Photochemical processes to cellular DNA damage by UV radiation of different wavelengths: biological consequences
- Authors: Fraikin G.Y.1, Belenikina N.S.1, Rubin A.B.1
-
Affiliations:
- Lomonosov Moscow State University
- Issue: Vol 58, No 1 (2024)
- Pages: 3-21
- Section: ОБЗОРЫ
- URL: https://journal-vniispk.ru/0026-8984/article/view/259786
- DOI: https://doi.org/10.31857/S0026898424010019
- EDN: https://elibrary.ru/OHVEXS
- ID: 259786
Cite item
Full Text
Abstract
UV radiation of sunlight induces in cellular DNA of different organisms photochemical reactions, which may lead to the development of series biological responses to arising lesions, including apoptosis, mutagenesis, and carcinogenesis. The chemical nature and the amount of DNA lesions depend on the wavelength of UV radiation. Photons of UV radiation in the region B (UVB, 290–320 nm) cause the production of two main defects, namely, cyclobutane pyrimidine dimers and, with a less yield, pyrimidine (6-4) pyrimidone photoproducts; their formation is the result of the direct UVB photon absorption by DNA bases. Photons of UV radiation in the region A (UVA, 320–400 nm) induce only cyclobutane dimers that can be formed by triplet-triplet energy transfer from cellular chromophores, absorbing photons of this UV region, to DNA thymine bases. UVA is much more effective than UVB in the sensitized oxidatively lesion formation in DNA such as single strand breaks and oxidized bases; among those, 8-oxo-dihydroguanine is the most frequent since it can be produced from several oxidation processes. In recent years, multiple papers, reporting novel, more detailed information about molecular mechanisms of photochemical reactions underlying the formation of different lesions in DNA were published. The present review mainly aims at summarizing and analyzing data contained in these publications, particularly regarding oxidative reactions that are initiated by reactive oxygen species and radicals generated by potential endogenous photosensitizers such as pterins, riboflavin, protoporphyrin IX, NADH, and melanin. The role of specific DNA photoproducts in genotoxic processes induced in living systems by UV radiation of different wavelengths, including human skin carcinogenesis, is discussed.
Full Text
Сокращения: УФВ/УФА – ультрафиолет В-области (290–320 нм)/ультрафиолет А-области (320–400 нм); CPD (cyclobutane pyrimidine dimer) – циклобутановый пиримидиновый димер; (6-4)PP (pyrimidine 6-4 pyrimidone photoproduct) – (6-4)-фотопродукт; 8-oxodG (8-oxo-dihydroguanine) – 8-оксодигидрогуанин; Ptr (pterin) – птерин; Fop (6-formylpterin) – 6-формилптерин; Cap (6-carboxypterin) – 6-карбоксиптерин; Nep (neopterin) – неоптерин; Bip(biopterin) – биоптерин; H2Bip(7,8-dihydrobiopterin) – 7,8-дигидробиоптерин; H4Bip (5,6,7,8-tetrahydrobiopterin) – 5,6,7,8-тетрагидробиоптерин; ПКС – программированная клеточная смерть; АФК – активные формы кислорода; TTET (triplet-triplet energy transfer) – триплет-триплетный перенос энергии.
Введение
УФ-диапазон электромагнитного излучения солнца принято подразделять на три области: УФС (200–280 нм), УФВ (290–320 нм) и УФА (320–400 нм), которая включает УФА1 (340–400 нм) и УФА2 (320–340 нм). Фотоны УФС поглощаются кислородом и озоном стратосферы и в биосфере не присутствуют. УФВ фильтруется стратосферным озоном, поэтому только малая его часть (1.5%) проникает в биосферу. УФА, фотоны которого не поглощаются озоновым слоем, полностью достигает земной поверхности, и интенсивность этого излучения в 20 раз выше интенсивности излучения УФВ. Из двух видов “экологического” УФ-излучения солнца более сильное повреждающее действие на биологические системы оказывают высокоэнергетичные фотоны УФВ. Их значение с точки зрения риска индукции канцерогенеза в коже человека и клеточной смерти у растений возрастает в связи с повышением уровня излучения УФВ в биосфере вследствие расщепления стратосферного озона [1, 2]. ДНК – одна из критических молекулярных мишеней в клеточных структурах при облучении УФВ живых организмов. Фотоны УФВ в результате прямого поглощения основаниями ДНК эффективно индуцируют образование в ней нескольких типов фотопродуктов. В ответ на эти повреждения могут развиваться различные биологические ответы, такие как цитотоксичность, апоптоз и канцерогенез [3, 4]. Биологическая эффективность реакций повреждения клеточной ДНК при действии излучения УФА на 2–4 порядка ниже, чем при облучении УФВ. Однако поскольку в биосфере на долю длин волн области УФА приходится около 95% в УФ-спектре солнца, фотоны УФА тоже вносят вклад в гено- и цитотоксические эффекты – в основном с участием эндогенных фотосенсибилизаторов [5, 6].
К настоящему времени установлено, что оба компонента УФ-излучения солнца (УФВ и УФА) вовлекаются в развитие основных типов рака кожи человека. К ним относятся базально- и плоскоклеточный рак и меланома. Карциномы происходят из кератиноцитов, а меланома образуется из меланоцитов. Поскольку этиологический фактор (УФ-излучение) этих типов рака точно известен, они представляют собой перспективную систему для изучения разных этапов канцерогенеза. Особенно важно, что существует возможность охарактеризовать начальные процессы, происходящие в ДНК, и идентифицировать гены, которые часто и специфически подвергаются УФ-индуцированному мутагенезу.
В ранних исследованиях внимание ученых фокусировалось преимущественно на канцерогенном действии УФВ, поскольку было твердо установлено, что фотоны УФВ путем прямого возбуждения оснований ДНК эффективно индуцируют образование фотопродуктов, провоцирующих рак кожи. Была выявлена причинная связь между облучением УФВ и немеланомными типами рака кожи с характерными мутационными признаками – транзициями C→T в дипиримидиновых сайтах ДНК [1]. Эти мутации вызваны главным образом циклобутановыми димерами пиримидинов (cyclobutane pyrimidine dimers, CPD), которые репарируются в клетках медленнее, чем дефекты второго типа, возникающие в дипиримидиновых сайтах при облучении УФВ, а именно пиримидин-(6-4)-пиримидоновые фотопродукты (pyrimidine 6-4 pyrimidone photoproducts, 6-4PP) [7, 8]. Быстрая репарация 6-4PP обусловлена тем, что они в большей степени, чем CPD, нарушают структуру двойной спирали ДНК, и поэтому легче узнаются ферментами эксцизионной репарации нуклеотидов и значительно эффективнее устраняются [9].
В последующие годы накопилось достаточно информации, свидетельствующей о том, что УФА играет более значительную роль в процессах канцерогенеза, чем считалось ранее [10, 11]. Также стало все более очевидным, что УФА1 не является фотохимически или биологически неактивным, прежде всего в связи с его активностью в фотосенсибилизированной генерации активных форм кислорода (АФК), которые, как полагают, играют роль в развитии рака кожи [12]. Излучение области УФА намного эффективнее УФВ в окислительном повреждении оснований ДНК в изолированных клетках и коже человека. Индуцированное УФА формирование 8-оксодигидрогуанина (8-oxo-dihydroguanine, 8-oxodG) обусловлено в основном селективным окислением гуанина синглетным кислородом (1O2), генерируемым посредством механизма фотосенсибилизации типа II. Меньший вклад в этот процесс вносит гидроксильный радикал (∙OH), который может образовываться после начальной сенсибилизированной генерации супероксидного анион-радикала кислорода (O2∙−) по механизму фотосенсибилизации типа I. Отмеченные фотосенсибилизированные реакции двух типов строго зависят от кислорода, и их можно классифицировать как “фотодинамические реакции”. Помимо 8-oxodG – главного фотопродукта окислительных реакций в ДНК – УФА вызывает образование окисленных пиримидинов и одноцепочечных разрывов, а также независимое от кислорода формирование CPD, содержащих преимущественно основания тимина [12, 13]. В соответствии с таким сложным спектром повреждений спектры мутаций, индуцированных УФА в клеточной ДНК, представлены транзициями G →A, обусловленными, по-видимому, CPD и трансверсиями G→T, вызванными, вероятно, 8-oxodG. Как отмечено выше, характерными для УФВ мутациями являются транзиции C→T [1]. Очевидно, что спектры повреждений и мутаций в ДНК зависят от длины волны фотонов УФ-излучения, вида клеток и эффективности действия их репарационных систем по устранению разных повреждений.
Цель данного обзора – обобщение и анализ основной информации о молекулярных механизмах формирования дефектов в ДНК при прямом поглощении фотонов УФ-излучения и посредством фотосенсибилизированных реакций. Особое внимание уделяется процессам окислительного повреждения ДНК, которые инициируются АФК, генерируемыми эндогенными сенсибилизаторами, такими как протопорфирин IX, рибофлавин, птерины, NADH. Обсуждается конкретная природа фотопродуктов ДНК и их относительный вклад в генотоксические и цитотоксические эффекты, вызываемые в биологических системах УФВ и УФА.
Фотохимия ДНК: прямые и опосредованные сенсибилизаторами деструктивные реакции
Механизмы формирования CPD и 6-4PP при действии УФ-излучения разной длины волны
Основными хромофорами ДНК, поглощающими фотоны УФВ, как и “неэкологического” УФС, являются пиримидиновые и пуриновые основания, однако квантовые выходы фотохимических реакций пиримидиновых оснований на порядок выше, чем пуриновых. Поглощение основаниями ДНК УФ-фотонов приводит к образованию их электронно-возбужденных синглетных и триплетных состояний, в которых они вступают в различные фотохимические реакции. Из них наибольший квантовый выход имеют реакции образования CPD и 6-4PP. Оба типа дефектов образуются соседними основаниями пиримидинов в одной цепи ДНК (рис. 1). В CPD циклобутановое кольцо формируется за 1 пс вследствие разрыва 5-6 двойных связей оснований. Формированию в 6-4PP одинарной связи предшествует стадия циклизации между связью С5–C6 пиримидина и карбонильной группы С4 тимина или иминогруппы цитозина, а далее образующиеся нестабильные продукты циклизации реорганизуются в 6-4PP. Сложный механизм данного процесса требует более длительного времени (4 мс) для его завершения. Кроме того, квантовый выход 6-4PP примерно в 7 раз меньше квантового выхода CPD. 6-4PP, в отличие от CPD, поглощает фотоны в области УФА и это вызывает переход 6-4PP при воздействии УФА в Dewar-изомер в быстрой (130 пс) реакции циклизации между N3 и C6 в структуре пиримидонового кольца 6-4PP [3].
Рис. 1. УФ-индуцированные бипиримидиновые повреждения в ДНК на примере оснований тимина, расположенных в одной цепи ДНК. Фотоны УФВ вызывают формирование обоих типов дефектов, а фотоны УФА – только CPD (T<>T) с малым выходом.
