Studying the geroprotective properties of the ATM inhibitor KU-60019 on three Drosophila species with different life span
- Authors: Koval L.A.1, Zemskaya N.V.1, Pakshina N.R.1, Shaposhnikov M.V.1, Moskalev А.А.1
-
Affiliations:
- Komi Science Centre of the Ural Branch, Russian Academy of Sciences
- Issue: Vol 58, No 5 (2024)
- Pages: 719-742
- Section: СТАРЕНИЕ И ГЕРОПРОТЕКТОРНЫЕ ТЕХНОЛОГИИ
- URL: https://journal-vniispk.ru/0026-8984/article/view/281583
- DOI: https://doi.org/10.31857/S0026898424050042
- EDN: https://elibrary.ru/HURGGP
- ID: 281583
Cite item
Full Text
Abstract
The serine/threonine protein kinase ATM (ataxia-telangiectasia mutated) performs a number of functions in the cell that are interrelated with the aging process. In addition to regulating the cellular response to DNA damage, ATM phosphorylates vacuolar ATPase, leading to lysosome degradation and cellular senescence. In this work, we analysed the geroprotective potential of KU-60019, a selective ATM inhibitor, using individuals of three Drosophila species with different lifespans. KU-60019 was shown to increase the lifespan of individuals of the long-lived species D. virilis and individuals of a species with moderate lifespan D. melanogaster. However, in individuals of the short-lived species D. kikkawai, longevity is reduced after KU-60019 treatment. At the same time, KU-60019 treatment increases survival of Drosophila individuals of the three species under hyperthermia, oxidative stress and starvation, but has no effect on age-dependent changes in the level of locomotor activity. Suppression of tefu gene expression (ATM homologue) by RNA interference also causes an increase in longevity and stress tolerance of D. melanogaster individuals compared to individuals of control lines. Thus, the effect of KU-60019 on longevity varies depending on the Drosophila species, which may be related to the previously established differences of transcriptomes in the studied species and requires further experimental study.
Keywords
Full Text
Введение
Белок ATM (ataxia-telangiectasia mutated) представляет собой серин/треониновую протеинкиназу, высококонсервативную у эукариот [1]. ATM локализуется преимущественно в ядре и быстро активируется при повреждениях ДНК сигнальным комплексом Mre11-Rad50-Nbs1 (MRN) или независимо от комплекса MRN в ответ на окислительный стресс [2]. ATM фосфорилирует более 700 мишеней, включая белки, участвующие в репарации повреждений ДНК, регуляции биогенеза микроРНК, контроле клеточного цикла и апоптозе [3–6].
Мутация в гене ATM у человека может приводить к развитию атаксии-телеангиэктазии – редкого генетического заболевания, известного также, как синдром Луи-Бара, которое характеризуется повышенной чувствительностью к ионизирующему излучению, нейродегенерацией, иммунодефицитом, предрасположенностью к раку, метаболическими нарушениями и преждевременным старением – большинство таких пациентов умирают в возрасте 20–30 лет [7, 8]. Сходный спектр нарушений отмечен также у мышей с дефицитом ATM [9], крыс [10], рыб Danio rerio [11] и дрозофил с мутацией ATM [12–14]. Вместе с тем, описаны однонуклеотидные полиморфизмы гена ATM, ассоциированные с долгожительством у человека [15–17].
Кроме того, ATM выполняет ряд функций, которые не имеют прямой связи с ответом на повреждение ДНК, но связаны с процессом старения, включая клеточный ответ на окислительный стресс [18], метаболизм глюкозы [19], гомеостаз митохондрий [20], костный метаболизм [21], иммунный ответ [22], аутофагию [23, 24], воспаление [10, 25], поддержание теломер [14, 26], регуляцию активности лизосом [27].
В недавних исследованиях Kang и соавт. [27] и Kuk и соавт. [28] показано, что подавление активности ATM может иметь геропротекторный потенциал. Так, при клеточном старении вакуолярная АТРаза (V-АТРаза), участвующая в регуляции активности лизосом, фосфорилируется киназой ATM, что ведет к нарушению функции лизосом, снижению аутофагии и последующему накоплению дисфункциональных митохондрий с избыточной продукцией активных форм кислорода [27]. Подавление активности ATM селективным ингибитором KU-60019 в спонтанно и ускоренно стареющих клетках вызывает снижение фосфорилирования V-АТРазы, восстанавливает активность лизосом и активирует процесс аутофагии, тем самым способствует удалению дисфункциональных митохондрий [27, 28].
Таким образом, можно заключить, что протеинкиназа ATM имеет большое количество связанных с клеточным старением мишеней фосфорилирования и вовлечена в регуляцию продолжительности жизни организма. При этом геропротекторный потенциал ингибиторов ATM слабо изучен.
У Drosophila melanogaster описаны два белка ответа на повреждение, которые входят в семейство киназ ATM: meiotic 41 (mei-41), гомологичный ATR [29, 30] и telomere fusion (tefu), который имеет гомологию с ATM человека [30–32]. Наличие данных белков позволяет использовать муху в качестве модели при оценке геропротекторного потенциала свойств ингибирования ATM.
В настоящей работе мы проанализировали геропротекторный потенциал специфического ингибитора киназы ATM – KU-60019, используя в качестве модели особи трех видов дрозофил: D. melanogaster, D. kikkawai и D. virilis с различной продолжительностью жизни, а также D. melanogaster с опосредованным РНК-интерференцией нокдауном гена tefu. Проанализированы изменения в продолжительности жизни, стрессоустойчивости и спонтанной активности мух.
Экспериментальная часть
Линии Drosophila. Короткоживущая линия вида D. kikkawai и долгоживущая линия вида D. virilis предоставлены В. Гладышевым (Гарвард, США). Линии D. melanogaster получены из коллекции дрозофил “Bloomington Drosophila Stock Center” Университета Индианы США. В качестве линии с умеренной продолжительностью жизни использовали линию дикого типа Canton-S (#64349, далее обозначена как CS) D. melanogaster. В качестве драйверной линии использовали da-GAL4 (#55849), которая экспрессирует активатор транскрипции GAL4 во всех клетках организма, а в качестве активируемой линии – линию UAS-RNAi-tefu (#31635), которая экспрессирует дцРНК под контролем GAL4-активируемого промотора UAS для подавления экспрессии гена tefu.
Подавление экспрессии гена tefu. Для нокдауна гена tefu (гомолог ATM [30]) виргинных самок линии UAS-RNAi-tefu скрещивали с самцами линии da-GAL4. Полученные потомки F1 с генотипом da-GAL4 > RNAi-tefu характеризовались сайленсингом гена tefu, опосредованным интерференцией РНК (RNAi). Подавление экспрессии tefu происходило во всех клетках организма на протяжении всего жизненного цикла. Эффективность и специфичность используемого РНК-интерференционного реагента (P{TRiP.JF01422}attP2) подтверждена данными, представленными в базе данных FlyRNAi [33].
Условия содержания дрозофил. Для культивирования дрозофил и постановки экспериментов использовали климатические камеры Binder KBF720-ICH (“Binder”, Германия). Мух содержали при температуре 25°С, относительной влажности воздуха 60% и 12 ч режиме освещения. Использовали питательную среду следующего состава: вода – 1 л, кукурузная мука – 92 г, сухие дрожжи – 32.1 г, агар-агар – 5.2 г, глюкоза – 136.9 г. Пропионовую кислоту – 5 мл и нипагин – 10 мл 10%-ного раствора в 95%-ном этаноле добавляли для снижения микробной нагрузки. Данная питательная среда, как показано ранее, не снижает показатели репродукции D. melanogaster и не влияет на продолжительность жизни в ряду поколений [34]. Ряд исследований, проведенных в нашей лаборатории, также подтвердил оптимальность этой среды для экспериментального изучения продолжительности жизни у D. melanogaster [35, 36]. Сходство компонентного состава данной питательной среды и среды, используемой при поддержании коллекции видов дрозофил в Корнельском университете (“National Drosophila Species Stock Center”, США) позволило предположить, что она пригодна для оценки продолжительности жизни у всех трех видов Drosophila.
Обработка ингибитором ATM. На поверхность питательной среды наносили 30 мкл раствора KU-60019 (#531978, “Sigma-Aldrich”, США) в 96%-ном этиловом спирте в концентрации 1 и 100 мкмоль/л (мкМ). На среду контрольной группы животных наносили 30 мкл 96%-ого этилового спирта. Концентрация ингибитора ATM 1 мкМ была выбрана на основании экспериментальных данных, полученных на культуре клеток [28]. Использовали также увеличенную на два порядка концентрацию – 100 мкМ. Экспериментальные особи получали KU-60019 в составе питательной среды 2 раза в неделю в течение всей жизни.
