Низкомолекулярные тиолы как фактор, усиливающий чувствительность мутантов Escherichia coli с нарушенным синтезом ADP-гептозы к антибиотикам
- Авторы: Серегина Т.А.1, Петрушанко И.Ю.1, Зарипов П.И.1, Кулешова Ю.Д.1, Лобанов К.В.1, Шакулов Р.С.1, Митькевич В.А.1, Макаров А.А.1, Миронов А.С.1
-
Учреждения:
- Институт молекулярной биологии им. В.А. Энгельгардта Российской академии наук
- Выпуск: Том 57, № 6 (2023)
- Страницы: 995-1005
- Раздел: ОКИСЛИТЕЛЬНЫЙ СТРЕСС И АНТИОКСИДАНТНЫЕ СИСТЕМЫ ЗАЩИТЫ
- URL: https://journal-vniispk.ru/0026-8984/article/view/231942
- DOI: https://doi.org/10.31857/S0026898423060162
- EDN: https://elibrary.ru/QHHRSH
- ID: 231942
Цитировать
Полный текст
Аннотация
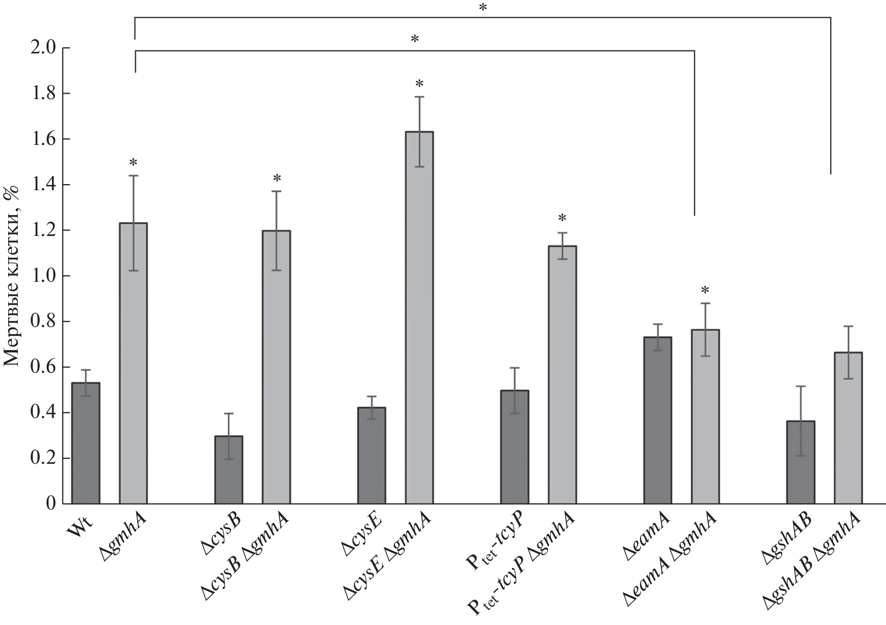
Низкомолекулярные тиолы, такие как глутатион и цистеин, являются неотъемлемой частью системы редокс-регуляции клетки. Ранее мы показали, что на фоне инактивации синтеза ADP-гептозы, связанной с делецией gmhA, в клетках Escherichia coli развивается окислительный стресс, сопровождающийся перестройкой гомеостаза тиолов и повышением чувствительности к антибиотикам. В представленной работе обнаружено, что ограничение метаболизма цистеина (∆cysB и ∆cysE) и ингибирование синтеза глутатиона (∆gshAB) приводят не к ожидаемому возрастанию, а к снижению чувствительности мутанта ∆gmhA к антибиотикам. В то же время блокирование экспорта цистеина (∆eamA) или увеличение импорта (Ptet-tcyP) цистина, являющего окисленной формой цистеина, приводит к еще большей чувствительности клеток с делецией gmhA к антибиотикам. Кроме того, не наблюдается корреляции цитотоксического действия антибиотиков с уровнем активных форм кислорода, общим пулом тиолов или жизнеспособностью исходной популяции клеток. Однако выявлена корреляция между чувствительностью к антибиотикам и долей окисленного глутатиона в клетках. Снижение содержания низкомолекулярных тиолов, по-видимому, сберегает эквиваленты NADP-H и ограничивает процессы редокс-модификации белков, повышая устойчивость штамма ∆gmhA к действию антибактериальных препаратов, тогда как повышение их уровня, напротив, требует большего расхода ресурсов клетки, приводит к росту окисленного глутатиона и вызывает еще большее увеличение чувствительности данного штамма E. coli к антибиотикам.
Об авторах
Т. А. Серегина
Институт молекулярной биологии им. В.А. Энгельгардта Российской академии наук
Автор, ответственный за переписку.