В экспериментальных и теоретических исследованиях последних лет удалось изучить большинство фотофизических и фотохимических процессов, которые происходят после фотовозбуждения оснований тимина во всех T-последовательностях. Они вовлекают дезактивацию возбужденных состояний, включая возникновение состояний с переносом заряда и экситона и последующее формирование отмеченных выше дефектов ДНК [14, 15]. Обнаружено, в частности, что при прямом возбуждении фотонами УФС оснований тимина в TT-последовательностях формирование CPD происходит преимущественно через синглетное возбужденное состояние за 1 пс [16]. Заселение триплетного уровня посредством интеркомбинационной конверсии тоже может приводить к выходу CPD, но он ограничен выходом триплетного состояния, составляющим 0.01, и сравнительно малым квантовым выходом димеризации с этого состояния. В T-олигомере (dT)18 триплет тимина распадается за 10 нс, вероятно, через бирадикал со временем жизни 60 нс, который рассматривается как интермедиат в формировании CPD через триплетный канал [17, 18].
По сравнению с процессами УФ-индуцированного формирования дефектов ДНК в TT-последовательностях, фотофизика и фотохимия которых хорошо изучены, о механизмах процессов формирования намного более мутагенных повреждений в дипиримидиновых сайтах, содержащих цитозин, до недавнего времени известно было мало. Как и в TT-последовательностях, дефекты в последовательностях TC и CT могут формироваться либо путем прямого поглощения фотонов УФС/УФВ, либо вследствие процессов, происходящих после поглощения фотонов УФА другими хромофорами [14]. Если такие хромофоры находятся в непосредственной близости к генетическому материалу, они могут индуцировать триплетные состояния в ДНК через триплет-триплетный перенос энергии (triplet–triplet energy transfer, TTET) с последующим образованием CPD, но не 6-4PP [3, 19]. На основании данных о распределении CPD в молекулах ДНК с различными композициями оснований предположили, что механизм TTET не может объясняться возбуждением только отдельных T-оснований, он вовлекает динуклеотиды как минимальные мишени в этой фотосенсибилизированной реакции [19]. Возможная роль делокализации электронно-возбужденного состояния минимум по двум динуклеотидам показана и при прямом поглощении фотонов УФ-излучения основаниями ДНК [20, 21].
Известно, что формирование фотосенсибилизированных повреждений в ДНК инициируется реакциями при T-основаниях, так как у T-основания энергетически самый низкий триплетный уровень (270 кДж моль−1), поэтому любое химическое соединение с более высокой энергией триплетного состояния можно рассматривать как потенциальный триплетный сенсибилизатор. В качестве фотосенсибилизаторов могут действовать различные соединения, включая ароматические кетоны, например ацетофенон и бензофенон, у которого квантовый выход в триплет близок к единице, а энергия триплетного уровня составляет 290 кДж моль−1 [22]. Модель фотосенсибилизированной ацетофеноном димеризации Т-оснований в ДНК иллюстрирует схема, приведенная на рис. 2.
Рис. 2. Модель фотосенсибилизированного ацетофеноном формирования в ДНК CPD (T<>T). Значения уровней энергии на схеме приведены в длинах волн квантов соответствующей энергии. При поглощении фотона УФА с длиной волны 350 нм (hυ) ацетофенон переходит в синглетное возбужденное состояние (1S*), а затем путем интеркомбинационной конверсии в триплетное состояние (3T*). В процессе фотосенсибилизации происходит триплет-триплетный перенос энергии (triplet-triplet energy transfer, TTET) на триплетный уровень тимина (T), который в возбужденном состоянии (3T*) взаимодействует с соседним T-основанием, формируя CPD (T<>T).
Помимо внешних сенсибилизаторов, недавно выявлены хромофоры внутри самой молекулы ДНК, обладающие фотосенсибилизирующими свойствами, в том числе 5-формилурацил – основной продукт окислительного повреждения тимина [23, 24]. Его фотосенсибилизирующая активность установлена в экспериментах по облучению УФА сверхспиральной ДНК, а возможность интеркомбинационной конверсии в триплетное состояние и переноса энергии на тимин подтверждена в недавнем теоретическом исследовании [25]. На основании данных модельных экспериментов предполагалось, что в качестве внутреннего фотосенсибилизатора может действовать и пиримидоновая субъединица фотопродукта 6-4PP, которая после фотовозбуждения в триплетное состояние передает энергию на триплетный уровень соседнего тимина с последующим формированием CPD [26]. Однако выяснение роли этой фотосенсибилизированной реакции в дцДНК показало, что опосредованный 6-4PP триплет-триплетный перенос энергии вносит очень малый вклад в индуцированное УФА повреждение ДНК [27]. Это объясняется весьма эффективной фотоизомеризацией 6-4PP в Dewar-изомер – главной индуцированной УФА реакцией после образования в ДНК 6-4PP под действием УФВ [3].
Процессы эффективного переноса энергии, запускаемые хромофорами либо вне, либо внутри ДНК, приводят к преимущественному заселению возбужденных состояний T-оснований. Это лежит в основе повреждений ДНК, возникающих в сайтах TpT, CpT и TpC. Из них особенно мутагенны дефекты, формируемые в C-содержащих сайтах, что обусловлено реакциями гидролитического дезаминирования, которые превращают C-образуемую часть повреждения (CPD) в CPD, содержащий урацил (U). Впоследствии U-содержащие дефекты реплицируются в TpT-сайты, и такая C→T-конверсия является главной причиной высокой мутагенности УФ-излучения [28].
С применением ИК-спектроскопии временного разрешения проведено детальное изучение триплетного пути фотосенсибилизированного 2ʹ-метоксиацетофеноном формирования CPD в последовательностях CpT и TpC. Показано, что триплетное состояние сначала образуется у T-основания, но оно распадается за 30 нс вследствие перехода в бирадикальное состояние, которое распространяется на оба основания дипиримидинов и в котором одна связь циклобутанового кольца уже сформирована. Далее это состояние либо возвращается в основное электронное состояние за 100 нс, либо из него формируется CPD [28]. Недавно выявлен новый путь формирования CPD в ДНК, содержащей 5-метилцитозин. Как установлено, стабилизация триплетного бирадикального интермедиата 5-метилцитозина посредством его метильной группы повышает выход CPD [29].
Фотосенсибилизированные реакции окислительного повреждения ДНК
Эти реакции, в отличие от рассмотренных выше фотосенсибилизированных реакций, строго зависят от кислорода. В фотосенсибилизированном окислении молекул биосубстрата кислород может реагировать с электронно-возбужденным сенсибилизатором или участвовать на вторичных стадиях в реакциях с радикалами, возникающими от фотосенсибилизатора либо субстрата (рис. 3). По механизму первичного процесса реакции фотосенсибилизированного окисления разделяют на два типа – I и II [30].
Рис. 3. Начальные стадии сенсибилизированных окислительных реакций типа I и типа II в молекулах биосубстрата (M). S* – фотовозбужденный сенсибилизатор; Mok – продукт окисления молекулы.
Общая характеристика фотосенсибилизированных окислительных реакций типа I и типа II. Механизм типа I инициируется реакцией переноса электрона между фотовозбужденным сенсибилизатором (S*) и молекулой биосубстрата (M), в результате чего образуется пара радикалов: анион-радикал S∙−или его протонированная форма SH∙ и катион-радикал M∙+ или его депротонированная форма M∙ (рис. 3, реакция 1). В альтернативной первичной бимолекулярной реакции, которая может инициировать механизм типа I, фотовозбужденный сенсибилизатор восстанавливает O2, что приводит к формированию катион-радикала S∙+ или его депротонированной формы S∙ и супероксидного анион-радикала O2∙− и его протонированной формы HO∙2 (рис. 3, реакция 2). Супероксидный анион-радикал – это ион молекулы кислорода с одним неспаренным электроном. После первичного одноэлектронного окисления молекулы биосубстрата (рис. 3, реакция 1) оба формируемых радикала участвуют в нескольких последующих реакциях. Так, анион-радикал фотосенсибилизатора реагирует с O2, вследствие чего происходит регенерация сенсибилизатора и образуется O2∙− (рис. 3, реакция 4). Считается, что этот процесс является главным источником O2∙− в фотосенсибилизированных реакциях, и он намного более значим, чем прямое восстановление O2 возбужденным сенсибилизатором (рис. 3, реакция 2). O2∙− находится в равновесии (pKa = 3.6) со своей протонированной формой HO∙2 и может подвергаться спонтанной или ферментативной дисмутации в пероксид водорода (H2O2) – еще одну АФК, обладающую малой реакционной способностью. Как и O2∙−/HO∙2, H2O2 не проявляет значительной реакционной активности в отношении большинства биомолекул [31]. Однако H2O2 может мигрировать по всей клетке и вызывать в присутствии Fe2+ протекание реакции Фентона – одной из двух реакций Хабера–Вайса:
O2∙− + Fe3+ → O2 + Fe2+ H2O2 + Fe2+ → ∙OH + OH− + Fe3+ (реакция Фентона).
Высокореакционноспособный ˙OH-радикал, образующийся в ходе этой реакции, способен реагировать в месте генерации с биомолекулами посредством присоединения к двойным связям и/или отрыва атома водорода. Обе реакции приводят к образованию нейтральных радикалов молекул (M˙) – вероятных предшественников пероксильных радикалов (MOO˙), возникающих при взаимодействии M˙ с O2. Процесс завершается окислительным повреждением молекул. Катион-радикал молекулы субстрата (M∙+), который формируется в реакции 1 (рис. 3), после депротонирования может подвергаться гидратации с образованием M˙-OH. В дальнейшей реакции этой формы с O2 путем присоединения либо одноэлектронного окисления образуются окисленные и/или оксигенированные продукты (Mok)[32].
В отличие от радикального механизма реакций типа I первичный механизм реакций типа II вовлекает перенос энергии от возбужденного в триплетное состояние сенсибилизатора к растворенному кислороду, который находится в основном триплетном состоянии (O2) (рис. 3, реакция 3). Это приводит к образованию синглетного молекулярного кислорода (1O2) в результате обращения спина одного из двух неспаренных электронов у O2. Разница энергий между основным (триплетным) и синглетным состояниями кислорода составляет 94.2 кДж моль−1 и соответствует переходу в инфракрасной области (около 1270 нм). Перенос энергии от триплетного сенсибилизатора на кислород с переводом его в синглетное возбужденное состояние показан прямым методом измерения фотосенсибилизированной люминесценции 1O2 при 1270 нм [33]. Молекулярный кислород в активированном (синглетном) состоянии намного реакционноспособнее, чем в основном состоянии. Вместе с тем 1O2 – более селективный окислитель по сравнению с ∙OH; он также имеет существенно меньшее время жизни, а его переход в основное состояние является физическим процессом.
Формирование окисленных G-оснований ДНК в реакциях типа I и типа II.
Окисление гуанина синглетным кислородом по механизму типа II. 1O2, как электрофил, может реагировать со многими богатыми электронами биомолекулами, включая ДНК, но из всех пиримидиновых и пуриновых оснований ДНК только гуанин восприимчив к 1O2 в водных растворах [34]. Эта селективная реакционная активность 1O2, предложенная на основе данных о наивысшей скорости его химического тушения у гуанина, получила дальнейшее подтверждение в теоретических исследованиях [35]. Во многих работах с использованием различных фотосенсибилизаторов показано, что конечным продуктом окисления гуанина синглетным кислородом является 8-oxodG. Процесс, инициирующий его формирование, состоит в присоединении 1O2 к имидазольному кольцу посредством реакции циклизации “[2 + 4] Diels-Alder”, сопровождаемой образованием 4,8-эндопероксида гуанина (рис. 4). Формирование исключительно 8-oxodG в ДНК объясняется реорганизацией эндопероксида преимущественно в 8-гидропероксигуанин с последующей конверсией этого нестабильного интермедиата в 8-гидроксигуанин, который находится в динамическом равновесии с 8-oxodG – более стабильным таутомером в растворе [36].