Анализ продолжительности жизни. Контрольные и экспериментальные особи были собраны в течение 24 ч после вылупления имаго. С использованием углекислотного наркоза мух сортировали по полу и рассаживали в пробирки размером 25 мм × 95 мм “Narrow Drosophila Vials” (# 32–109, “Genesee Scientific”, США) по 30 особей. Мух переносили на свежую среду 2 раза в неделю. Число умерших особей подсчитывали ежедневно, начиная с первого дня жизни имаго. На основании полученных данных рассчитывали медианную (50-й перцентиль) и максимальную (90-й перцентиль) продолжительность жизни (ПЖ) и строили кривые выживаемости. В каждом варианте анализировали по 150 особей. Каждый эксперимент повторяли 2–3 раза.
Анализ стрессоустойчивости. Оценивали устойчивость к гипертермии (35°C), окислительному стрессу и голоданию. Мух содержали на среде, содержащей 2% агар-агара и 5% сахарозы. В случае анализа устойчивости мух к окислительному стрессу в среду добавляли 20 ммоль/л (мМ) параквата (#856177, “Sigma-Aldrich”, США). При оценке устойчивости к голоданию сахарозу в питательную среду не добавляли. В возрасте 14 сут исследуемые мухи подвергались воздействию факторов стресса. Мы исходили из предположения, что 14 дней обработки ингибитором достаточно для того, чтобы вещество повлияло на активность ATM, тогда как еще не наблюдался эффект возрастного снижения стрессоустойчивости. Гибель мух в описанных условиях стресса оценивали с использованием монитора активности DAM2 (Drosophila Activity Monitor, “Trikinetics”, США). Мух рассаживали по одной особи в стеклянный капилляр (диаметр 5 мм, длина 60 мм) для записи активности. Время гибели мух определяли по полному прекращению двигательной активности. На основании полученных данных было рассчитано медианное время выживаемости в часах (50-й перцентиль) и построены кривые выживаемости. В каждом варианте анализировали по 32 самца и 32 самки. Каждый эксперимент повторяли 2–3 раза.
Анализ спонтанной локомоторной активности. Оценку активности проводили 1 раз в неделю у мух в возрасте от 1 до 10 недель. В каждом варианте эксперимента использовали четыре–пять пробирок по 10 мух в каждой. Использовали узкие пробирки улучшенной прозрачности “Drosophila Vials, Narrow (KR)” (#32–118, “Genesee Scientific”, США). Анализ проводили в мониторах активности LAM25 (Locomotor Activity Monitor, “TriKinetics”, США). При проведении теста пробирки находились в горизонтальном положении. Данные (количество срабатываний датчиков движения) с прибора записывали в течение 24 ч и представляли в виде средней суточной активности на одну особь.
Статистический анализ результатов. Достоверность различий между кривыми дожития оценивали с использованием логрангового критерия (критерий Мантеля–Кокса) [37], критерия Гехана–Бреслоу–Вилкоксона [38]. Статистическую значимость отличий во времени гибели по перцентилям оценивали с использованием точного критерия Фишера и теста Ванг–Аллисона (тест Бошлу) [39]. В случае множественного сравнения при расчете уровня значимости различий применяли поправку Бонферрони [40]. Статистическую значимость различий в спонтанной активности оценивали с помощью двухфакторного дисперсионного анализа (ANOVA) и пост-хок тест Тьюки [41]. Статистические данные анализировали с помощью программы Statistica, версия 13 (“TIBCO Software Inc.”, США), статистической среды R, версия 2.15.1 (The R Foundation) и онлайн приложения OASIS 2 [42].
Результаты исследования
Влияние KU-60019 на продолжительность жизни Drosophila
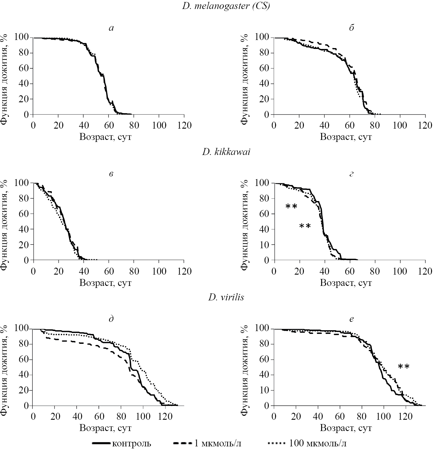
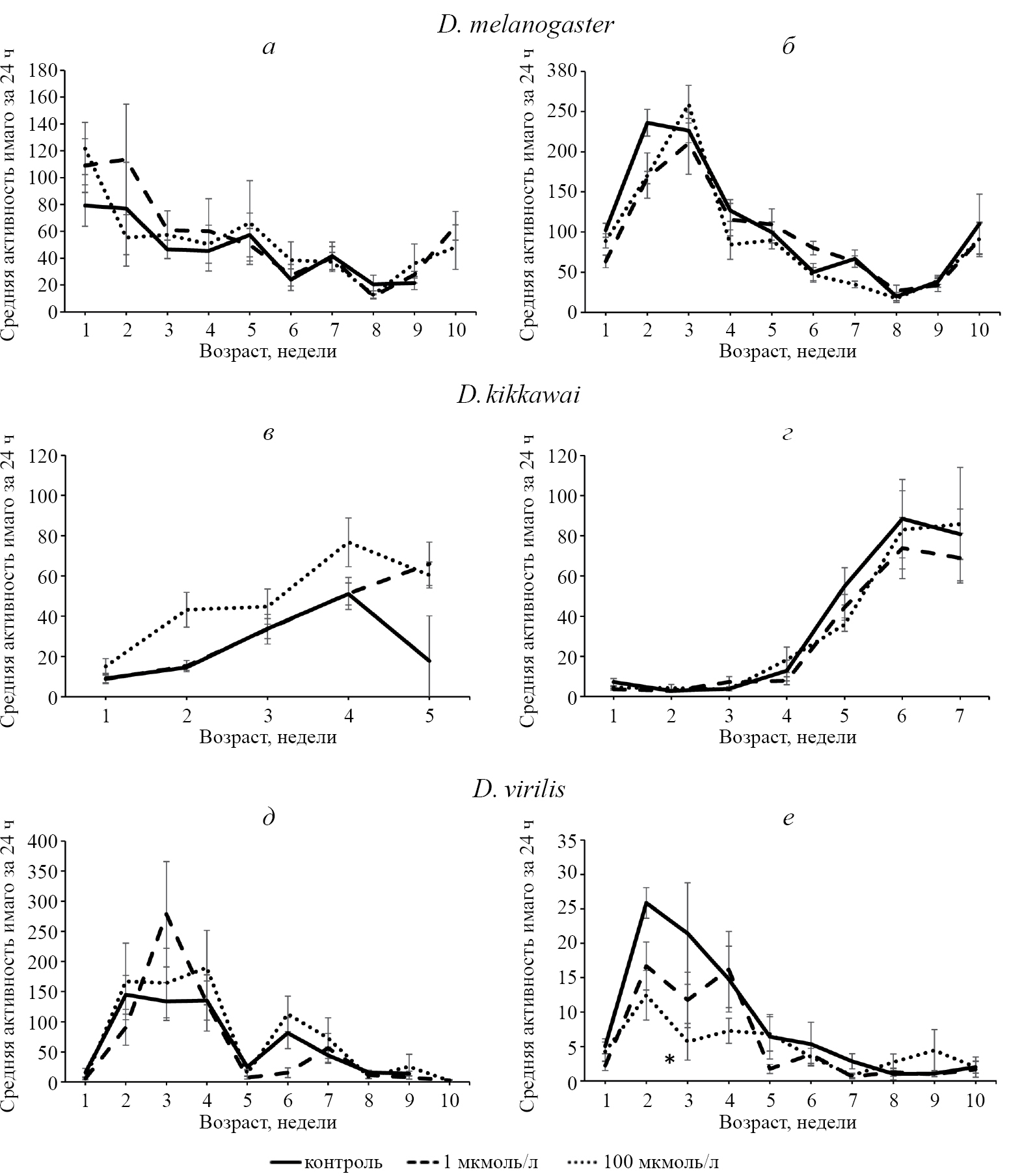
Изучали влияние KU-60019 в концентрациях 1 и 100 мкМ на ПЖ представителей трех видов рода Drosophila с разной ПЖ – D. melanogaster с умеренной ПЖ (рис. 1а,б, табл. 1), короткоживущего вида D. kikkawai (рис. 1в,г, табл. 1) и долгоживущего вида D. virilis (рис. 1д,е, табл. 1).
Рис. 1. Влияние ингибитора ATM KU-60019 в концентрациях 1 и 100 мкМ на продолжительность жизни самцов (а, в, д) и самок (б, г, е) рода Drosophila: D. melanogaster (CS), D. kikkawai, D. virilis. ** – р < 0.001, логранговый критерий с поправкой Бонферрони.