Email: tatyana.s82@gmail.com
Россия, 119991, Москва
И. Ю. Петрушанко
Институт молекулярной биологии им. В.А. Энгельгардта Российской академии наук
Автор, ответственный за переписку.
Email: irina-pva@mail.ru
Россия, 119991, Москва
П. И. Зарипов
Институт молекулярной биологии им. В.А. Энгельгардта Российской академии наук
Email: irina-pva@mail.ru
Россия, 119991, Москва
Ю. Д. Кулешова
Институт молекулярной биологии им. В.А. Энгельгардта Российской академии наук
Email: irina-pva@mail.ru
Россия, 119991, Москва
К. В. Лобанов
Институт молекулярной биологии им. В.А. Энгельгардта Российской академии наук
Email: irina-pva@mail.ru
Россия, 119991, Москва
Р. С. Шакулов
Институт молекулярной биологии им. В.А. Энгельгардта Российской академии наук
Email: irina-pva@mail.ru
Россия, 119991, Москва
В. А. Митькевич
Институт молекулярной биологии им. В.А. Энгельгардта Российской академии наук
Email: irina-pva@mail.ru
Россия, 119991, Москва
А. А. Макаров
Институт молекулярной биологии им. В.А. Энгельгардта Российской академии наук
Email: irina-pva@mail.ru
Россия, 119991, Москва
А. С. Миронов
Институт молекулярной биологии им. В.А. Энгельгардта Российской академии наук
Email: irina-pva@mail.ru
Россия, 119991, Москва
Список литературы
- Shatalin K., Shatalina E., Mironov A., Nudler E. (2011) H2S: a universal defense against antibiotics in bacteria. Science. 334, 986–990. https://doi.org/10.1126/science.1209855
- Mironov A., Seregina T., Shatalin K., Nagornykh M., Shakulov R., Nudler E. (2020) CydDC functions as a cytoplasmic cystine reductase to sensitize Escherichia coli to oxidative stress and aminoglycosides. Proc. Natl. Acad. Sci. USA. 117, 23565–53570. https://doi.org/10.1073/pnas.2007817117
- Mironov A., Seregina T., Nagornykh M., Luhachack L.G., Korolkova N., Lopes L.E., Kotova V., Zavilgelsky G., Shakulov R., Shatalin K., Nudler E. (2017) Mechanism of H2S-mediated protection against oxidative stress in Escherichia coli. Proc. Natl. Acad. Sci. USA. 114, 6022–6027. https://doi.org/10.1073/pnas.1703576114
- Park S., Imlay J. (2003) High levels of intracellular cysteine promote oxidative DNA damage by driving the Fenton reaction. J. Bacteriol. 185, 1942–1950. https://doi.org/10.1128/JB.185.6.1942-1950.2003
- Li X., Zhang T., Day N.J., Feng S., Gaffrey M.J., Qian W.-J. (2022) Defining the S-glutathionylation proteome by biochemical and mass spectrometric approaches. Antioxidants (Basel). 11, 2272. https://doi.org/10.3390/antiox11112272
- Hillion M., Antelmann H. (2015) Thiol-based redox switches in prokaryotes. Biol. Chem. 396, 415–444. https://doi.org/10.1515/hsz-2015-0102
- Seregina T.A., Petrushanko I.Yu., Shakulov R.S., Zaripov P.I., Makarov A.A., Mitkevich V.A., Mironov A.S. (2022) The inactivation of LPS biosynthesis genes in E. coli cells leads to oxidative stress. Cells. 11(17), 2667. https://doi.org/10.3390/cells11172667
- Jones D.P., Carlson J.L., Mody V.C., Cai J., Lynn M.J. Sternberg P. (2000) Redox state of glutathione in human plasma. Free Radic. Biol. Med. 28, 625–635. https://doi.org/10.1016/S0891-5849(99)00275-0
- Jovanovic M.Z., Lilic M., Savic D.J., Jovanovic G.N. (2003) The LysR-type transcriptional regulator CysB controls the repression of HslJ transcription in Escherichia coli. Microbiol. 149(Pt 12), 3449–3459.
- Hindson V.J. (2003) Serine acetyltransferase of Escherichia coli: substrate specificity and feedback control by cysteine. Biochem. J. 375, 745–752. https://doi.org/10.1042/bj20030429
- Chonoles Imlay K.R., Korshunov S., Imlay J.A. (2015) Physiological roles and adverse effects of the two cystine importers of Escherichia coli. J. Bacteriol. 197(23), 3629–3644. https://doi.org/10.1128/jb.00277-15
- Ohtsu I., Wiriyathanawudhiwong N., Morigasaki S., Nakatani T., Kadokura H., Takagi H. (2010) The L‑cystei-ne/L-cystine shuttle system provides reducing equivalents to the periplasm in Escherichia coli. J. Biol. Chem. 285, 17479–17487. https://doi.org/10.1074/jbc.M109.081356
- Masip L., Veeravalli K., Georgiou G. (2006) The many faces of glutathione in bacteria. Antioxid. Redox Signal. 8, 753–762. https://doi.org/10.1089/ars.2006.8.753
- Shatalin K., Shatalina E., Mironov A., Nudler E. (2011) H2S: a universal defense against antibiotics in bacteria. Science. 334, 986–990. https://doi.org/10.1126/science.1209855
- Серегина Т.А., Нагорных М.О., Лобанов К.В., Шакулов Р.С., Миронов А.С. (2018) Новая роль транскрипционного фактора СysB В деградации цистеина и образовании сероводорода в E. coli. Генетика. 54(11), 1237–1244.