Рис. 4. Реакция окисления синглетным кислородом гуанина в ДНК. Первый продукт реакции, формируемый присоединением 1O2 к имидазольному кольцу гуанина (эндопероксид), подвергается реорганизации с образованием гидропероксигуанина, который восстанавливается в гидроксигуанин, находящийся в динамическом равновесии с наиболее стабильным конечным продуктом окисления 8-oxodG.
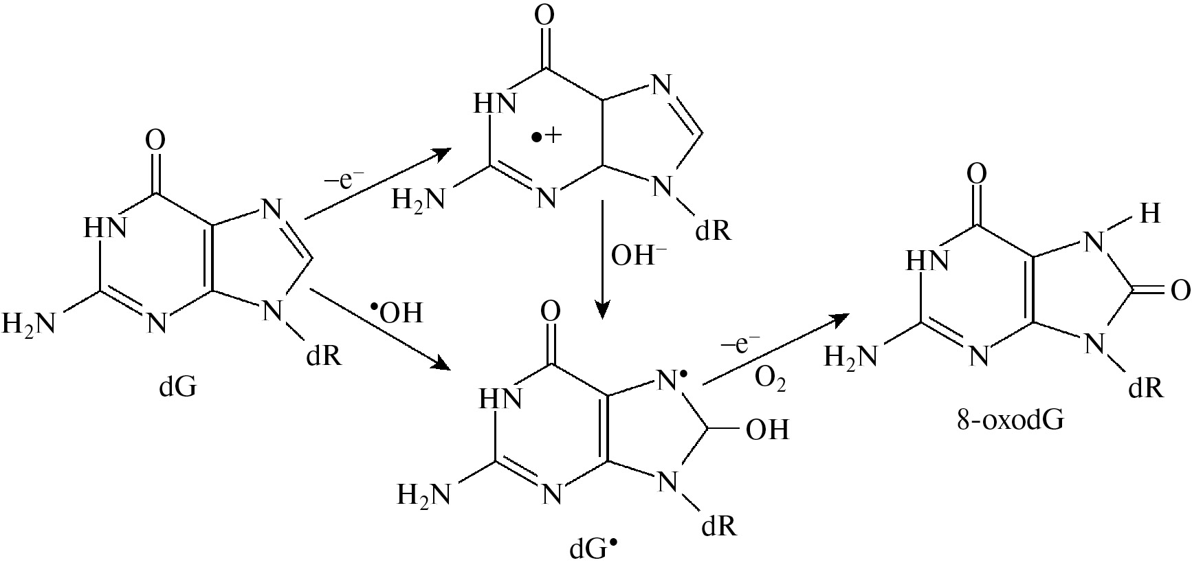
Реакции окислительной деградации гуанина, опосредованные ∙OH и одноэлектронным окислением по механизму типа I. В соответствии с реакцией 1 (рис. 3) фотосенсибилизированное одноэлектронное окисление гуанина вызывает на первой стадии образование катион-радикала dG∙+ (рис. 5). В последующей реакции гидратации dG∙+ формируется радикал 8-гидроксидигидрогуанил, который далее может превращаться в 8-oxodG путем O2-опосредованного одноэлектронного окисления [37, 38]. Радикал 8-гидроксидигидрогуанил может быть индуцирован и ∙OH посредством присоединения к C8 гуанина, а дальнейшее превращение этого радикала в 8-oxodG происходит с участием O2 путем одноэлектронного окисления (рис. 5). Как показано выше, ∙OH образуется в реакции Фентона из H2O2 – продукта дисмутации O2∙−, который формируется при взаимодействии анион-радикала S∙− с O2 (рис. 3, реакция 4).
Рис. 5. Реакции фотосенсибилизированного окисления гуанина (dG) в ДНК по механизму типа I. Показаны два пути образования нейтрального гидроксигуанил-радикала (dG∙) – предшественника конечного продукта окисления гуанина. dG∙ может формироваться как в результате гидратации катион-радикала dG, который образуется при одноэлектронном окислении dG, так и вследствие присоединения ∙OH к C8 dG. Последующее O2-зависимое одноэлектронное окисление dG∙ приводит к формированию 8-oxodG.
УФ-индуцированные процессы повреждения клеточной ДНК: биологические последствия
Биологические последствия фотохимических деструктивных реакций в клеточной ДНК изучают, воздействуя УФ-излучением на микроорганизмы, растения, а также культивируемые клетки и кожу человека in vivo. В этих работах твердо установлено, что УФ-фотоны повреждают клеточную ДНК, вызывают мутации и фотоокислительный стресс [3, 4, 13, 39]. Хотя общепринято, что УФ-повреждения в ДНК индуцируют цитотоксические эффекты, апоптоз и канцерогенез кожи, вопрос о конкретном типе фотопродуктов ДНК, которые могут быть критичными в развитии каждого из отмеченных биологических ответов, еще далек от окончательного решения. Одна из основных причин этого состоит в том, что распределение и квантовый выход конкретного дефекта в ДНК во многом зависят от длины волны УФ-света, природы эндогенных фотосенсибилизаторов, а также от активности систем репарации ДНК и антиоксидантов, присутствующих в различных типах клеток [13, 39].
Индуцированные УФ-излучением фотохимические реакции в ДНК клеток разных организмов могут быть результатом как прямых взаимодействий УФ-фотонов с основаниями нуклеотидов, так и фотосенсибилизированных процессов, запускаемых эндогенными хромофорами. Молекулярные механизмы действия УФВ и УФА на клеточную ДНК существенно различаются. Фотоны УФВ вызывают прямое возбуждение оснований ДНК и индуцируют независимое от кислорода образование двух главных типов фотопродуктов – CPD и 6-4PP. В ДНК клеток, облученных УФА, выявлены только CPD, причем в основном T-содержащие [7]. УФА намного эффективнее, чем УФВ, формирует в клеточной ДНК окислительные повреждения оснований и 2-дезоксирибозы [40]. Индуцированное УФА образование 8-oxodG обусловлено главным образом селективным окислением G-основания синглетным кислородом. Помимо этого, гидроксильный радикал (∙OH) вносит дополнительный вклад в деградацию ДНК вследствие формирования окисленных оснований и одноцепочечных разрывов [41]. Рассматриваемые ниже фотоокислительные реакции повреждения клеточной ДНК в большинстве случаев опосредуются эндогенными сенсибилизаторами – потенциальными источниками АФК. Вопрос о молекулярных основах этих процессов обсуждается с привлечением данных детальных модельных исследований, согласно которым в этих процессах может участвовать синглетный кислород, гидроксильный радикал и реакции одноэлектронного окисления [35, 42–44].
Окислительное повреждение клеточной ДНК при облучении УФВ
Помимо главных фотопродуктов (CPD и 6-4PP), формирование которых от кислорода не зависит, УФВ может с малой эффективностью индуцировать реакции окислительной деградации клеточной ДНК. Показано, что при воздействии УФВ в дозе 1 кДж/м2 на 106 оснований в ДНК формируется 150 CPD, а O2-зависимых одноцепочечных разрывов, окисленных пиримидиновых оснований и модифицированных пуринов – 0.37, 0.36 и 0.62 соответственно [45]. Эти данные служат подтверждением того, что молекулярные основы действия УФВ на клеточную ДНК определяются преимущественно CPD. Относительный вклад окислительных реакций в общее формирование фотопродуктов ДНК составляет примерно 1%, если дополнительно учесть 6-4PP, которые образуются, как и CPD, путем прямого возбуждения пиримидиновых оснований фотонами УФВ. Сходные результаты получены также при измерении продукта окисления гуанина (8-oxodG) и CPD в облученной УФВ клеточной ДНК: отношение выходов этих фотопродуктов составляет около 1% [37].
Как уже сказано, существует несколько окислительных путей образования 8-oxodG в ДНК (рис. 4, 5). Однако механизмы, вовлекаемые в индуцированное УФВ формирование этого фотопродукта в клеточной ДНК, изучены недостаточно. Согласно данным, полученным в экспериментах с кератиноцитами человека, в окислении G-оснований ДНК может участвовать гидроксильный радикал (∙ОН) [46]. После присоединения ∙ОН к С8 гуанина образуется 8-гидроксидигидрогуанил-радикал, в последующем одноэлектронном окислении которого формируется 8-oxodG [37, 42, 47]. Образование 8-гидроксидигидрогуанил-радикала – предшественника 8-oxodG – может инициироваться также путем фотосенсибилизированного одноэлектронного окисления dG, вызывающего на первой стадии процесса формирование катион-радикала dG∙+с последующей реакцией его гидратации [37, 48, 49]. Считается, однако, что этот механизм формирования 8-oxodG в клеточной ДНК при действии фотонов УФВ маловероятен [12]. Третья возможность формирования 8-oxodG, основанная на данных модельных исследований, предполагает окисление гуанина синглетным кислородом [35], но доказательства генерации 1O2 в клеточной ДНК при воздействии УФВ пока отсутствуют.
Индуцированные УФА окислительные реакции повреждения клеточной ДНК
В последние два десятилетия молекулярным механизмам действия УФА на клеточные системы посвящены обширные и всесторонние исследования. Значительное внимание в этих исследованиях уделено роли различных АФК, генерируемых потенциальными эндогенными фотосенсибилизаторами, в инициации процессов окислительного повреждения клеточной ДНК, а также мембранных компонентов клеток. Установлено, что эти процессы вовлекаются в цитотоксические фотодинамические эффекты [13, 50] и канцерогенное действие УФА [51]. Клетки различных организмов, в том числе клетки кожи человека, содержат много хромофоров, поглощающих в области УФА, включая порфирины, флавины, птерины (Ptr), NADH и другие молекулы. Они отличаются разнообразными химическими структурами, локализацией в клетках и механизмами фотосенсибилизирующего действия [6]. Активностью фотосенсибилизатора окислительного стресса обладает и пигмент эпидермиса меланин, известный фотозащитной функцией [52]. Фотосенсибилизаторы вступают в окислительные реакции преимущественно в долгоживущих триплетных состояниях, на несколько порядков превышающих время жизни их синглетных возбужденных состояний. Это особенно важно для эффективной инициации реакций типа I, поскольку сенсибилизатор в триплетном состоянии может диффундировать в среде до столкновения с молекулой субстрата – донором электрона, тогда как в синглетном возбужденном состоянии он реагирует только в том случае, если уже находится в непосредственной близости от молекулы субстрата.
Порфирины. Среди соединений порфириновой природы в биологических системах наиболее распространен протопорфирин IX – классический сенсибилизатор фотодинамических реакций типа II. В абсорбционном спектре протопорфирина главный максимум находится в области 400–410 нм с небольшими пиками в области 500–620 нм. Вместе с тем протопорфирин интенсивно поглощает фотоны во всей области УФА, что расширяет спектральный диапазон его фотосенсибилизирующей активности, связанной с генерацией 1O2. Тушение возбужденного триплетного состояния протопорфирина кислородом с образованием 1O2 происходит с высокой квантовой эффективностью [33]. С другой стороны, эффективность реакций отрыва электрона от большинства биомолекул у протопорфирина крайне низка. Поэтому он, в отличие от упомянутых выше сенсибилизаторов, почти не вовлекается в фотосенсибилизированные окислительные реакции типа I.