Таблица 1. Влияние ингибитора ATM KU-60019 на продолжительность жизни видов рода Drosophila
Вид Drosophila | KU-60019, мкМ | Пол | M, сут | dM, % | МК | ГВ | 90% (сут) | d90% (%) | ВА | N |
D. melanogaster (CS) | контроль | ♂ | 57 | n/a | n/a | n/a | 65 | n/a | n/a | 285 |
1 | ♂ | 57 | 0 | >0.05 | >0.05 | 64 | –2 | >0.05 | 285 | |
100 | ♂ | 57 | 0 | >0.05 | >0.05 | 64 | –2 | >0.05 | 295 | |
D. kikkawai | контроль | ♂ | 25 | n/a | n/a | n/a | 36 | n/a | n/a | 312 |
1 | ♂ | 25 | 0 | >0.05 | >0.05 | 36 | 0 | >0.05 | 279 | |
100 | ♂ | 23 | –8 | >0.05 | >0.05 | 33 | –8 | <0.01 | 319 | |
D. virilis | контроль | ♂ | 89 | n/a | n/a | n/a | 112 | n/a | n/a | 158 |
1 | ♂ | 88 | –1 | >0.05 | <0.05 | 112 | 0 | >0.05 | 158 | |
100 | ♂ | 98 | +10 | <0.0001 | <0.01 | 120 | +7 | <0.0001 | 165 | |
D. melanogaster (CS) | контроль | ♀ | 64 | n/a | n/a | n/a | 72 | n/a | n/a | 298 |
1 | ♀ | 66 | +3 | <0.05 | <0.05 | 74 | +3 | >0.05 | 277 | |
100 | ♀ | 64 | 0 | >0.05 | >0.05 | 72 | 0 | >0.05 | 282 | |
D. kikkawai | контроль | ♀ | 39 | n/a | n/a | n/a | 51 | n/a | n/a | 283 |
1 | ♀ | 38 | –3 | <0.001 | <0.01 | 45 | –12 | <0.001 | 309 | |
100 | ♀ | 38 | –3 | <0.001 | <0.01 | 45 | –12 | <0.0001 | 308 | |
D. virilis | контроль | ♀ | 96 | n/a | n/a | n/a | 118 | n/a | n/a | 163 |
1 | ♀ | 99 | +3 | >0.05 | >0.05 | 118 | 0 | >0.05 | 142 | |
100 | ♀ | 99 | +3 | <0.05 | >0.05 | 126 | +7 | <0.0001 | 157 |
Примечание. ♂ – самцы, ♀ – самки, M – медианная продолжительность жизни (сут), 90% – возраст 90% смертности (сут), dM и d90% – различия медианной продолжительности жизни и возраста 90% смертности между контрольными и экспериментальными линиями соответственно (%), ГВ – значение р по критерию Гехана–Вилкоксона, МК – значение р по критерию Мантеля–Кокса, ВА – значение р по тесту Ванг–Аллисона, n/a – неприменимо, N – количество особей в выборке.
Наблюдали увеличение медианной ПЖ у самок D. melanogaster (линия CS) на 3% при концентрации KU-60019 1 мкМ (p < 0.05), а также у самцов и самок D. virilis на 10 и 3%, соответственно, при концентрации KU-60019 100 мкМ (p < 0.0001 и p < 0.05). Кроме того, показано увеличение показателя максимальной ПЖ самцов и самок D. virilis на 7% при концентрации KU-60019 100 мкМ (p < 0.01). Медианная ПЖ снижалась у самок D. kikkawai на 3% (p < 0.001) в присутствии 1 и 100 мкМ KU-60019 (рис. 1, табл. 1). Максимальная ПЖ снижалась у самцов и самок D. kikkawai на 8% при концентрации исследуемого вещества 100 мкМ (p < 0.01) и на 12% – при 1 и 100 мкМ (p < 0.001). Полученные данные подтверждаются статистически значимым (p < 0.001) сдвигом кривых дожития влево у самок D. kikkawai при обеих изученных концентрациях и вправо у самок D. virilis при 100 мкМ KU-60019 (рис. 1г,е).
Таким образом, геропротекторный эффект KU-60019 выявлен у самцов и самок долгоживущего вида D. virilis и самок D. melanogaster с умеренной ПЖ. Напротив, у особей короткоживущего вида D. kikkawai отмечено снижение ПЖ после обработки KU-60019.
Влияние KU-60019 на стрессоустойчивость дрозофил
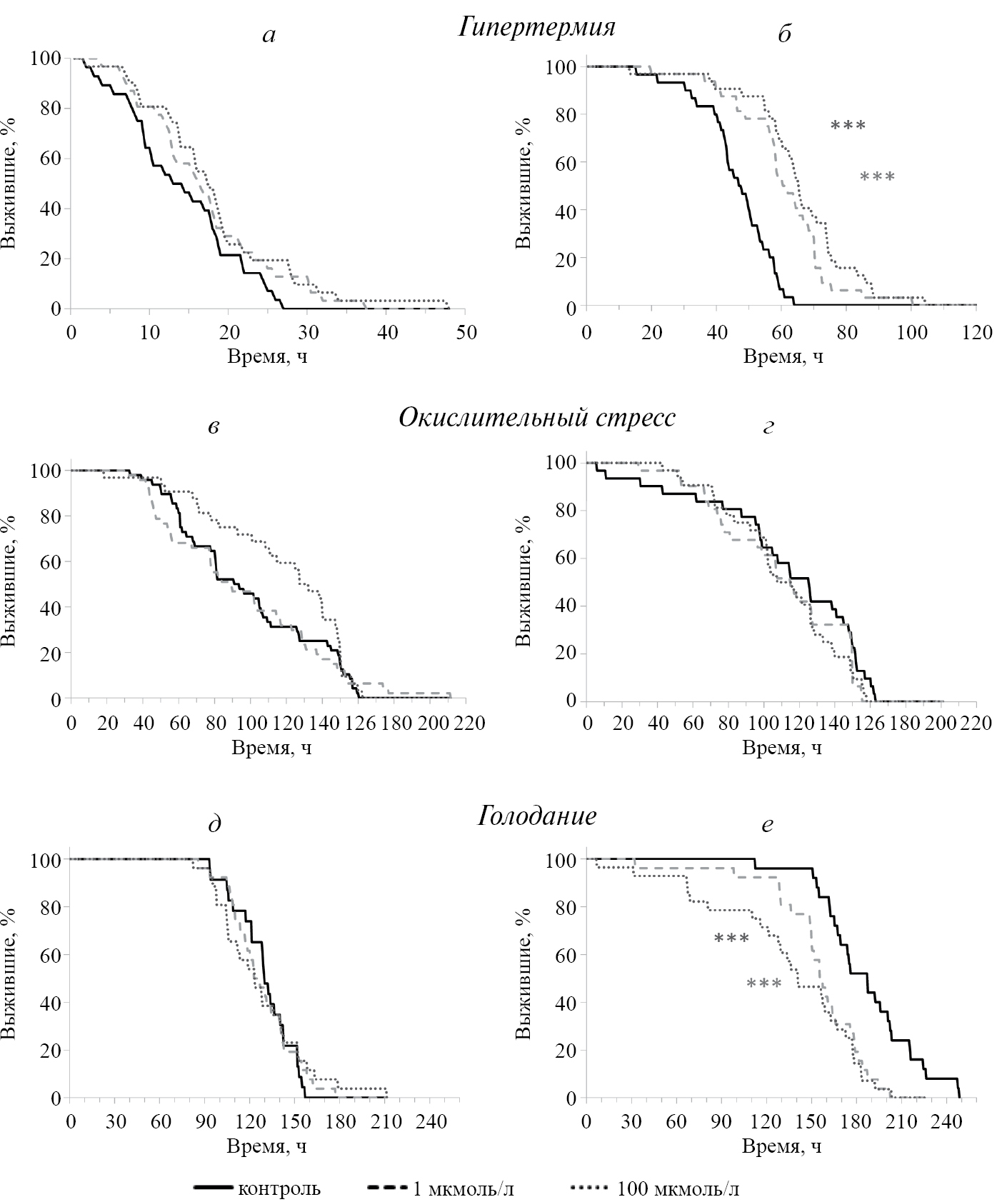
Исследовано влияние ингибитора ATM KU-60019 в концентрации 1 и 100 мкМ на выживаемость особей D. melanogaster (рис. 2, табл. 2), D. kikkawai (рис. 3, табл. 3) и D. virilis (рис. 4, табл. 4) в условиях гипертермии (35°C), окислительного стресса (паракват 20 мМ) и голодания (2%-ная агаровая среда без добавления сахарозы).
