifespan and healthspan in aging research. Oncotarget. 7, 56147‒56152.
- Budzynska B., Faggio C., Kruk-Slomka M., Samec D., Nabavi S.F., Sureda A., Devi K.P., Nabavi S.M. (2019) Rutin as neuroprotective agent: from bench to bedside. Curr. Med. Chem. 26, 5152‒5164.
- Ghorbani A. (2017) Mechanisms of antidiabetic effects of flavonoid rutin. Biomed. Pharmacother. 96, 305‒312.
- Habtemariam S. (2016) Rutin as a natural therapy for alzheimer’s disease: insights into its mechanisms of action. Curr. Med. Chem. 23, 860‒873.
- Li S., Li J., Pan R., Cheng J., Cui Q., Chen J., Yuan Z. (2022) Sodium rutin extends lifespan and health span in mice including positive impacts on liver health. Br. J. Pharmacol. 179, 1825‒1838.
- Ockermann P., Lizio R., Hansmann J. (2022) Healthberry 865® and a subset of its single anthocyanins attenuate oxidative stress in human endothelial in vitro models. Nutrients. 14, 2917.
- Sarv V., Venskutonis P.R., Rätsep R., Aluvee A., Kazernavičiūtė R., Bhat R. (2021) Antioxidants characterization of the fruit, juice, and pomace of sweet rowanberry (Sorbus aucuparia L.) cultivated in Estonia. Antioxidants (Basel). 10, 1779.
- Clemens M.R., Waller H.D. (1987) Lipid peroxidation in erythrocytes. Chem. Physics Lipids. 45, 251‒268.
- Ko F.N., Hsiao G., Kuo Y.H. (1997) Protection of oxidative hemolysis by demethyldiisoeugenol in normal and beta-thalassemic red blood cells. Free Radic. Biol. Med. 22, 215‒222.
- Krokosz A., Grebowski J., Szweda-Lewandowska Z., Rodacka A., Puchala M. (2013) Can melatonin delay oxidative damage of human erythrocytes during prolonged incubation? Adv. Med. Sci. 58, 134‒142.
- Bjelakovic G., Nikolova D., Gluud L.L., Simonetti R.G., Gluud C. (2012) Antioxidant supplements for prevention of mortality in healthy participants and patients with various diseases. Cochrane Database Syst. Rev. 2012, Cd007176.
- Vayndorf E.M., Lee S.S., Liu R.H. (2013) Whole apple extracts increase lifespan, healthspan and resistance to stress in Caenorhabditis elegans. J. Funct. Foods. 5, 1236‒1243.
- Schriner S.E., Katoozi N.S., Pham K.Q., Gazarian M., Zarban A., Jafari M. (2012) Extension of Drosophila lifespan by Rosa damascena associated with an increased sensitivity to heat. Biogerontology. 13, 105‒117.
- Fabrizio P., Pozza F., Pletcher S.D., Gendron C.M., Longo V.D. (2001) Regulation of longevity and stress resistance by Sch9 in yeast. Science. 292, 288‒290.
- Johnson T.E., de Castro E., Hegi de Castro S., Cypser J., Henderson S., Tedesco P. (2001) Relationship between increased longevity and stress resistance as assessed through gerontogene mutations in Caenorhabditis elegans. Exp. Gerontol. 36, 1609‒1617.
- Longo V.D. (2003) The Ras and Sch9 pathways regulate stress resistance and longevity. Exp. Gerontol. 38, 807‒811.
- Perez V.I., Bokov A., Van Remmen H., Mele J., Ran Q., Ikeno Y., Richardson A. (2009) Is the oxidative stress theory of aging dead? Biochim. Biophys. Acta. 1790, 1005‒1014.
- Rose M., Flatt T., Graves J., Jr., Greer L.F., Martínez D., Matos M., Mueller L., Shmookler Reis R., Shahrestani P. (2012) What is aging? Front. Genetics. 3, 134.
- Ekmekcioglu C. (2020) Nutrition and longevity ‒ from mechanisms to uncertainties. Crit. Rev. Food. Sci. Nutr. 60, 3063‒3082.
- Ohlhorst S.D., Russell R., Bier D., Klurfeld D.M., Li Z., Mein J.R., Milner J., Ross A.C., Stover P., Konopka E. (2013) Nutrition research to affect food and a healthy life span. J. Nutr. 143, 1349‒1354.