В ряде исследований протопорфирин и его производные идентифицированы как эндогенные сенсибилизаторы фотодинамических реакций в клеточных структурах, вызывающих цитотоксический эффект у дрожжей [53]. В митохондриях протопорфирин сенсибилизирует реакции перекисного фотоокисления липидов (ПФОЛ) [54]. Продукт ПФОЛ, малоновый диальдегид (МДА), содержится также в изолированных из клеток плазматических мембранах [54]. Как показано ранее [55, 56], реакции ПФОЛ инициируются преимущественно синглетным кислородом, фотогенерируемым мембраносвязанным сенсибилизатором. На основании флуоресцентных характеристик, полученных при изучении фотовыцветания этого сенсибилизатора [57], его можно отнести к продукту протопорфирина хлоринового типа. Фотосенсибилизированные им реакции ПФОЛ лежат в основе деструкции барьеров проницаемости плазматических мембран [56].
В связи с вопросом о вкладе продуктов ПФОЛ в цитотоксический эффект в клетках дрожжей представляет интерес работа, в которой показано, что электрофильные ненасыщенные альдегиды, включая МДА, образующиеся вследствие разложения нестабильных перекисей липидов, способны мигрировать по всей клетке и реагировать с гуанином ДНК. МДА присоединяется к 2-экзоциклической аминогруппе гуанина с последующей циклизацией и формированием после дегидратации циклического диола [58]. Вполне вероятно, что такого рода альдегидные аддукты могут образовываться в ДНК дрожжевой клетки в результате присоединения к основаниям гуанина продуктов ПФОЛ – процесса, эффективно сенсибилизируемого протопорфирином и его производными в клеточных структурах. В этом мог бы заключаться вклад ПФОЛ не только в фотодинамический цитотоксический эффект, но и в изменение спектра мутаций в ДНК. Данное предположение требует, однако, экспериментального подтверждения.
Флавины. Группу этих биологически значимых молекул составляют рибофлавин и его нуклеотидные производные – FMN и FAD. Система сопряженных двойных связей изоаллоксазинового кольца флавинов определяет их фотофизические, фотохимические и спектроскопические свойства. Спектры поглощения и возбуждения флуоресценции окисленных состояний флавинов имеют два максимума в области 300–500 нм – при 360 и 450 нм, а спектры флуоресценции – один максимум около 530 нм. При поглощении фотона УФА/синего света в изоаллоксазиновом кольце происходит перераспределение заряда и изменение редокс-потенциала флавина, что инициирует его фотохимические превращения. В молекулах FMN и FAD, которые служат хромофорами в сенсорных фоторецепторных белках, фотохимические реакции, вовлекающие перенос электрона/протона, индуцируют сигнальные и регуляторные процессы в живых системах. В ДНК-фотолиазах флавиновый кофактор в форме FADH− в фотовозбужденном состоянии непосредственно участвует в репарации УФ-индуцированных CPD и 6-4PP путем переноса на них электрона [59–61].
В отличие от прочно связанных с белками хромофоров FMN и FAD свободный рибофлавин при фотовозбуждении проявляет выраженную сенсибилизирующую активность. Так как в возбужденном состоянии рибофлавин приобретает сильные окислительные свойства, его относят к фотосенсибилизаторам реакций типа I. Вместе с тем рибофлавин может фотосенсибилизировать реакции типа II, поскольку способен генерировать 1O2 c квантовым выходом около 0.5 [62]. Действие рибофлавина как фотосенсибилизатора типа I продемонстрировано при изучении формирования сшивок ДНК-белок, которые возникают с участием ионизированных оснований нуклеотидов, преимущественно G-оснований [32]. Интересно в этой связи отметить, что рибофлавин может образовывать комплексы с пуринами в растворе, о чем свидетельствует тушение его флуоресценции. Как показано в исследовании c модельными соединениями, фотосенсибилизированная рибофлавином генерация G∙+ в олигонуклеотиде TGT инициирует нуклеофильную реакцию с ε-аминогруппой центрального лизина в пептиде, состоящем из трех лизинов. Основной фотопродукт этой реакции – аддукт между гуанином и лизином, который образуется при добавлении остатка лизина к C8 гуанина [63]. В последующих теоретических работах, рассматривающих ДНК и пептиды/полиамины, получена дополнительная информация, уточняющая механизм образования сшивок гуанин–лизин [64, 65].
По механизму типа I может происходить также фотосенсибилизированное рибофлавином окисление G-оснований в ДНК. Показано, что воздействие УФА (365 нм) приводит к формированию 8-oxodG посредством переноса электрона к триплетному возбужденному состоянию рибофлавина с образованием интермедиатов – анион-радикала рибофлавина и dG∙+ [66]. Для объяснения формирования 8-oxodG в клеточной ДНК при воздействии УФА на культивируемые клетки млекопитающих в присутствии рибофлавина предложен механизм, основанный на гидратации dG∙+. В соответствии с полученными данными предполагается потенциальная роль фотосенсибилизированного рибофлавином повреждения ДНК в канцерогенезе кожи [67].
Птерины (Ptr). Эти широко распространенные в живых организмах гетероциклические соединения представляют собой сопряженные системы двух колец – пиримидинового и пиразинового. Семейство Ptr включает множество производных, которые различаются природой боковых заместителей, присоединенных к пиразиновому кольцу. К ним относятся окисленная форма Ptr, 7,8-дигидроптерин (7,8-dihydropterin, H2Ptr), 6-формилптерин (6-formylpterin, Fop), 6-карбоксиптерин (6-carboxypterin, Cap), неоптерин (neopterin, Nep), биоптерин (biopterin, Bip), 7,8-дигидробиоптерин (7,8-dihydrobiopterin, H2Bip) и 5,6,7,8-тетрагидробиоптерин (5,6,7,8-tetrahydrobiopterin, H4Bip), а также фолиевая кислота (folic acid–pteroyl-L-glutamic acid, PteGlu). В живых системах некоторые Ptr выполняют биологические функции, действуя, в том числе, как коферменты, в реакциях, связанных с синтезом физиологически активных соединений (H4Bip) или пуриновых и пиримидиновых оснований (PteGlu). 5,10-Метенилтетрагидрофолат (5,10-methenyltetrahydrofolate) – одно из производных PteGlu – присутствует в ДНК-фотолиазах как светособирающая антенна, передающая энергию возбуждения на каталитический FADH− [60].
Известно, что некоторые производные Ptr вовлекаются в фотобиологические процессы, поэтому изучение их фотохимических и фотофизических свойств вызывает неослабевающий интерес у исследователей. При возбуждении в области УФА (365 нм) эти биомолекулы могут флуоресцировать с максимумом при 440–450 нм, генерировать АФК (1O2, O2∙ −) и подвергаться фотоокислительной деградации с образованием различных продуктов, которые тоже могут обладать сенсибилизирующей активностью [68]. Под действием солнечного света Ptr накапливаются в коже человека и, генерируя в возбужденном состоянии АФК, вызывают фотоокислительный стресс, который особенно заметно проявляется при витилиго и приводят к образованию белых (депигментированных) пятен в коже [69]. Накопление в них Bip обусловлено окислением H4Bip пероксидом водорода (H2O2). Установлено, что фотоокисление Bip индуцирует формирование потенциального фотосенсибилизатора (птерин-6-карбоновая кислота) и значительного количества H2O2 [69]. Как показано в последующих экспериментальных и теоретических исследованиях, реакции окисления H4Bip могут происходить по механизмам фотосенсибилизации как типа I, так и типа II [70, 71]. В окисленной форме Ptr при возбуждении УФА способны генерировать АФК в процессах переноса энергии (1O2) или электрона (O2∙ −) триплетным состоянием Ptr. Формирование O2∙− в результате переноса электрона между анион-радикалом Ptr∙− и O2 приводит к образованию H2O2 в реакции диспропорционирования:
2O2∙ − + 2H+ = H2O2 + O2..
H2Ptr не генерирует 1O2, но окисляется в присутствии 1O2 с высокой константой скорости, образуя H2O2 и Ptr-производные, которые могут быть сенсибилизаторами 1O2 [68].
При изучении генерации 1O2 производными Ptr установлено, что квантовые выходы образования 1O2 в водном растворе сильно зависят от химической природы их боковых заместителей, а также от pH среды. В этих экспериментах значения квантовых выходов определяли путем анализа фосфоресценции 1O2 при 1270 нм после возбуждения Ptr в области УФА (337 нм) [72]. Согласно полученным данным, наиболее эффективно сенсибилизируют 1O2 Fop, Bip, Cap и Nep с квантовыми выходами в зависимости от pH среды для каждого Ptr в диапазонах 0.45–0.47, 0.34–0.40, 0.27–0.37 и 0.23–0.34 соответственно, поэтому эти производные Ptr рассматриваются как возможные сенсибилизаторы фотодинамических процессов in vivo [68]. Порядок величины квантовых выходов генерации 1O2 некоторыми производными Ptr оценен также на основе их фотофизических характеристик, рассчитанных методами квантовой химии [73].
Индуцированная УФА генерация Ptr-производными O2∙− и H2O2 в водных растворах может происходить по двум различным механизмам. В основе первого механизма лежит процесс переноса электрона от молекулы донора электрона к триплетному состоянию Ptr, что вызывает его переход в анион-радикал Ptr∙−. При взаимодействии Ptr∙− с O2 формируется O2∙−, реакция диспропорционирования которого приводит к образованию H2O2 [74]. Второй механизм генерации O2∙− и H2O2 связан с окислением интермедиата, который возникает при воздействии УФА на Ptr-производные Bip и Nep. Показано, что интермедиат (наиболее вероятно, формил-5,8-дигидроптерин) быстро окисляется кислородом, переходя в Fop. В этой реакции образуются также O2∙− и H2O2. Завершается окислительный процесс фотоиндуцированным превращением Fop в Cap и дополнительным образованием H2O2 [75, 76]. Как отмечено выше, Fop и Cap проявляют эффективность и как фотосенсибилизаторы 1O2.
Фотохимическое образование 1O2, O2∙− и H2O2 определяет сенсибилизирующие свойства Ptr, которые проявляются в их способности индуцировать при воздействии УФА окислительное повреждение биомолекул [77, 78]. Фотосенсибилизирующая активность соединений Ptr была впервые показана на ДНК [79, 80]. В дальнейших работах, направленных на изучение механизмов фотосенсибилизирующего действия Ptr, в качестве окисляемых молекул использовали пуриновый нуклеотид dGMP [81, 82]. Установлено, что при индуцированном окислении dGMP птеринами (Ptr, Bip, Fop и Cap) в нейтральной форме, в которой они присутствуют в нейтральной и кислой среде, преобладает механизм фотосенсибилизации типа I. Этот механизм вовлекает инициирующий перенос электрона от нуклеотида к триплетному возбужденному состоянию Ptr, сопровождаемый формированием Ptr∙− и катион-радикала dGMP∙+, депротонирование и гидратация которого приводят к окислительной деградации нуклеотида. В отсутствие O2 эти стадии окислительного процесса блокируются из-за рекомбинации радикалов Ptr∙ − и dGMP∙+ и их перехода в исходные состояния. В щелочной среде отмеченные выше Ptr находятся в анионной форме и фотосенсибилизированное окисление dGMP может вовлекать реакции с участием 1O2 [83].