Рис. 2. Влияние ингибитора ATM KU-60019 в концентрации 1 и 100 мкМ на стрессоустойчивость самцов (а, в, д) и самок (б, г, е) D. melanogaster. * – p < 0.05, *** – p < 0.001, логранговый критерий с поправкой Бонферрони.
Таблица 2. Влияние ингибитора ATM KU-60019 на стрессоустойчивость особей D. melanogaster
Вариант | Пол | М, ч | dM, % | ВА | Ф | ЛР | N |
Гипертермия | |||||||
Контроль | ♂ | 8 | n/a | n/a | n/a | n/a | 64 |
1 мкМ KU60019 | ♂ | 9 | +13 | <0.001 | <0.001 | <0.001 | 64 |
100 мкМ KU60019 | ♂ | 9 | +13 | <0.001 | <0.001 | <0.001 | 63 |
Контроль | ♀ | 14 | n/a | n/a | n/a | n/a | 62 |
1 мкМ KU60019 | ♀ | 13 | –7 | >0.05 | >0.05 | >0.05 | 64 |
100 мкМ KU60019 | ♀ | 15 | +7 | >0.05 | >0.05 | <0.05 | 64 |
Окислительный стресс | |||||||
Контроль | ♂ | 42 | n/a | n/a | n/a | n/a | 59 |
1 мкМ KU60019 | ♂ | 41 | –2 | >0.05 | >0.05 | >0.05 | 64 |
100 мкМ KU60019 | ♂ | 44 | +5 | >0.05 | >0.05 | >0.05 | 64 |
Контроль | ♀ | 42 | n/a | n/a | n/a | n/a | 64 |
1 мкМ KU60019 | ♀ | 50 | +19 | >0.05 | >0.05 | >0.05 | 64 |
100 мкМ KU60019 | ♀ | 52 | +24 | >0.05 | >0.05 | >0.05 | 56 |
Голодание | |||||||
Контроль | ♂ | 30 | n/a | n/a | n/a | n/a | 64 |
1 мкМ KU60019 | ♂ | 30 | 0 | >0.05 | >0.05 | >0.05 | 63 |
100 мкМ KU60019 | ♂ | 35 | +17 | <0.001 | <0.01 | <0.001 | 62 |
Контроль | ♀ | 88 | n/a | n/a | n/a | n/a | 62 |
1 мкМ KU60019 | ♀ | 85 | –3 | >0.05 | >0.05 | >0.05 | 60 |
100 мкМ KU60019 | ♀ | 81 | –8 | >0.05 | >0.05 | >0.05 | 60 |
Примечания. Здесь и в табл. 3‒4. ♂ – самцы, ♀ – самки, M – время медианной выживаемости (ч), 90% – возраст 90% смертности (сут), dM – различия медианной выживаемости между контрольными и экспериментальными мухами (%), ВА – значение р по тесту Ванг–Аллисона, Ф – значение р по точному критерию Фишера, n/a – неприменимо, ЛР – значение р по логранговому критерию, N – количество особей в выборке.
Рис. 3. Влияние ингибитора ATM KU-60019 в концентрации 1 и 100 мкМ на стрессоустойчивость самцов (а, в, д) и самок (б, г, е) D. kikkawai. элементов: ** – p < 0.01, *** – p < 0.001, логранговый критерий с поправкой Бонферрони.
Таблица 3. Влияние ингибитора ATM KU-60019 на стрессоустойчивость особей D. kikkawai
Вариант | Пол | M, ч | dM, % | ВА | Ф | ЛР | N |
Гипертермия | |||||||
Контроль | ♂ | 15 | n/a | n/a | n/a | n/a | 32 |
1 мкM KU60019 | ♂ | 8 | –47 | <0.001 | <0.001 | <0.001 | 27 |
100 мкM KU60019 | ♂ | 10 | –33 | <0.001 | <0.001 | <0.01 | 31 |
Контроль | ♀ | 18 | n/a | n/a | n/a | n/a | 63 |
1 мкM KU60019 | ♀ | 52 | +189 | <0.001 | <0.001 | <0.001 | 62 |
100 мкM KU60019 | ♀ | 54 | +200 | <0.001 | <0.001 | <0.001 | 31 |
Окислительный стресс | |||||||
Контроль | ♂ | 11 | n/a | n/a | n/a | n/a | 32 |
1 мкM KU60019 | ♂ | 13 | +18 | >0.05 | >0.05 | >0.05 | 32 |
100 мкM KU60019 | ♂ | 15 | +36 | <0.001 | <0.001 | <0.001 | 32 |
Контроль | ♀ | 25 | n/a | n/a | n/a | n/a | 32 |
1 мкM KU60019 | ♀ | 32 | +28 | <0.01 | <0.01 | <0.001 | 32 |
100 мкM KU60019 | ♀ | 29 | +16 | >0.05 | >0.05 | <0.01 | 32 |
Голодание | |||||||
Контроль | ♂ | 40 | n/a | n/a | n/a | n/a | 28 |
1 мкM KU60019 | ♂ | 37 | –8 | >0.05 | >0.05 | >0.05 | 32 |
100 мкM KU60019 | ♂ | 36 | –10 | >0.05 | >0.05 | >0.05 | 24 |
Контроль | ♀ | 88 | n/a | n/a | n/a | n/a | 32 |
1 мкM KU60019 | ♀ | 83 | –6 | >0.05 | >0.05 | >0.05 | 31 |
100 мкM KU60019 | ♀ | 76 | –14 | <0.05 | <0.05 | >0.05 | 32 |
Рис. 4. Влияние ингибитора ATM KU-60019 в концентрации 1 и 100 мкМ на стрессоустойчивость самцов (а, в, д) и самок (б, г, е) D. virilis. *** – p < 0.001, логранговый критерий с поправкой Бонферрони.
Таблица 4. Влияние ингибитора ATM KU-60019 на стрессоустойчивость особей D. virilis
Вариант | Пол | M, ч | dM, % | Ф | ЛР | N |
Гипертермия | ||||||
Контроль | ♂ | 13 | n/a | n/a | n/a | 28 |
1 мкМ KU60019 | ♂ | 17 | +31 | >0.05 | >0.05 | 31 |
100 мкМ KU60019 | ♂ | 18 | +38 | >0.05 | <0.05 | 31 |
Контроль | ♀ | 48 | n/a | n/a | n/a | 30 |
1 мкМ KU60019 | ♀ | 61 | +27 | <0.001 | <0.001 | 32 |
100 мкМ KU60019 | ♀ | 66 | +38 | <0.001 | <0.001 | 32 |
Окислительный стресс | ||||||
Контроль | ♂ | 91 | n/a | n/a | n/a | 30 |
1 мкМ KU60019 | ♂ | 90 | –1 | >0.05 | >0.05 | 32 |
100 мкМ KU60019 | ♂ | 128 | +41 | <0.01 | >0.05 | 32 |
Контроль | ♀ | 126 | n/a | n/a | n/a | 31 |
1 мкМ KU60019 | ♀ | 115 | –9 | >0.05 | >0.05 | 31 |
100 мкМ KU60019 | ♀ | 108 | –14 | >0.05 | >0.05 | 32 |
Показано, что обработка самцов и самок D. melanogaster KU-60019 приводит к статистически значимому (p < 0.001) увеличению устойчивости к гипертермии (рис. 2а,б, табл. 2). Медианное время выживаемости при этом увеличивается на 13% у самцов после обработки KU-60019 в концентрации 1 и 100 мкМ и на 7% у самок после обработки KU-60019 в концентрации 100 мкМ. Статистически значимых эффектов KU-60019 на выживаемость особей D. melanogaster в условиях окислительного стресса не отмечено (рис. 2в,г, табл. 2). Также у самцов D. melanogaster после обработки KU-60019 в концентрации 100 мкМ наблюдается повышение устойчивости к голоданию – медианное время выживаемости увеличивается на 17% (рис. 2д,е, табл. 2).
У особей D. kikkawai обработка KU-60019 в концентрации 1 и 100 мкМ вызывает снижение медианного времени устойчивости к гипертермии у самцов на 47 и 33%, соответственно, и его повышение у самок на 189 и 200% соответственно (рис. 3а,б, табл. 3). Медианное время выживаемости в условиях окислительного стресса повышается как у самцов (на 36% после обработки 100 мкМ KU-60019), так и у самок – на 28 и 16% после обработки 1 и 100 мкМ KU-60019 соответственно (рис. 3в,г, табл. 3). У самок D. kikkawai обработка KU-60019 в концентрации 100 мкМ вызывает снижение медианной устойчивости к голоданию на 14% (рис. 2д,е, табл. 2).