- Calabrese E.J. (2003) The maturing of hormesis as a credible dose-response model. Nonlinearity Biol. Toxicol. Med. 1, 319‒343.
- Son T.G., Camandola S., Mattson M.P. (2008) Hormetic dietary phytochemicals. Neuromolecular Med. 10, 236‒246.
- Martel J., Ojcius D.M., Ko Y.F., Ke P.Y., Wu C.Y., Peng H.H., Young J.D. (2019) Hormetic effects of phytochemicals on health and longevity. Trends Endocrinol. Metab. 30, 335‒346.
- Calabrese V., Cornelius C., Dinkova-Kostova A.T., Iavicoli I., Di Paola R., Koverech A., Cuzzocrea S., Rizzarelli E., Calabrese E.J. (2012) Cellular stress responses, hormetic phytochemicals and vitagenes in aging and longevity. Biochim. Biophys. Acta. 1822, 753‒783.
- Tower J. (2017) Sex-specific gene expression and life span regulation. Trends Endocrinol. Metab. 28, 735‒747.
- Garratt M. (2020) Why do sexes differ in lifespan extension? Sex-specific pathways of aging and underlying mechanisms for dimorphic responses. Nutr. Healthy Aging. 5, 247‒259.
- Lushchak O., Strilbytska O., Storey K.B. (2023) Gender-specific effects of pro-longevity interventions in Drosophila. Mech. Ageing Dev. 209, 111754.
- Dubowy C., Sehgal A. (2017) Circadian rhythms and sleep in Drosophila melanogaster. Genetics. 205, 1373‒1397.
- Krishnan N., Kretzschmar D., Rakshit K., Chow E., Giebultowicz J.M. (2009) The circadian clock gene period extends healthspan in aging Drosophila melanogaster. Aging (Albany NY). 1, 937‒948.
- Fu L., Pelicano H., Liu J., Huang P., Lee C. (2002) The circadian gene Period2 plays an important role in tumor suppression and DNA damage response in vivo. Cell. 111, 41‒50.
- Liu X., Jiang N., Hughes B., Bigras E., Shoubridge E., Hekimi S. (2005) Evolutionary conservation of the cl-k‑1-dependent mechanism of longevity: loss of mclk1 increases cellular fitness and lifespan in mice. Genes Dev. 19, 2424‒2434.
- Wong A., Boutis P., Hekimi S. (1995) Mutations in the clk-1 gene of Caenorhabditis elegans affect developmental and behavioral timing. Genetics. 139, 1247‒1259.
- Chen D., Thomas E.L., Kapahi P. (2009) HIF-1 modulates dietary restriction-mediated lifespan etension via IRE-1 in Caenorhabditis elegans. PLOS Genetics. 5, e1000486.
- Parker J.D., Parker K.M., Sohal B.H., Sohal R.S., Keller L. (2004) Decreased expression of Cu–Zn superoxide dismutase 1 in ants with extreme lifespan. Proc. Natl. Acad. Sci. USA. 101, 3486‒3489.
- Satoh A., Brace C.S., Rensing N., Cliften P., Wozniak D.F., Herzog E.D., Yamada K.A., Imai S. (2013) Sirt1 extends life span and delays aging in mice through the regulation of Nk2 homeobox 1 in the DMH and LH. Cell Metab. 18, 416‒430.
- Higgins C.B., Mayer A.L., Zhang Y., Franczyk M., Ballentine S., Yoshino J., DeBosch B.J. (2022) SIRT1 selectively exerts the metabolic protective effects of hepatocyte nicotinamide phosphoribosyltransferase. Nat. Commun. 13, 1074.
- Pardo P.S., Boriek A.M. (2020) SIRT1 Regulation in ageing and obesity. Mech. Ageing Dev. 188, 111249.
- Moskalev A., Chernyagina E., Tsvetkov V., Fedintsev A., Shaposhnikov M., Krut’ko V., Zhavoronkov A., Kennedy B.K. (2016) Developing criteria for evaluation of geroprotectors as a key stage toward translation to the clinic. Aging Cell. 15, 407‒415.
Supplementary files