- Mironov A., Seregina T., Shatalin K., Nagornykh M., Shakulov R., Nudler E. (2020) CydDC functions as a cytoplasmic cystine reductase to sensitize Escherichia coli to oxidative stress and aminoglycosides. Proc. Natl. Acad. Sci. USA. 117, 23565–23570. https://doi.org/10.1073/pnas.2007817117
- Baba T., Ara T., Hasegawa M., Takai Y., Okumura Y., Baba M., Datsenko K.A., Tomita M., Wanner B.L., Mori H. (2006) Construction of Escherichia coli K-12 in-frame, single-gene knockout mutants: the Keio collection. Mol. Syst. Biol. 2, 2006.0008. https://doi.org/10.1038/msb4100050
- Miller J.H. (1972) Experiments in Molecular Genetics. Cold Spring Harbor, New York: Cold Spring Harbor Lab., ISBN 978-0-87969-106-6.
- Datsenko K.A., Wanner B.L. (2000) One-step inactivation of chromosomal genes in Escherichia coli K-12 using PCR products. Proc. Natl. Acad. Sci. USA. 97, 6640–6645. https://doi.org/10.1073/pnas.120163297
- Kotova V.Yu., Manukhov I.V., Zavilgelskii G.B. (2010) Lux-biosensors for detection of SOS-response, heat shock, and oxidative stress. Appl. Biochem. Microbiol. 46, 781–788. https://doi.org/10.1134/S0003683810080089
- Rahman I., Kode A., Biswas S.K. (2006) Assay for quantitative determination of glutathione and glutathione disulfide levels using enzymatic recycling method. Nat. Protoc. 1, 3159–3165. https://doi.org/10.1038/nprot.2006.378
- Ohtsu I., Kawano Y., Suzuki M., Morigasaki S., Saiki K., Yamazaki S., Nonaka G., Takagi H. (2015) Uptake of L-cystine via an ABC transporter contributes defense of oxidative stress in the L-cystine export-dependent manner in Escherichia coli. PLoS One. 10, e0120619. https://doi.org/10.1371/journal.pone.0120619
- Yamazaki S., Takei K., Nonaka G. (2016) YdjN encodes an S-sulfocysteine transporter required by Escherichia coli for growth on S-sulfocysteine as a sulfur source. FEMS Microbiol. Lett. 363, fnw185. https://doi.org/10.1093/femsle/fnw185
- Ulrich K., Jakob U. (2019) The role of thiols in antioxidant systems. Free Radic. Biol. Med. 140, 14–27. https://doi.org/10.1016/j.freeradbiomed.2019.05.035
- McDonagh B., Pedrajas J.R., Padilla C.A., Bárcena J.A. (2013) Thiol redox sensitivity of two key enzymes of heme biosynthesis and pentose phosphate pathways: uroporphyrinogen decarboxylase and transketolase. Oxid. Med. Cell. Longev. 2013, 932472. https://doi.org/10.1155/2013/932472
- Sobota J.M., Imlay J.A. (2011) Iron enzyme ribulose-5-phosphate 3-epimerase in Escherichia coli is rapidly damaged by hydrogen peroxide but can be protected by manganese. Proc. Natl. Acad. Sci. USA. 108, 5402–5407. https://doi.org/10.1073/pnas.1100410108
- Korshunov S., Imlay K.R.C., Imlay J.A. (2020) Cystine import is a valuable but risky process whose hazards Escherichia coli minimizes by inducing a cysteine exporter. Mol. Microbiol. 113, 22–39. https://doi.org/10.1111/mmi.14403
- Reitzer L., DiRita V.J. (2015) Death by cystine: an adverse emergent property from a beneficial series of reactions. J. Bacteriol. 197, 3626–3628. https://doi.org/10.1128/JB.00546-15
- Mieyal J., Gallogly M., Qanungo S., Liedhegner E., Shelton M. (2008) Molecular mechanisms and clinical implications of reversible protein S-glutathionylation. Antioxid. Redox Signal. 10, 1941–1988. https://doi.org/10.1089/ars.2008.2089
Дополнительные файлы