Показано, что предварительная обработка D. virilis KU-60019 в условиях гипертермии вызывает увеличение медианного времени выживаемости: у самцов – на 38% (100 мкM KU-60019) и у самок – на 27 и 38% (1 и 100 мкМ KU-60019) соответственно (рис. 4а,б, табл. 4). Обработка самцов D. virilis KU-60019 в концентрации 100 мкМ приводит к увеличению медианного времени выживаемости в условиях окислительного стресса на 41% (рис. 4в,г, табл. 4). В то же время обнаружено снижение медианного времени выживаемости самок D. virilis в условиях голодания на 17 и 25% после обработки KU-60019 в концентрации 1 и 100 мкM соответственно (рис. 4д,е, табл. 4).
Таким образом, влияние KU-60019 на выживаемость особей рода Drosophila в условиях гипертермии, окислительного стресса и голодания зависит от концентрации соединения, вида и пола мух.
Влияние KU-60019 на спонтанную двигательную активность Drosophila
Изучено влияние ингибитора ATM KU-60019 в концентрации 1 и 100 мкМ на возрастные изменения уровня спонтанной активности особей трех видов рода Drosophila: D. melanogaster, D. kikkawai и D. virilis.
Двухфакторный дисперсионный анализ (ANOVA) выявил статистически значимое влияние возраста (p < 0.0001), но не обработки KU-60019, на спонтанную двигательную активность самцов и самок D. melanogaster (рис. 5а,б, табл. 5). Пост-хок тест Тьюки показал статистически значимое снижение активности с возрастом в экспериментальных группах самцов (p < 0.05) и самок (p < 0.01), а также в контрольных группах самок (p < 0.05), но не самцов.
Рис. 5. Влияние ингибитора ATM KU-60019 в концентрации 1 и 100 мкМ на спонтанную двигательную активность самцов (а, в, д) и самок (б, г, е) D. melanogaster (а, б), D. kikkawai (в, г) и D. virilis (д, е). *p <0.024, пост-хок тест Тьюки. Планки погрешностей обозначают стандартную ошибку среднего.
Таблица 5. Результаты двухфакторного дисперсионного анализа влияния возраста и обработки на спонтанную двигательную активность Drosophila
Фактор | Пол | SS | DF | MS | F | p |
D. melanogaster | ||||||
Возраст | ♂ | 9103996 | 9 | 1011555 | 7.3082 | 0.0000 |
Обработка | 526307 | 2 | 263153 | 1.9012 | 0.1543 | |
Возраст × Обработка | 1658673 | 18 | 92149 | 0.6657 | 0.8376 | |
Ошибка | 15087080 | 109 | 138414 | |||
Возраст | ♀ | 59785003 | 9 | 6642778 | 48.895 | 0.0000 |
Обработка | 635665 | 2 | 317833 | 2.339 | 0.1008 | |
Возраст × Обработка | 3233734 | 18 | 179652 | 1.322 | 0.1860 | |
Ошибка | 16303110 | 120 | 135859 | |||
D. kikkawai | ||||||
Возраст | ♂ | 2424900 | 4 | 606225 | 24.2923 | 0.0000 |
Обработка | 379003 | 2 | 189501 | 7.5936 | 0.0012 | |
Возраст × Обработка | 240421 | 8 | 30053 | 1.2043 | 0.3131 | |
Ошибка | 1422459 | 57 | 24955 | |||
Возраст | ♀ | 13131203 | 6 | 2188534 | 47.2365 | 0.0000 |
Обработка | 73516 | 2 | 36758 | 0.7934 | 0.4558 | |
Возраст × Обработка | 208227 | 12 | 17352 | 0.3745 | 0.9690 | |
Ошибка | 3752843 | 81 | 46331 | |||
D. virilis | ||||||
Возраст | ♂ | 64863337 | 9 | 7207037 | 14.9087 | 0.0000 |
Обработка | 783743 | 2 | 391871 | 0.8106 | 0.4470 | |
Возраст × Обработка | 10545469 | 18 | 585859 | 1.2119 | 0.2624 | |
Ошибка | 58009374 | 120 | 483411 | |||
Возраст | ♀ | 470005.7 | 9 | 52222.9 | 14.1183 | 0.0000 |
Обработка | 36097.7 | 2 | 18048.8 | 4.8795 | 0.0092 | |
Возраст × Обработка | 109012.1 | 18 | 6056.2 | 1.6373 | 0.0617 | |
Ошибка | 432775.7 | 117 | 3698.9 | |||
Примечание. ♂ – самцы, ♀ – самки, SS – сумма квадратов отклонений, DF – число степеней свободы, MS – дисперсия, F – фактическое значение отношения Фишера, p – уровень значимости.
У D. kikkawai с помощью ANOVA показан статистически значимый вклад возраста (р <0.001) в спонтанную двигательную активность самцов и самок, при этом эффект KU-60019 (p < 0.001) выявлен только у самцов (рис. 5в,г, табл. 5). Попарное сравнение вариантов с помощью пост-хок теста Тьюки выявило статистически значимое увеличение локомоторной активности у самцов (p < 0.001) и самок (p < 0.001) с возрастом, но не показало эффектов обработки KU-60019 у самцов (p > 0.05).
ANOVA выявил вклад возраста в спонтанную двигательную активность (p < 0.0001) самцов и самок D. virilis, тогда как влияние KU-60019 (p < 0.01) показано только у самок (рис. 5д,е, табл. 5). Пост-хок тест Тьюки показал статистически значимое возрастное снижение спонтанной двигательной активности у самцов, обработанных 1 мкМ KU-60019, а также у самок старше 3–4 недель, контрольных и обработанных 1 и 100 мкМ KU-60019. Отмечено также снижение двигательной активности у трехнедельных самок, получавших KU-60019 в концентрации 100 мкМ (р < 0.05).
Таким образом, обработка KU-60019 не оказывает существенного влияния на возрастные изменения локомоторной активности у особей трех видов Drosophila.
Влияние РНК-интерференции гена tefu на эффекты KU-60019
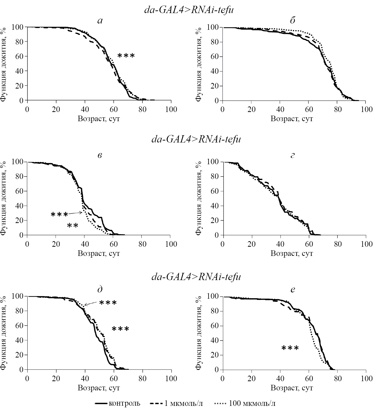
Продукт гена tefu, являющийся гомологом ATM млекопитающих [30], верифицировали в качестве мишени KU-60019 путем анализа эффектов ингибитора ATM на продолжительность жизни линии мух, в которой экспрессия гена tefu подавлена с помощью РНК-интерференции. Нами установлено, что опосредованное РНК подавление экспрессии гена tefu приводит к увеличению медианной продолжительности жизни на 51 и 23% у самцов, на 87 и 12% у самок и максимальной продолжительности жизни на 27 и 22% у самцов, 40 и 13% у самок по сравнению с особями контрольных родительских линий da-GAL4 и UAS-RNAi-tefu соответственно (табл. 6).
Таблица 6. Роль гена tefu в формировании эффектов ингибитора ATM KU-60019 на продолжительность жизни самцов и самок D. melanogaster
Генотип | Обработка KU–60019, мкМ | Пол | M, сут | dM, % | Ф | 90%, сут | d90%, % | ВА | Ф | N |
da-GAL4 > RNAi-tefu | контроль | ♂ | 59 | n/a | n/a | 70 | n/a | n/a | n/a | 614 |
1 | ♂ | 59 | 0 | >0.05 | 74 | +6 | <0.0001 | <0.0001 | 584 | |
100 | ♂ | 61 | +3 | >0.05 | 73 | +4 | <0.0001 | <0.0001 | 610 | |
da-GAL4 | контроль | ♂ | 39 | –51* | <0.0001 | 55 | –27* | <0.0001 | <0.0001 | 304 |
1 | ♂ | 39 | 0 | >0.05 | 53 | –4 | <0.0001 | >0.05 | 303 | |
100 | ♂ | 39 | 0 | <0.01 | 49 | –11 | <0.0001 | <0.001 | 306 | |
UAS-RNAi-tefu | контроль | ♂ | 48 | –23* | <0.0001 | 57 | –22* | <0.0001 | <0.0001 | 301 |
1 | ♂ | 51 | +6 | <0.05 | 61 | +7 | <0.0001 | <0.05 | 310 | |
100 | ♂ | 51 | +6 | <0.01 | 61 | +7 | <0.0001 | >0.05 | 308 | |
da-GAL4 > RNAi-tefu | контроль | ♀ | 73 | n/a | n/a | 84 | n/a | n/a | n/a | 608 |
1 | ♀ | 72 | –1 | >0.05 | 84 | 0 | >0.05 | >0.05 | 606 | |
100 | ♀ | 76 | +4 | <0.01 | 84 | 0 | >0.05 | >0.05 | 598 | |
da-GAL4 | контроль | ♀ | 39 | –87* | <0.0001 | 60 | –40* | <0.0001 | <0.0001 | 303 |
1 | ♀ | 39 | 0 | >0.05 | 60 | 0 | <0.0001 | >0.05 | 311 | |
100 | ♀ | 40 | +3 | >0.05 | 60 | 0 | <0.0001 | >0.05 | 300 | |
UAS-RNAi-tefu | контроль | ♀ | 65 | –12* | <0.0001 | 74 | –13* | <0.0001 | <0.0001 | 311 |
1 | ♀ | 65 | 0 | >0.05 | 74 | 0 | <0.0001 | >0.05 | 308 | |
100 | ♀ | 62 | –5 | <0.0001 | 71 | –4 | <0.0001 | >0.05 | 303 |
Примечание. ♂ – самцы, ♀ – самки, М, сут – медианная продолжительность жизни (сут), dM, % – различия в медианной продолжительности жизни между контрольными и экспериментальными линиями (%), 90%, сут – возраст гибели 90% особей выборки (сут), d90%, % – различия возраста 90% смертности между контрольными и экспериментальными линиями (%), ВА – значение р по тесту Ванг–Аллисона, Ф – значение р по точному критерию Фишера, N – количество особей в выборке, n/a – неприменимо, *различия между родительскими линиями da-GAL4, UAS-RNAi-tefu и линией с нокдауном tefu da-GAL4 > RNAi-tefu.