Как известно, гуанин имеет самый низкий из всех оснований нуклеотидов потенциал ионизации, поэтому большинство фотосенсибилизаторов типа I индуцируют только его одноэлектронное окисление. В этой связи представляют интерес данные, свидетельствующие о способности Ptr фотосенсибилизировать окисление тимина в пиримидиновом нуклеотиде (dTMP) [84]. Инициированный УФА перенос электрона от нуклеотида к триплетному состоянию Ptr приводит к формированию анион-радикала Ptr∙− и катион-радикала dTMP∙+. Катион-радикал находится в равновесии с депротонированной формой (dTMP∙), а Ptr∙−протонируется до PtrH. В последующих реакциях этих радикалов с O2, включающих генерацию O2∙−, H2O2 и ∙OH, образуется ряд конечных продуктов деградации dTMP. В отсутствие O2 с участием отмеченных радикалов происходит еще один процесс. В основе этого процесса, который не наблюдали при действии других фотосенсибилизаторов, лежит связывание радикалов PtrH∙ и dTMP∙, сопровождаемое образованием ковалентного аддукта Ptr–dTMP. Аддукт сохраняет спектроскопические свойства свободного Ptr за исключением уменьшения интенсивности его флуоресценции в составе аддукта. Важно отметить, что при воздействии УФА в отсутствие O2 аддукт между Ptr и основанием тимина формируется также в дцДНК [85]. Предполагается, что формирование такого аддукта может происходить и в клеточной ДНК. Это обосновано следующими фактами: во-первых, концентрация O2 в некоторых тканях может быть очень низкой; во-вторых, Ptr свободно проникает через биомембраны, т.е. может находиться в ядре; в-третьих, концентрация Ptr, использованная в работе с изолированной ДНК, сопоставима с концентрацией Ptr в клетках кожи. В соответствии с приведенными выше данными, Ptr рассматриваются как эндогенные фотосенсибилизаторы, способные индуцировать генотоксические процессы [85].
NADH – восстановленная форма известного кофермента редокс-реакций NAD, который может находиться также в окисленной форме (NAD+). Эти формы различаются спектроскопическими характеристиками: NAD+ поглощает только в области длин волн короче 300 нм и не флуоресцирует, тогда как NADH имеет поглощение в области УФА с максимумом в абсорбционном спектре при 340 нм и флуоресцирует с максимумом в спектре флуоресценции около 450 нм. Важное свойство NADH – его способность при поглощении фотонов УФА генерировать O2∙− в O2-зависимых окислительных реакциях:
УФА (340 нм) → NADH + O2 + H2O → NAD + O2∙− + H3O+ NAD + O2 → NAD+ + O2∙.−
В последующих реакциях с участием O2∙− сначала путем диспропорционирования O2∙−образуется H2O2, а затем ∙OH, посредством реакции Фентона (показано выше). Как уже отмечалось, высокореакционноспособный радикал ∙OH может вовлекаться в УФ-индуцированные процессы сенсибилизированного окислительного образования таких дефектов в ДНК, как продукты окисления пиримидиновых и пуриновых оснований, включая 8-oxodG, а также одноцепочечные разрывы. В одной из первых работ с использованием изолированной плазмидной ДНК, ингибиторов ферментов и тушителей АФК было показано, что в NADH-фотосенсибилизированном формировании одноцепочечных разрывов непосредственно участвует ∙OH, а H2O2 играет роль интермедиата на пути превращения первичного NADH-фотогенерируемого продукта (O2∙−) в ∙OH [86]. Вероятно, формирование NADH-сенсибилизированных повреждений в ДНК клеток при воздействии УФА происходит по более сложному механизму, детальное изучение которого требует новых экспериментальных подходов.
Роль повреждений ДНК в программированной смерти растительных клеток при облучении УФВ
ДНК – одна из критических клеточных мишеней при воздействии УФВ на растения. Важно отметить, что повышение уровня УФВ в биосфере, вызванное длительным истощением стратосферного озонового слоя, может уменьшать геномную стабильность растительных популяций. В ответ на индуцированные УФВ дефекты в ДНК (рассмотрены выше) в клетках активируются различные сигнальные пути, которые играют ключевую роль в сохранении целостности генома. К ним относится активация чекпойнтов повреждения ДНК, сопровождаемая остановкой клеточного цикла. Это увеличивает время репарации ДНК и предотвращает передачу поврежденных хромосом. Вместе с тем арест клеточного цикла может индуцировать процесс программированной клеточной смерти (ПКС), одной из распространенных форм которой является апоптоз – генетически контролируемый механизм, обеспечивающий устранение сильно поврежденных либо нерегулируемых клеток. Апоптоз характеризуется такими специфическими признаками, как, например, фрагментация ДНК, конденсация хроматина и сжатие клетки [2]. Эти морфологические признаки выявлены при программированной смерти растительных клеток, вызванной действием УФВ [87]. Кроме того, у растений идентифицирован ряд генов, вовлекаемых в ПКС в ответ на облучение УФВ [88].
Молекулярный механизм действия чекпойнтов повреждения ДНК в клетках растений включает сенсорные киназы ATAXIA-TELANGIECTASIA-MUTATED (ATM) и ATAXIA-TELANGIECTASIA-MUTATED RAD3-RELATED (ATR), детектирующие разные повреждения ДНК и инициирующие каскады трансдукции сигнала посредством фосфорилирования сигнальных чекпойнт-киназ. В растении Arabidopsis thaliana ATR участвует в повышении толерантности клеток к действию УФВ. Это подтверждается данными о повышенной чувствительности к УФВ ATR-дефицитного мутанта и высоком уровне смерти мутантных клеток в результате изменения чекпойнта в G2-фазе клеточного цикла. У BY-2-клеток табака выявлена прямая связь между накоплением в ДНК индуцированных УФВ повреждений (CPD и одноцепочечные разрывы), арестом клеточного цикла при переходе от G1 к S-фазе и высоким уровнем клеточной смерти [89]. На тех же BY-2-клетках показано, что в больших дозах УФВ индуцирует специфичную нуклеосомную фрагментацию ДНК, которая является неотъемлемым компонентом ПКС, а также типичные для апоптоза морфологические изменения – сжатие клетки и конденсацию хроматина в ядре [87]. Центральный компонент ПКС у растений – транскрипционный фактор SUPPRESSOR OF GAMMARESPONSE 1 (SOG1) – регулирует большинство ответов на повреждение ДНК, включая транскрипцию, остановку клеточного цикла и смерть клетки. Для функциональной активности SOG1 требуется его фосфорилирование ATM-киназой [90].
Роль различных УФ-индуцированных повреждений ДНК в канцерогенезе кожи человека
Как отмечено выше, канцерогенез кожи человека связан с воздействием УФ-излучения солнца, причем обе области УФ-излучения (УФВ и УФА) могут индуцировать развитие меланомы и базальноклеточного рака. Ключевую роль в начальной фазе развития раковых опухолей играет УФ-индуцированное повреждение ДНК. Если фотопродукты в ДНК остаются нерепарированными или поврежденные клетки (меланоциты, кератиноциты) не устраняются в процессе апоптоза, то определенные дефекты ДНК проявляют мутагенные свойства, вызывая активацию онкогенов. Результаты обширных исследований последнего времени свидетельствуют, что УФВ и УФА вызывают разные типы и количества повреждений в ДНК меланоцитов и кератиноцитов, чем можно объяснить различия в спектрах мутаций в меланомах и карциномах. Известная система эксцизионной репарации нуклеотидов (nucleotide excision repair, NER) репарирует димерные фотопродукты в ДНК и играет важную роль в предотвращении УФ-индуцированного рака кожи. С дефектами в NER связаны несколько редких генетических заболеваний, в том числе пигментная ксеродерма (xeroderma pigmentosum). Клетки таких пациентов сверхчувствительны к действию УФ-излучения. У больных пигментной ксеродермой на несколько порядков повышена вероятность развития рака кожи всех типов, включая меланому, что может свидетельствовать о вкладе пиримидиновых димеров в развитие меланомы и немеланомных типов рака кожи. С другой стороны, дефекты в эксцизионной репарации оснований, способные снижать репарацию окислительных повреждений оснований, в большинстве случаев не связаны с раком кожи [1].
Базальноклеточная карцинома. Этот тип рака кожи возникает из кератиноцитов, находящихся в базальном слое эпидермиса и подвергающихся неконтролируемому делению, что характерно для раковых клеток. Как известно, рак развивается из делящихся клеток, а не из полностью дифференцированных и более не способных к делению. УФ-индуцированные повреждения в ДНК кератиноцитов вызывают мутации только в том случае, если клетка поделится прежде, чем станет способной осуществить репарацию поврежденной ДНК. Имеет значение и тот факт, что разные дефекты в ДНК различаются по мутагенному потенциалу. Это особенно относится к цитозинсодержащим димерным фотопродуктам, поскольку они значительно более мутагенны по сравнению с тиминсодержащими CPD и (6-4)PP [91]. Согласно результатам ряда исследований, основным классом фотопродуктов в ДНК при облучении УФА клеток и кожи человека являются CPD, что характерно для УФВ. Однако в отличие от УФВ-индуцированных димеров, которые содержат основания тимина и цитозина, УФА индуцирует в большей степени T-содержащие димеры и не вызывает формирования (6-4)PP [3].
Значительный интерес представляют данные, полученные при изучении зависимости образования T-содержащих димеров от проникновения фотонов УФВ или УФА1 в различные слои эпидермиса кожи человека. Показано, что количество димеров, индуцированных УФВ, уменьшается с увеличением глубины эпидермиса, тогда как их количество при действии УФА1 значительно возрастает с глубиной, достигая максимума в базальном слое эпидермиса. Ослабление активности УФВ с увеличением глубины эпидермиса объясняется присутствием в коже хромофоров, поглощающих фотоны этого излучения. Фотоны УФА1 в меньшей степени поглощаются верхними слоями эпидермиса и поэтому могут проникать глубже. Согласно выдвинутому предположению, повышенная чувствительность базального слоя эпидермиса, где находятся кератиноциты (и меланоциты), к генотоксическому действию УФА1 может быть связана с обратным дермальным рассеянием этого излучения (например, от коллагена), а также прямым эпидермальным рассеянием [92].
Главный индуцируемый УФА продукт и биомаркер окислительного повреждения ДНК, 8-oxodG, формируется в клетках и коже человека преимущественно в реакции, опосредованной 1O2. Другие окислительные реакции, инициирующие образование 8-oxodG, а также малого количества окисленных пиримидиновых оснований и разрывов цепи ДНК, вовлекают ∙OH. Фермент репарации ДНК 8-оксогуанин-ДНК-гликозилаза 1 (8-oxoguanine DNA glycosylase 1, OGG1) специфически репарирует 8-oxodG, предотвращая возникновение GC→TA-мутаций из этого фотопродукта. Фермент OGG1 слабо экспрессируется в базальном слое эпидермиса человека по сравнению с верхними слоями эпителия. Предполагается, что экспрессия OGG1 регулируется состоянием дифференцированности кератиноцитов, поэтому в дифференцированных клетках экспрессия фермента повышена. Соответственно, в базальном слое фотопродукт 8-oxodG репарируется медленнее, нежели в верхних слоях эпидермиса, и это может лежать в основе высокой чувствительности базального слоя эпидермиса к накоплению 8-oxodG. К тому же, в облученных УФА кератиноцитах с высоким выходом, в 3 раза превышающим количество 8-oxodG, образуются тиминсодержащие димеры, из которых могут развиваться мутации GC→AT, а мутации GC→TA возникают, вероятно, из 8-oxoG. Эти мутации обнаружены, соответственно, в генах p53 и Brm немеланомных типов рака кожи человека. Уязвимость базального слоя эпидермиса в отношении накопления отмеченных фотопродуктов и мутаций позволяет предполагать, что кожа человека более чувствительна к канцерогенезу, индуцированному УФА, чем считалось ранее [91].
В последнее время появились сообщения, согласно которым под действием УФА1 (340–400 нм) в ДНК кератиноцитов возникают задержанные во времени “темновые” CPD и окисленные фотопродукты. Поскольку образование и этих фотопродуктов и соответствующих “световых” дефектов ингибировалось витамином E, обладающим антиоксидантными свойствами, можно предположить, что в основе формирования этих повреждений лежат фотоокислительные реакции. Показано также формирование “темновых” CPD в коже человека через 2 ч после воздействия излучения с длиной волны 385 нм, которые сохранялись в коже в течение 24 ч [93, 94]. Изучение механизмов “световых” и последующих “темновых” стадий формирования CPD и других фотопродуктов в ДНК кератиноцитов представляется важной задачей для дальнейшего прояснения вклада УФА в канцерогенез кожи человека.
Меланома. Эта злокачественная опухоль происходит из эпидермальных меланоцитов. Меланоциты отличаются от кератиноцитов резистентностью к апоптозу и длительным временем жизни в коже, а также спектром мутаций в активированных онкогенах, которые могут возникать из другого класса УФ-индуцированных повреждений ДНК. При сравнительном определении дефектов в ДНК, формируемых под действием УФВ или УФА в меланоцитах и кератиноцитах человека, установлено, что CPD образуются с одинаковой эффективностью в обоих типах клеток, облученных как УФВ, так и УФА [95]. В то же время при воздействии УФА количество 8-oxodG в меланоцитах было в 2.2 раза выше, чем в кератиноцитах. Эти данные показывают, что продукты окислительных реакций, индуцируемых УФА, вносят больший вклад в повреждение ДНК меланоцитов, чем кератиноцитов, и это может быть связано с фотосенсибилизирующей активностью пигмента меланина, образующегося в меланоцитах. Важная роль меланина в индукции меланомы установлена в исследовании с применением УФ-излучения строго определенных длин волн [96]. Согласно полученным данным, УФА (320–400 нм) индуцирует формирование в ДНК 8-oxodG – мутагенного окислительного повреждения, из которого могут образовываться GC→TA-трансверсии, и это требует присутствия меланина в меланоцитах. Действие УФВ (280–320 нм), в отличие от действия УФА, инициирует развитие меланомы независимо от присутствия пигмента и связано с прямым формированием CPD в ДНК.
В ряде работ показано, что воздействие УФВ или УФА на меланоциты человека, содержащие пигмент меланин, индуцирует задержанное на несколько часов образование CPD в темноте после их прямого фотохимического формирования [97]. В отличие от меланоцитов, содержащих меланин, облучение УФА беспигментных меланоцитов не вызывало образования “темновых” CPD. На основании защитного действия антиоксидантов предположили, что в формирование “темновых” CPD вовлекается окислительный процесс с участием меланина [97, 98]. Как известно, при клеточном ответе на УФ-индуцированный стресс через некоторое время ферментативно образуются O2∙− и NO∙, а их рекомбинация генерирует пероксинитрит (ONOO−). Постулировано, что ONOO− реагирует с мономерами меланина, образуя нестабильные диоксетаны вблизи ДНК, а после их распада в триплетно-возбужденные карбонилы в темноте формируются CPD путем триплет-триплетного переноса энергии от карбонилов к пиримидиновым основаниям ДНК [97–99]. Предложенный механизм химического возбуждения может лежать в основе перераспределения в составе CPD, а именно значительного возрастания количества димеров с цитозином и тимином, которые более мутагенны по сравнению с тиминсодержащими димерами, индуцируемыми УФА.
В недавнем исследовании показана двойственная роль меланина (защитная и сенсибилизирующая) в формировании “световых” и “темновых” CPD в эпидермисе кожи типа Fizpatrick (Fizpatrick skin type, FST) I/II и VI при воздействии излучения, имитирующего излучение солнца [100]. Максимальное формирование “темновых” CPD наблюдали через 1–2 ч после облучения, вероятно в результате окислительных реакций, фотосенсибилизированных меланином. С другой стороны, в базальном слое FSTIV “световые” CPD не образовывались, что, возможно, связано со способностью меланина действовать в качестве фильтра, предохраняющего ДНК от проникновения УФ-излучения.
Заключение
В исследованиях последних лет получены новые результаты, способствующие более глубокому пониманию молекулярных механизмов фотохимических процессов повреждения ДНК, индуцированных УФВ и УФА. При изучении фотохимических реакций, которые не зависят от кислорода, установлено, что дефекты в ДНК могут формироваться как путем прямого поглощения фотонов УФВ (CPD и 6-4PP), так и с участием сенсибилизаторов, которые поглощают фотоны УФА и посредством TTET индуцируют триплетные состояния T-оснований с последующим образованием CPD (но не 6-4PP). Механизм, предложенный для фотосенсибилизированного формирования CPD, состоит в том, что триплетное состояние T-основания переходит сначала в бирадикальное состояние, которое распространяется на оба основания дипиримидинов, а затем из бирадикального интермедиата формируется CPD. Недавно, помимо внешних сенсибилизаторов (бензофенон, ацетофенон, 2ʹ-метоксиацетофенон), внутри самой молекулы ДНК выявлены хромофоры, поглощающие фотоны УФА и обладающие сенсибилизирующей активностью, действуя по механизму TTET. К ним относятся 5-формилурацил и пиримидоновая субъединица 6-4PP, способная инициировать формирование CPD посредством TTET в модельной системе. Однако в повреждение ДНК этот фотосенсибилизированный процесс вносит очень малый вклад из-за быстрой фотоизомеризации 6-4PP в Dewar-изомер – главной индуцированной УФА реакции после образования в ДНК 6-4PP под действием УФВ.
Фотосенсибилизированное образование окисленных повреждений в ДНК, в отличие от формирования CPD, строго зависит от кислорода, а реакции фотосенсибилизированного окисления по механизму первичного процесса разделяют на два типа. Окислительные реакции типа I инициируются переносом электрона между фотовозбужденным сенсибилизатором и биомолекулой, в результате чего образуется пара радикалов, вступающих в реакции с O2, и это вызывает образование АФК. Первичный механизм реакций типа II вовлекает перенос энергии от фотовозбужденного сенсибилизатора к O2, что приводит к формированию 1O2. Современные представления о механизмах начальных стадий фотосенсибилизированных окислительных реакций подробно изложены в соответствующем разделе статьи. Там же рассмотрены механизмы реакций типа I и типа II, индуцирующих окисление гуанина в 8-oxodG – главный фотопродукт и биомаркер фотосенсибилизированных окислительных реакций в ДНК.
В отдельном разделе представлена информация о фотосенсибилизирующих свойствах Ptr, рибофлавина, протопорфирина IX и NADH, которые имеют характерные особенности у каждого из этих сенсибилизаторов. На основании приведенных данных, полученных в модельных экспериментах, Ptr, NADH и рибофлавин можно рассматривать как потенциальные фотосенсибилизаторы в клеточных системах, однако прямые доказательства этого пока отсутствуют. Что касается протопорфирина IX и его производных, то они могут действовать в клетках как фотосенсибилизаторы окислительных цитотоксических процессов. Активностью фотосенсибилизитора окислительных реакций в меланоцитах обладает также пигмент эпидермиса меланин.
Данные о фотохимических реакциях в клеточной ДНК обсуждаются главным образом в аспекте роли различных УФ-индуцированных повреждений в мутагенезе и канцерогенезе кожи человека. Результаты исследований последнего времени свидетельствуют, что УФВ и УФА вызывают в ДНК меланоцитов и кератиноцитов дефекты разного типа и в разных количествах, и этим можно объяснить различия в спектрах мутаций у меланом и карцином. Из сравнительного определения дефектов в ДНК, индуцированных УФВ или УФА в меланоцитах и кератиноцитах человека, следует, что продукты окислительных реакций, формируемые при облучении УФА, вносят больший вклад в повреждение ДНК меланоцитов, чем кератиноцитов, что может быть связано с фотосенсибилизирующей активностью пигмента меланина, образующегося в меланоцитах. О важной роли меланина в индукции меланомы при облучении меланоцитов УФА свидетельствуют данные, согласно которым для формирования в ДНК 8-oxodG и последующего возможного образования GC→TA-трансверсий требуется присутствие пигмента меланина в меланоцитах. В противоположность этому УФВ инициирует развитие меланомы из беспигментных меланоцитов, и его действие связано с прямым формированием CPD в ДНК. Значительный интерес вызывают недавние сообщения о том, что под действием УФА1 в ДНК кератиноцитов возникают задержанные во времени “темновые” CPD и окисленные фотопродукты, в основе формирования которых могут лежать фотоокислительные реакции. Раскрытие молекулярных механизмов первичных фотопроцессов и последующих “темновых” стадий формирования CPD и других фотопродуктов в ДНК кератиноцитов представляется одной из важных задач дальнейших исследований, направленных на выяснение роли УФА в канцерогенезе кожи человека. Аналогичные результаты получены недавно при воздействии УФА на меланоциты человека, содержащие пигмент меланин, который, как предполагается, участвует в окислительном процессе формирования “темновых” CPD. Согласно выдвинутой гипотезе, этот процесс связан с химическим возбуждением карбонилов и триплет-триплетным переносом энергии к пиримидиновым основаниям ДНК. Изучение молекулярных основ фотосенсибилизирующей активности меланина и его вовлечения в химическое возбуждение компонентов окислительных реакций, инициирующих формирование “темновых” CPD, представляется важным в аспекте совершенствования способов предотвращения канцерогенеза кожи человека при воздействии УФ-излучения разных длин волн.
Работа выполнена в рамках научного проекта Государственного задания МГУ № 121032 500058-7.
Настоящая статья не содержит каких-либо исследований с использованием животных и людей в качестве объектов.
Авторы заявляют об отсутствии конфликта интересов.
About the authors
G. Ya. Fraikin
Lomonosov Moscow State University
Email: GFraikin@yandex.ru
Биологический факультет
Russian Federation, Moscow, 119991N. S. Belenikina
Lomonosov Moscow State University
Email: GFraikin@yandex.ru
Биологический факультет
Russian Federation, Moscow, 119991A. B. Rubin
Lomonosov Moscow State University
Author for correspondence.
Email: GFraikin@yandex.ru
Биологический факультет
Russian Federation, Moscow, 119991References
- Pfeifer G.P., Besaratinia A. (2012) UV wavelength-dependent DNA damage and human non-melanoma and melanoma skin cancer. Photochem. Photobiol. Sci. 11, 90–97.
- Фрайкин Г.Я. (2018) Сигнальные механизмы, регулирующие различные ответы растительных клеток на действие УФВ-излучения. Биохимия. 83, 972–980.
- Cadet J., Douki T. (2018) Formation of UV-induced DNA damage contributing to skin cancer development. Photochem. Photobiol. Sci. 17, 1816–1841.