В подтверждение tefu-опосредованного действия KU-60019 у самцов da-GAL4 > RNAi-tefu геропротекторный эффект этого вещества был выражен слабее, чем у контрольных самцов UAS-RNAi-tefu, что проявляется отсутствием статистически значимого эффекта на медианную продолжительность жизни и меньшим сдвигом вправо кривых дожития (рис. 6а,д, табл. 6). При этом положительный эффект KU-60019 (1 и 100 мкМ) на максимальную продолжительность жизни самцов сохраняется как у контрольных UAS-RNAi-tefu, так и у экспериментальных da-GAL4 > RNAi-tefu вариантов (табл. 6). Необходимо отметить, что обработка контрольных самцов da-GAL4 KU-60019 в обеих концентрациях приводит к снижению максимальной продолжительности жизни (рис. 6в, табл. 6), что может быть связано с биологическими особенностями данной линии и низкой жизнеспособностью. Статистически значимое влияние KU-60019 на показатели продолжительности жизни и кривые смертности экспериментальных da-GAL4 > RNAi-tefu и контрольных самок UAS-RNAi-tefu наблюдалось только при концентрации 100 мкМ (рис. 6б,г,е, табл. 6). При этом медианная продолжительность жизни у самок da-GAL4 > RNAi-tefu увеличивалась на 4% и снижалась на 5% у контрольных самок UAS-RNAi-tefu.
Рис. 6. Роль гена tefu во влиянии ингибитора ATM KU-60019 в концентрации 1 и 100 мкМ на продолжительность жизни самцов (а, в, д) и самок (б, г, е) D. melanogaster. ** – p < 0.01, *** – p < 0.0001 – логранговый критерий с поправкой Бонферрони.
Таким образом, подавление экспрессии гена tefu вызывает увеличение медианной и максимальной продолжительности жизни у особей da-GAL4 > RNAi-tefu по сравнению с мухами контрольных родительских линий da-GAL4 и UAS-RNAi-tefu. При этом обработка KU-60019 в меньшей степени затрагивает показатели продолжительности жизни и кривые смертности экспериментальных линий с РНК-интерференцией гена tefu по сравнению с контрольными линиями.
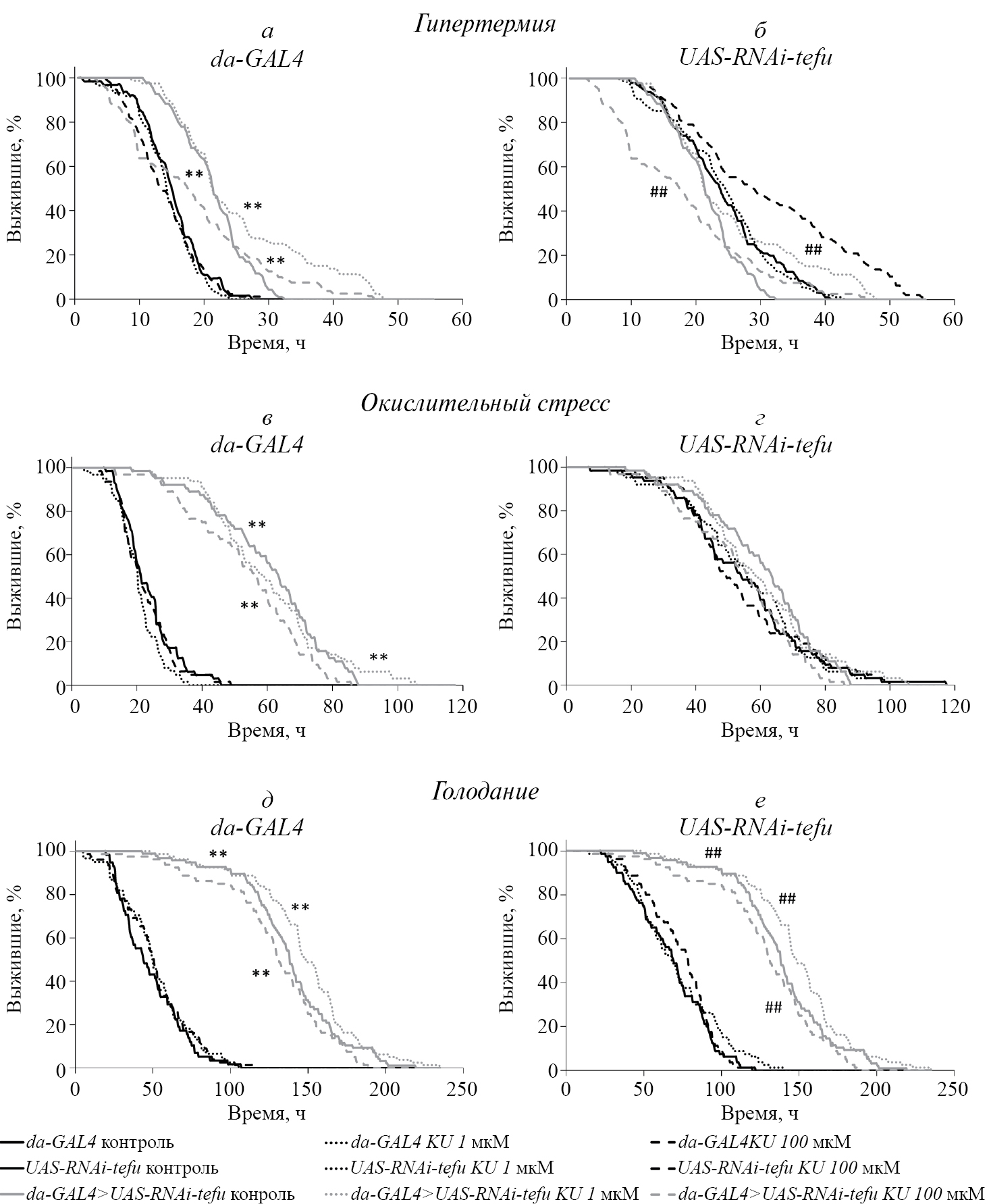
Изучено также влияние обработки 1 и 100 мкМ KU-60019 в сочетании с РНК-интерференцией гена tefu на стрессоустойчивость особей D. melanogaster. Обработка ингибитором ATM привела к значительному увеличению выживаемости в условиях гипертермии (35°C) особей da-GAL4 > RNAi-tefu относительно особей обеих родительских линий (рис. 7а,б, табл. 7). Так, у самцов, получавших KU-60019 в концентрации 1 и 100 мкМ, наблюдали увеличение медианной выживаемости на 113 и 171% относительно родительской линии da-GAL4 и на 89 и 111% относительно родительской линии UAS-RNAi-tefu (табл. 7). У варианта, получившего контрольную среду, обнаружено незначительное повышение выживаемости (13%) относительно родительской линии da-GAL4 (табл. 6). Обработка самок KU-60019 в концентрации 1 мкМ и в контроле привела к увеличению выживаемости на 47% относительно родительской линии da-GAL4. При обработке KU-60019 в концентрации 100 мкМ наблюдали снижение медианной выживаемости на 40% относительно родительской линии UAS-RNAi-tefu (табл. 8).