- Mullenders L.H.F. (2018) Solar UV damage to cellular DNA: from mechanisms to biological effects. Photochem. Photobiol. Sci. 17, 1842–1852.
- Schuch A.P., Moreno N.C., Schuch N.J., Menck C.F.M., Garcia C.C.M. (2017) Sunlight damage to cellular DNA: focus on oxidatively generated lesions. Free Radic. Biol. Med. 107, 110–124.
- Wondrak G.T., Jacobson M.K., Jacobson E.L. (2006) Endogenous UVA-photosensitizers: mediators of skin photodamage and novel targets for skin photoprotection. Photochem. Photobiol. Sci. 5, 215–237.
- Cadet J., Mouret S., Ravanat J.-L., Douki T. (2012) Photoinduced damage to cellular DNA: direct and photosensitized reactions. Photochem. Photobiol. 88, 1048–1065.
- Hu J., Adebali O., Adar S., Sancar A. (2017) Dynamic maps of UV damage formation and repair for the human genome. Proc. Natl. Acad. Sci. USA. 114, 6758–6763.
- Johann to Berens P., Molinier J. (2020) Formation and recognition of UV-induced DNA damage within genome complexity. Int. J. Mol. Sci. 21, 6689.
- Moan J., Porojnicu A.C., Dahiback A. (2008) Ultraviolet radiation and malignant melanoma. Adv. Exp. Med. Biol. 624, 104–116.
- Ting W., Schultz K., Cac N.N., Peterson M., Walling H.W. (2007) Tanning bed exposure increases the risk of malignant melanoma. Int. J. Dermatol. 46, 1253–1257.
- Cadet J., Douki T., Ravanat J.-L. (2015) Oxidatively generated damage to cellular DNA by UVB and UVA radiation. Photochem. Photobiol. 91, 140–155.
- Фрайкин Г.Я. (2016) Молекулярные механизмы деструктивных, защитных и регуляторных фотобиологических процессов. Москва: АР-Консалт, 88 c.
- Schreier W.J., Gilch P., Zinth W. (2015) Early events of DNA photodamage. Annu. Rev. Phys. Chem. 66, 497–519.
- Martinez-Fernandez L., Improta R. (2018) Sequence dependence on DNA photochemistry: a computational study of photodimerization pathways in TpdC and dCpT dinucleotides. Photochem. Photobiol. Sci. 17, 586–591.
- Schreier W.J., Kubon J., Regner N., Haiser K., Schrader T.E., Zinth W., Clivio P., Gilch P. (2009) Thymine dimerization in DNA model systems: cyclobutane photolesion is predominantly formed via the singlet channel. J. Am. Chem. Soc. 131, 5038–5039.
- Pilles B.M., Bucher D.B., Liu L., Clivio P., Zinth W., Schreier W.J. (2014) Mechanism of the decay of thymine triplets in DNA single strands. J. Phys. Chem. Lett. 5, 1616–1622.
- Liu L., Pilles B.M., Gontcharov J., Bucher D.B., Zinth W. (2016) Quantum yield of cyclobutane pyrimidine dimer formation via the triplet channel determined by photosensitization. J. Phys. Chem. B. 120, 292–298.
- Douki T., Berard I., Wack A., Andra S. (2014) Contribution of cytosine-containing cyclobutane dimers to DNA damage produced by photosensitized triplet-triplet energy transfer. Chem. Eur. J. 20, 5787–5794.
- Markovitsi D. (2016) UV-induced DNA damage: the role of electronic excited states. Photochem. Photobiol. 92, 45–51.
- Chung L.H., Murray V. (2018) An extended sequence specificity for UV-induced DNA damage. J. Photochem. Photobiol. B: Biol. 178, 133–142.
- Cuquerella M.C., Lhiaubet-Vallet V., Cadet J., Miranda M.A. (2012) Benzophenone photosensitized DNA damage. Acc. Chem. Res. 45, 1558–1570.
- Aparici-Espert I., Garcia-Lainez G., Andreu I., Miranda M.A., Lhiaubet-Vallet V. (2018) Oxidatively generated lesions as internal photosensitizers for pyrimidine dimerization in DNA. ACS Chem. Biol. 13, 542–547.
- Frances-Monerris A., Hognon C., Miranda M.A., Lhiaubet-Vallet V., Monari A. (2018) Triplet photosensitization mechanism of thymine by an oxidized nucleobase: from a dimeric model to DNA environment. Phys. Chem. Chem. Phys. 20, 25666–25675.
- Frances-Monerris A., Lineros-Rosa M., Miranda M.A., Lhiaubet-Vallet V., Monari A. (2020) Photoinduced intersystem crossing in DNA oxidative lesions and epigenetic intermediates. Chem. Commun. 56, 4404–4407.
- Vendrell-Criado V., Rodriguez-Muniz G.M., Lhiaubet-Vallet V., Cuquerella M.C., Miranda M.A. (2016) The (6-4) dimeric lesion as a DNA photosensitizer. Chem. Phys. Chem. 17, 1979–1982.
- Douki T. (2020) Pyrimidine (6-4) pyrimidone photoproducts in UVA-irradiated DNA: photosensitization or photoisomerization? ChemPhotoChem. 4, 294–299.
- Gontcharov J., Liu L., Pilles B.M., Carell T., Schreier W.J., Zinth W. (2019) Triplet-induced lesion formation at CpT and TpC sites in DNA. Chem. Eur. J. 25, 15164–15172.
- Lee W., Matsika S. (2020) Stabilization of the triplet biradical intermediate of 5-methylcytosine enhances cyclobutane pyrimidine dimer (CPD) formation in DNA. Chem. Eur. J. 26, 14181–14186.
- Baptista M.S., Cadet J., Di Mascio P., Ghogare A.A., Greer A., Hamblin M.R., Lorente C., Nunez S.C., Ribeiro M.S., Thomas A.H., Vignoni M., Yoshimura T.M. (2017) Type I and type II photosensitized oxidation reactions: guidelines and mechanistic pathways. Photochem. Photobiol. 93, 912–919.
- Cadet J., Loft S., Olinski R., Evans D., Bialkowski K., Wagner J.R., Dedon P.C., Moller P., Greenberg M.M., Cooke M.S. (2012) Biologically relevant oxidants and terminology, classification and nomenclature of oxidatively generated damage to nucleobases and 2-deoxyribose in nucleic acids. Free. Radic. Res. 46, 367–381.
- Baptista M.S., Cadet J., Greer A., Thomas A.H. (2021) Photosensitization reactions of biomolecules: definition, targets and mechanisms. Photochem. Photobiol. 97, 1456–1483.
- Красновский А.А., мл. (2004) Фотодинамическое действие и синглетный кислород. Биофизика. 49, 305–321.
- DiMascio P., Martinez G.R., Miyamoto S., Ronsein G.E., Medeiros M.H.G., Cadet J. (2019) Singlet molecular oxygen reactions with nucleic acids, lipids, and proteins. Chem. Rev. 119, 2043–2086.
- Dumont E., Gruber R., Bignon E., Morell C., Moreau Y., Monari A., Ravanat J.-L. (2016) Probing the reactivity of singlet oxygen with purines. Nucl. Acids Res. 44, 56–62.
- Ravanat J.-L., Dumont E. (2022) Reactivity of singlet oxygen with DNA, an update. Photochem. Photobiol. 98, 564–571.
- Cadet J., Douki T., Ravanat J.-L. (2008) Oxidatively generated damage to the guanine moiety: mechanistic aspects and formation in cells. Acc. Chem. Res. 41, 1074–1081.
- Cadet J., Douki T., Ravanat J. (2010) Oxidatively generated damage to DNA. Free Radic. Biol. Med. 49, 9–21.
- Фрайкин Г.Я., Беленикина Н.С., Рубин А.Б. (2018) Повреждающие и защитные процессы, индуцированные в клетках растений УФВ-излучением. Изв. РАН. Сер. биол. 45(6), 583–592.
- Cadet J., Douki T., Ravanat J.-L., Di Mascio P. (2009) Sensitized formation of oxidatively generated damage to cellular DNA by UVA radiation. Photochem. Photobiol. Sci. 8, 903–911.
- Cadet J., Douki T. (2011) Oxidatively generated damage to DNA by UVA radiation in cells and human skin. J. Invest. Dermatol. 131, 1005–1007.
- Cadet J., Wagner J.R. (2014) Oxidatively generated base damage to cellular DNA by hydroxyl radical and one-electron oxidants: similarities and differences. Arch. Biochem. Biophys. 557, 47–54.
- Ravanat J.-L., Cadet J., Douki T. (2012) Oxidatively generated DNA lesions as potential biomarkers of in vivo oxidative stress. Curr. Mol. Med. 12, 655–671.
- Cadet J., Davies K.J.A., Medeiros M.H., Di Mascio P., Wagner J.R. (2017) Formation and repair of oxidatively generated damage in cellular DNA. Free Radic. Biol. Med. 107, 13–34.
- Cadet J., Douki T. (2011) Measurement of oxidatively generated base damage in cellular DNA. Mutat. Res. 711, 3–12.
- Pelle E., Huang X., Mammone T., Marenus K., Maes D., Frenkel K. (2003) Ultraviolet-B-induced oxidative DNA base damage in primary normal human epidermal keratinocytes and inhibition by a hydroxyl radical scavenger. J. Invest. Dermatol. 121, 177–183.
- Greenberg M.M. (2012) The formamidopyrimidines: рurine lesions formed in competition with 8-oxopurines from oxidative stress. Acc. Chem. Res. 45, 588–597.
- Rokhlenko Y., Cadet J., Geacintov N.E., Shafirovich V. (2014) Mechanistic aspects of hydration of guanine radical cations in DNA. J. Am. Chem. Soc. 136, 5956–5962.
- Cadet J., Wagner J.R., Shafirovich V., Geacintov N.E. (2014) One-electron oxidation reactions of purine and pyrimidine bases in cellular DNA. Int. J. Radiat. Biol. 90, 423–432.
- Aroun A., Zhong J.L., Tyrrell R.M., Pourzand C. (2012) Iron, oxidative stress and the example of solar ultraviolet A-radiation. Photochem. Photobiol. Sci. 11, 118–134.
- Sander C.S., Chang H., Hamm F., Elsner P., Thiele J.J. (2004) Role of oxidative stress and the antioxidant network in cutaneous carcinogenesis. Int. J. Dermatol. 43, 326–335.
- Фрайкин Г.Я., Страховская М.Г., Рубин А.Б. (2000) Индуцированные светом процессы защиты клеток от фотоповреждений. Биохимия. 65, 865–875.
- Strakhovskaya M.G., Shumarina A.O., Fraikin G. Ya., Rubin A.B. (1999) Endogenous porphyrin accumulation and photosensitization in the yeast Saccharomyces cerevisiae in the presence of 2,2ʹ-dipyridyl. J. Photochem. Photobiol. B: Biol. 49, 18–22.
- Шумарина А.О., Страховская М.Г., Туровецкий В.Б., Фрайкин Г.Я. (2003) Фотодинамическое повреждение субклеточных структур дрожжей с индуцированным накоплением эндогенного протопорфирина IX. Микробиология.72, 488–492.
- Фрайкин Г.Я., Страховская М.Г., Пиняскина Е.В. (1995) О локализации порфиринового соединения в плазматических мембранах дрожжей и его участии в фотосенсибилизации перекисного окисления липидов. Биохимия. 60, 1155–1160.