Таблица 7. Влияние ингибитора ATM KU-60019 на стрессоустойчивость самцов D. melanogaster при РНК-интерференции гена tefu
Вариант | Обработка KU-60019, мкМ | M, ч | dM, % | Ф (p) | ЛР (p) | N |
Гипертермия | ||||||
da-GAL4 | контроль | 8 | +12.5* | <0.0001* | <0.001* | 95 |
1 | 8 | +112.5* | <0.0001* | <0.0001* | 95 | |
100 | 7 | +171.4* | <0.0001* | <0.0001* | 128 | |
UAS-RNAi-tefu | контроль | 10 | –10.0# | <0.0001# | >0.05# | 124 |
1 | 9 | +88.9# | <0.0001# | <0.0001# | 127 | |
100 | 9 | +111.1# | <0.0001# | <0.0001# | 128 | |
da-GAL4 > UAS-RNAi-tefu | контроль | 9 | n/a | n/a | n/a | 96 |
1 | 17 | n/a | n/a | n/a | 32 | |
100 | 19 | n/a | n/a | n/a | 32 | |
Окислительный стресс | ||||||
da-GAL4 | контроль | 26 | +3.8* | >0.05* | >0.05* | 64 |
1 | 27 | +44.4* | <0.0001* | <0.0001* | 63 | |
100 | 24 | +58.3* | <0.0001* | <0.0001* | 63 | |
UAS-RNAi-tefu | контроль | 44 | –38.6# | <0.0001# | <0.0001# | 80 |
1 | 41 | –4.9# | >0.05# | >0.05# | 80 | |
100 | 39 | –2.6# | >0.05# | >0.05# | 80 | |
da-GAL4 > UAS-RNAi-tefu | контроль | 27 | n/a | n/a | n/a | 126 |
1 | 39 | n/a | n/a | n/a | 78 | |
100 | 38 | n/a | n/a | n/a | 64 | |
Голодание | ||||||
da-GAL4 | контроль | 38 | +21.1* | <0.0001* | <0.0001* | 64 |
1 | 40 | +10.0* | <0.0001* | <0.001* | 63 | |
100 | 34 | +20.6* | <0.0001* | <0.0001* | 76 | |
UAS-RNAi-tefu | контроль | 35 | +31.4# | <0.0001# | <0.0001# | 80 |
1 | 38 | +15.8# | <0.0001# | <0.0001# | 78 | |
100 | 29 | +41.4# | <0.0001# | <0.0001# | 80 | |
da-GAL4 > UAS-RNAi-tefu | контроль | 46 | n/a | n/a | n/a | 95 |
1 | 44 | n/a | n/a | n/a | 78 | |
100 | 41 | n/a | n/a | n/a | 80 | |
Примечание. Здесь и в табл. 8. М, ч – время медианной выживаемости (ч), dM, % – различия медианной выживаемости у контрольных и экспериментальных мух: dM* = М(da-GAL4 > UAS-RNAi-tefu) – М(da-GAL4) или dM# = М(da-GAL4 > UAS-RNAi-tefu – М(UAS-RNAi-tefu), Ф (p) – значение р по точному критерию Фишера, ЛР (p) – значение р по логранговому критерию Представлены значения, полученные при сравнении показателей экспериментальной линии da-GAL4 > UAS-RNAi-tefu относительно родительских линий da-GAL4 (*) и UAS-RNAi-tefu (#), n/a – неприменимо, N – количество особей в выборке.
Таблица 8. Влияние ингибитора ATM KU-60019 на стрессоустойчивость самок D. melanogaster при РНК-интерференции гена tefu
Вариант | Обработка KU–60019, мкМ | M, ч | dM, % | Ф (p) | ЛР (p) | N |
Гипертермия | ||||||
da-GAL4 | контроль | 15 | +46.7* | <0.0001* | <0.0001* | 64 |
1 | 15 | +46.7* | <0.0001* | <0.0001* | 59 | |
100 | 14 | +28.6* | >0.05* | <0.0001* | 90 | |
UAS-RNAi-tefu | контроль | 24 | –8.3# | >0.05# | <0.0002# | 96 |
1 | 25 | –12.0# | >0.05# | >0.05# | 95 | |
100 | 30 | –40.0# | <0.0001# | <0.0001# | 96 | |
da-GAL4 > UAS-RNAi-tefu | контроль | 22 | n/a | n/a | n/a | 95 |
1 | 22 | n/a | n/a | n/a | 80 | |
100 | 18 | n/a | n/a | n/a | 80 | |
Окислительный стресс | ||||||
da-GAL4 | контроль | 22 | +190.9* | <0.0001* | <0.0001* | 64 |
1 | 21 | +181.0* | <0.0001* | <0.0001* | 63 | |
100 | 22 | +159.1* | <0.0001* | <0.0001* | 63 | |
UAS-RNAi-tefu | контроль | 54 | +18.5# | >0.05# | >0.05# | 63 |
1 | 56 | +5.4# | >0.05# | >0.05# | 64 | |
100 | 50 | +14.0# | >0.05# | >0.05# | 63 | |
da-GAL4 > UAS-RNAi-tefu | контроль | 64 | n/a | n/a | n/a | 64 |
1 | 59 | n/a | n/a | n/a | 64 | |
100 | 57 | n/a | n/a | n/a | 64 | |
Голодание | ||||||
da-GAL4 | контроль | 43 | +218.6* | <0.0001* | <0.0001* | 58 |
1 | 49 | +202.0* | <0.0001* | <0.0001* | 61 | |
100 | 50 | +162.0* | <0.0001* | <0.0001* | 78 | |
UAS-RNAi-tefu | контроль | 68 | +101.5# | <0.0001# | <0.0001# | 80 |
1 | 67 | +120.9# | <0.0001# | <0.0001# | 80 | |
100 | 78 | +67.9# | <0.0001# | <0.0001# | 80 | |
da-GAL4 > UAS-RNAi-tefu | контроль | 137 | n/a | n/a | n/a | 87 |
1 | 148 | n/a | n/a | n/a | 72 | |
100 | 131 | n/a | n/a | n/a | 80 | |
В условиях окислительного стресса добавление в корм самцам ингибитора KU-60019 в исследуемых концентрациях привело к увеличению медианной выживаемости на 44 и 58% относительно родительской линии da-GAL4 (табл. 7). Также обнаружено, что выживаемость мух в контрольном варианте на 39% ниже, чем в родительской линии UAS-RNAi-tefu (табл. 7). Обработка самок ингибитором KU-60019 в концентрации 1 и 100 мкМ привела к увеличению выживаемости на 181 и 159% относительно родительской линии da-GAL4 (табл. 8). В контрольном варианте наблюдали повышение медианной выживаемости на 19% относительно родительской линии UAS-RNAi-tefu (табл. 8).
Также обработка ингибитором KU-60019 привела к значительному увеличению времени выживаемости самцов и самок в условиях голодания (табл. 7 и 8). Ингибитор KU-60019 в обеих исследуемых концентрациях вызвал увеличение медианной выживаемости самцов на 10 и 21% относительно родительской линии da-GAL4 и на 16 и 41% относительно родительской линии UAS-RNAi-tefu (табл. 7). В контрольном варианте также наблюдали увеличение выживаемости самцов на 21 и 31% относительно родительских линий da-GAL4 и UAS-RNAi-tefu соответственно (табл. 7). У самок, получавших KU-60019 в концентрации 1 либо 100 мкМ, наблюдали повышение перцентилей выживаемости на 202 и 162% относительно родительской линии da-GAL4 и на 121 и 68% относительно родительской линии UAS-RNAi-tefu (табл. 8). У контрольного варианта увеличение выживаемости составило 219 и 102% относительно родительских линий da-GAL4 и UAS-RNAi-tefu соответственно (табл. 8).
Эффекты обработки KU-60019 на медианное время выживаемости мух с РНК-интерференцией гена tefu в большинстве вариантов эксперимента подтверждаются влиянием на кривые выживаемости, которые смещены вправо по сравнению с контрольными вариантами (p < 0.001) (рис. 7 и 8).
Рис. 7. Влияние ингибитора ATM KU-60019 в концентрации 1 и 100 мкМ на стрессоустойчивость самцов D. melanogaster c подавленной экспрессией гена tefu. * – p < 0.001, ** и ## – p < 0.0001 относительно родительской линии da-GAL4 (а, в, д) и UAS-RNAi-tefu (б, г, е), соответственно, логранговый критерий.
Рис. 8. Влияние ингибитора ATM KU-60019 в концентрации 1 и 100 мкМ на стрессоустойчивость самок D. melanogaster c РНК-интерференцией гена tefu. ** и ## – p < 0.0001 относительно родительской линии da-GAL4 (а, в, д) и UAS-RNAi-tefu (б, г, е), соответственно, логранговый критерий.