- Fraikin G. Ya., Strakhovskaya M.G., Rubin A.B. (1996) The role of membrane-bound porphyrin-type compound as endogenous sensitizer in photodynamic damage to yeast plasma membranes. J. Photochem. Photobiol. B: Biol. 34, 129–135.
- Страховская М.Г., Шумарина А.О., Фрайкин Г.Я., Рубин А.Б. (2002) Фотовыцветание флуоресценции эндогенного протопорфирина IX в дрожжевых клетках. Биофизика. 47, 852–857.
- Blair I.A. (2008) DNA adducts with lipid peroxidation products. J. Biol. Chem. 283, 15545–15549.
- Фрайкин Г.Я., Страховская М.Г., Рубин А.Б. (2013) Биологические фоторецепторы светозависимых регуляторных процессов. Биохимия. 78, 1576–1594.
- Вечтомова Ю.Л., Телегина Т.А., Крицкий М.С. (2020) Эволюция белков семейства ДНК-фотолиаз/криптохромов. Успехи биол. химии. 60, 277–316.
- Фрайкин Г.Я. (2022) Фотосенсорные и сигнальные свойства криптохромов. Вестн. Моск. ун-та. Сер. 16. Биология. 77, 65–75.
- Fuentes-Lemus E., Mariotti M., Reyes J., Leinisch F., Hagglund P., Silva E., Davies M.J., Lopez-Alarcon C. (2020) Photooxidation of lysozyme triggered by riboflavin is O2-dependent, occurs via mixed type 1 and type 2 pathways, and results in inactivation, site-specific damage and intra-and inter-molecular cross-links. Free. Radic. Biol. Med. 152, 61–73.
- Perrier S., Hau J., Gasparutto D., Cadet J., Favier A., Ravanat J.-L. (2006) Characterization of lysine-guanine cross-links upon one-electron oxidation of a guanine-containing oligonucleotide in the presence of a trilysine peptide. J. Am. Chem. Soc. 128, 5703–5710.
- Bignon E., Chan C.H., Morell C., Monari A., Ravanat J.-L., Dumont E. (2017) Molecular dynamics insights into polyamine-DNA binding modes: implications for cross-link selectivity. Chemistry. 23, 12845–12852.
- Chan C.H., Monari A., Ravanat J.-L., Dumont E. (2019) Probing interaction of a trilysine peptide with DNA underlying formation of guanine-lysine cross-links: insights from molecular dynamics. Phys. Chem. Chem. Phys. 21, 23418–23424.
- Ito K., Inoue S., Yamamoto K., Kawanishi S. (1993) 8-Hydroxydeoxyguanosine formation at the 5ʹ-site of 5ʹ-GG-3ʹ sequences in double-stranded DNA by UV radiation with riboflavin. J. Biol. Chem. 268, 13221–13227.
- Yamamoto F., Nashimura S., Kasai H. (1992) Photosensitized formation of 8-hydroxydeoxyguanosine in cellular DNA by riboflavin. Biochem. Biophys. Res. Commun. 187, 809–813.
- Oliveros E., Dantola M.L., Vignoni M., Thomas A.H., Lorente C. (2011) Production and quenching of reactive oxygen species by pterin derivatives, an intriguing class of biomolecules. Pure Appl. Chem. 83, 801–811.
- Rokos H., Beazley W.D., Schallreuter K.U. (2002) Oxidative stress in vitiligo: photo-oxidation of pterins produces H2O2 and pterin-6-carboxylic acid. Biochem. Biophys. Res. Commun. 292, 805–811.
- Buglak A.A., Telegina T.A., Lyudnikova T.A., Vechtomova Y.L., Kritsky M.S. (2014) Photooxidation of tetrahydrobiopterin under UV irradiation: possible pathways and mechanisms. Photochem. Photobiol. 90, 1017–1026.
- Buglak A.A., Telegina T.A., Vechtomova Y.L., Kritsky M.S. (2021) Autooxidation and photooxidation of tetrahydrobiopterin: a theoretical study. Free Radic. Res. 55, 499–509.
- Thomas A.H., Lorente C., Capparelli A.L., Martinez C.G., Braun A.M., Oliveros E. (2003) Singlet oxygen (1Δg) production by pterin derivatives in aqueous solutions. Photochem. Photobiol. Sci. 2, 245–250.
- Buglak A.A., Telegina T.A., Kritsky M.S. (2016) A quantitative structure-property relationship (QSPR) study of singlet oxygen generation by pteridines. Photochem. Photobiol. Sci. 15, 801–811.
- Dantola M.L., Vignoni M., Gonzalez C., Lorente C., Vicendo P., Oliveros E., Thomas A.H. (2010) Electron-transfer processes induced by the triplet state of pterins in aqueous solutions. Free Radic. Biol. Med. 49, 1014–1022.
- Vignoni M., Cabrerizo F.M., Lorente C., Thomas A.H. (2009) New results on the photochemistry of biopterin and neopterin in aqueous solution. Photochem. Photobiol. 85, 365–373.
- Vignoni M., Salum M.L., Erra-Balsells R., Thomas A.H., Cabrerizo F.M. (2010) 1H NMR characterization of the intermediate formed upon UV-A excitation of biopterin, neopterin and 6-hydroxymethylpterin in O2-free aqueous solutions. Chem. Phys. Lett. 484, 330–332.
- Dantola M.L., Reid L.O., Castano C., Lorente C., Oliveros E., Thomas A.H. (2017) Photosensitization of peptides and proteins by pterin derivatives. Pteridines. 28, 105–114.
- Lorente C., Serrano M.P., Vignoni M., Dantola M.L., Thomas A.H. (2021) A model to understand type I oxidations of biomolecules photosensitized by pterins. J. Photochem. Photobiol. 7, 100045.
- Ito K., Kawanishi S. (1997) Photoinduced hydroxylation of deoxyguanosine in DNA by pterins: sequence specificity and mechanism. Biochemistry. 36, 1774–1781.
- Hirakawa K., Suzuki H., Oikawa S., Kawanishi S. (2003) Sequence-specific DNA damage induced by ultraviolet A-irradiated folic acid via its photolysis product. Arch. Biochem. Biophys. 410, 261–268.
- Petroselli G., Dantola M.L., Cabrerizo F.M., Capparelli A.L., Lorente C., Oliveros E., Thomas A.H. (2008) Oxidation of 2ʹ-deoxyguanosine 5ʹ-monophosphate photoinduced by pterin: type I versus type II mechanism. J. Am. Chem. Soc. 130, 3001–3011.
- Serrano M.P., Lorente C., Vieyra F.E.M., Borsarelli C.D., Thomas A.H. (2012) Photosensitizing properties of biopterin and its photoproducts using 2ʹ-deoxyguanosine 5ʹ-monophosphate as an oxidizable target. Phys. Chem. Chem. Phys. 14, 11657–11665.
- Serrano M.P., Lorente C., Borsarelli C.D., Thomas A.H. (2015) Unraveling the degradation mechanism of purine nucleotides photosensitized by pterins: the role of charge-transfer steps. ChemPhysChem. 16, 2244–2252.
- Serrano M.P., Vignoni M., Lorente C., Vicendo P., Oliveros E., Thomas A.H. (2016) Thymidine radical formation via one-electron transfer oxidation photoinduced by pterin: mechanism and products characterization. Free Radic. Biol. Med. 96, 418–431.
- Estebanez S., Lorente C., Tosato M.G., Miranda M.A., Marin M.L., Lhiaubet-Vallet V., Thomas A.H. (2019) Photochemical formation of a fluorescent thymidine–pterin adduct in DNA. Dyes Pigments. 160, 624–632.
- Бурчуладзе Т.Г., Фрайкин Г.Я. (1991) Изучение механизма NADH-сенсибилизируемого образования разрывов в ДНК при облучении ближним УФ-светом. Молекуляр. биология. 25, 955–959.
- Lytvyn D.I., Yemets A.I., Blume Y.B. (2010) UV-B overexposure induces programmed cell death in a BY-2 tobacco cell line. Environ. Exp. Bot. 68, 51–57.
- Nawkar G.M., Maibam P., Park J.H., Sahi V.P., Lee S.Y., Kang C.H. (2013) UV-induced cell death in plants. Int. J. Mol. Sci. 14, 1608–1628.
- Takahashi S., Kojo K.H., Kutsuna N., Endo M., Toki S., Isoda H., Hasezawa S. (2015) Differential responses to high- and low-dose ultraviolet-B stress in tobacco Bright Yellow-2 cells. Front. Plant Sci. 6, 1–10.
- Yoshiyama K., Kobayashi J., Ogita N., Ueda M., Kimura S., Maki H., Umeda M. (2013) ATM-mediated phosphorylation of SOG1 is essential for the DNA damage response in Arabidopsis. EMBO Rep. 14, 817–822.
- Halliday G.M., Cadet J. (2012) Itʹs all about position: the basal layer of human epidermis is particularly susceptible to different types of sunlight-induced DNA damage. J. Invest. Dermatol. 132, 265–267.
- Tewari A., Grage M.M.L., Harrison G.I., Sarkany R., Young A.R. (2013) UVA1 is skin deep: molecular and clinical implications. Photochem. Photobiol. Sci. 12, 95–103.
- Delinasios G.J., Karbaschi M., Cooke M.S., Young A.R. (2018) Vitamin E inhibits the UVA1 induction of “light” and “dark” cyclobutane pyrimidine dimers, and oxidatively generated DNA damage, in keratinocytes. Sci. Rep. 8, 423.
- Lawrence K.P., Douki T., Sarkany R.P.E., Acker S., Herzog B., Young A.R. (2018) The UV/Visible radiation boundary region (385–405 nm) damages skin cells and induces “dark” cyclobutane pyrimidine dimers in human skin in vivo. Science. 8, 12722.
- Mouret S., Forestier A., Douki T. (2012) The specificity of UVA-induced DNA damage in human melanocytes. Photochem. Photobiol. Sci. 11, 155–162.
- Noonan F.P., Zaidi M.R., Wolnicka-Glubisz A., Anver M.R., Bahn J., Wielgus A., Cadet J., Douki T., Mouret S., Tucker M.A., Popratiloff A., Merlino G., De Fabo E.C. (2012) Melanoma induction by ultraviolet A but not ultraviolet B requires melanin pigment. Nat. Commun. 3, 884.
- Premi S., Wallisch S., Mano C.M., Weiner A.B., Bacchiocchi N., Wakamatsu K., Bechara E.J., Halaban R., Douki T., Brash D.E. (2015) Photochemistry. Chemiexcitation of melanin derivatives induces DNA photoproducts long after UV exposure. Science. 347, 842–847.
- Premi S., Brash D.E. (2016) Unanticipated role of melanin in causing carcinogenic cyclobutane pyrimidine dimers. Mol. Cell. Oncol. 3, e1033588.
- Premi S., Brash D.E. (2016) Chemical excitation of electrons: a dark path to melanoma. DNA Repair (Amsterdam). 44, 169–177.
- Fajuyigbe D., Douki T., van Dijk A., Sarkany R.P.E., Young A.R. (2021) Dark cyclobutane pyrimidine dimers are formed in the epidermis of Fizpatrick skin types I/II and VI in vivo after exposure to solar-simulated radiation. Pigment Cell Melanoma Res. 34, 575–584.
Supplementary files