Таким образом, во всех использованных вариантах наблюдали повышение стрессоустойчивости самцов и самок D. melanogaster с РНК-интерференцией гена tefu, по сравнению с родительскими линиями da-GAL4 и UAS-RNAi-tefu.
Также оценили влияние ингибитора ATM на спонтанную двигательную активность особей D. melanogaster с РНК-интерференцией гена tefu. Трехфакторный дисперсионный анализ выявил статистически значимый (<0.001) вклад возраста, генотипа и их взаимодействия на спонтанную двигательную активность самцов и самок (табл. 9, рис. 9). Однако обработка ингибитором не привела к статистически значимому изменению спонтанной двигательной активности дрозофил. Пост-хок тест Тьюки показал статистически значимое изменение двигательной активности у трехнедельных самцов с подавленной в результате РНК-интерференции экспрессией гена tefu на контрольной среде относительно обеих родительских линий (р = 0.00004) (рис. 9а,б). Небольшие изменения в спонтанной активности обнаружены также у четырехнедельных самок с РНК-интерференцией гена tefu на контрольной среде относительно родительской линии UAS-RNAi-tefu (р = 0.0028) (рис. 9г). В остальных вариантах эксперимента различий не наблюдали. Также стоит отметить, что относительно родительской линии da-GAL4 результаты были рассчитаны по 6 неделю включительно, поскольку эта линия имеет короткую ПЖ. Таким образом, дисперсионный анализ выявил статистически значимый вклад возраста, генотипа и их взаимодействия, но не выявил эффектов обработки ингибитором на суммарную спонтанную двигательную активность самцов и самок D. melanogaster с РНК-интерференцией гена tefu.
Таблица 9. Результаты трехфакторного дисперсионного анализа ANOVA эффектов возраста и обработки ингибитором
Фактор | Пол | SS | DF | MS | F | p |
Возраст | ♂ | 64852440 | 8 | 8106555 | 34.34 | 0.0000 |
Обработка | 479642 | 2 | 239821 | 1.02 | 0.3646 | |
Генотип | 7080886 | 2 | 3540443 | 15.00 | 0.0000 | |
Возраст × Обработка | 11963427 | 16 | 747714 | 3.17 | 0.0001 | |
Возраст × Генотип | 13373240 | 16 | 835828 | 3.54 | 0.0000 | |
Обработка × Генотип | 1881983 | 4 | 470496 | 1.99 | 0.0986 | |
Возраст × Обработка × Генотип | 12077505 | 32 | 377422 | 1.60 | 0.0334 | |
Ошибка | 33989977 | 144 | 236042 | |||
Возраст | ♀ | 2112091 | 8 | 264011 | 6.11 | 0.0000 |
Обработка | 159645 | 2 | 79823 | 1.85 | 0.1607 | |
Генотип | 9592265 | 2 | 4796133 | 111.07 | 0.0000 | |
Возраст × Обработка | 860678 | 16 | 53792 | 1.25 | 0.2385 | |
Возраст × Генотип | 8277206 | 16 | 517325 | 11.98 | 0.0000 | |
Обработка × Генотип | 545528 | 4 | 136382 | 3.16 | 0.0156 | |
Возраст × Обработка × Генотип | 2435376 | 32 | 76106 | 1.76 | 0.0118 | |
Ошибка | 7254654 | 168 | 43182 |
Примечание. ♂ – самцы, ♀ – самки. SS – сумма квадратов отклонений, DF – число степеней свободы, MS – дисперсия, F – фактическое значение отношения Фишера, p – уровень значимости.
Рис. 9. Влияние ингибитора ATM KU-60019 в концентрации 1 и 100 мкМ на спонтанную двигательную активность самцов (а, б) и самок (в, г) D. melanogaster c РНК-интерференцией гена tefu. # – p < 0.003 относительно родительской линии da-GAL4 (а, в) и UAS-RNAi-tefu (б, г), пост-хок тест Тьюки. Планки погрешностей обозначают стандартную ошибку среднего.
Обсуждение результатов
В данном исследовании проанализирован геропротекторный потенциал KU-60019 – специфического ингибитора киназы ATM (IC₅₀ = 6.3 нМ), в концентрации 1 и 100 мкМ [43]. В работах, выполненных на сенесцентных диплоидных фибробластах человека, линиях фибробластов с мутацией ATM, а также на стареющих фибробластах человека линий HGPS и WS, KU-60019 был описан как эффективный агент [27, 28], замедляющий как спонтанное, так и ускоренное старение клеток в культуре.
Для выявления эффектов KU-60019 на ПЖ целого организма мы использовали особей разных видов Drosophila. Согласно сформулированным ранее критериям геропротектора, исследования на различных модельных организмах снижают риск обнаружения видоспецифичных эффектов [44]. В связи с этим, в данной работе мы изучали геропротекторные эффекты KU-60019 на особях трех видов Drosophila, различающихся по ПЖ [35, 45–47].
Оценивая геропротекторные эффекты KU-60019, мы обнаружили, что обработка этим соединением увеличивает медианную и максимальную ПЖ самцов и самок D. virilis (долгоживущий вид), а также медианную ПЖ самок D. melanogaster (вид с умеренной ПЖ). У особей обоих полов D. kikkawai (короткоживущий вид) наблюдали снижение медианной и максимальной ПЖ. Таким образом, нами не отмечена воспроизводимость геропротекторного эффекта KU-60019 на особях разных видов несмотря на эволюционную консервативность мишени.
Интересно, что ранее в работе, посвященной геропротекторным свойствам антиоксиданта N-ацетил-L-цистеина (NAC), мы также обнаружили различия в геропротекторных эффектах между особями разного вида и пола [35]. Опубликованные на сегодняшний день экспериментальные данные свидетельствуют о том, что полспецифичные эффекты геропротекторных вмешательств в целом и фармакологических соединений в частности, характерны для разных модельных организмов, включая D. melanogaster [48] и другие виды дрозофил [35]. В недавнем обзоре Lushchak и соавт. пришли к выводу, что разная чувствительность к фармакологическим геропротекторным вмешательствам самцов и самок D. melanogaster прежде всего зависит от генетического фона, статуса спаривания, дозы вещества и продолжительности его воздействия. Однако мало известно о механизмах, лежащих в основе половых различий в ответе на геропротекторные вмешательства.
Кроме того, ранее было показано, что KU-60019 снижает пролиферативную активность опухолевых клеток [49, 50]. В опубликованных на сегодняшний день исследованиях отсутствуют прямые доказательства того, что KU-60019 влияет на репродуктивную функцию благодаря своей антипролиферативной активности, однако не исключено, что он может снижать репродуктивный потенциал дрозофил, модифицируя влияние на ПЖ. Однако необходимы дополнительные исследования эффектов KU-60019 на репродукцию мух.
Как показывают наши предыдущие исследования, биологическая основа межвидовых различий как в ПЖ, так и в эффектах фармакологических вмешательств может обусловливаться транскриптомными [47] и метаболомными [46] особенностями видов. Ранее нами были установлены существенные различия в паттернах глобальной экспрессии генов у представителей рода Drosophila [47]. В частности, долгоживущие виды мух отличались от короткоживущих повышением активности генов, вовлеченных в метаболизм жирных кислот, снижением транскрипции генов, связанных с развитием нервной системы, передачей сигналов активина, сплайсингом РНК [47]. Сравнительное исследование метаболомных профилей разных видов Drosophila также выявило характеристики, связанные с высокой ПЖ. Полученные результаты показывают, что продление жизни связано с повышением уровня метаболизма аминокислот, фосфолипидов и углеводов [46]. Вероятно, данные механизмы опосредуют межвидовые различия геропротекторных эффектов KU-60019.
В свою очередь, особи D. kikkawai характеризуются не только короткой ПЖ, но и сниженной устойчивостью ко многим факторам стресса [45]. Долгосрочное (на протяжении всей жизни имаго) подавление активности белка ATM, являющегося ключевым регулятором клеточного ответа на повреждение ДНК, могло сыграть критическую роль в жизнеспособности особей данного вида и ускорить их старение.
Стоит отметить, что в противоположность полученным нами данным, в некоторых публикациях показан геропротекторный эффект активации ATM. Так, на мышах, моделирующих атаксию-телеангиэктазию, показано, что стимуляция активности ATM приводит к замедлению старения и продлевает им жизнь [51]. Кроме того, некоторые геропротекторы активируют ATM. Например, методами in vitro показано прямое стимулирующее действие ресвератрола на очищенный ATM. Как в нормальных, так и в трансформированных линиях клеток человека аутофосфорилирование ATM и фосфорилирование субстрата стимулируется ресвератролом по механизму, регулируемому активными формами кислорода [52]. Показано также, что митофагический эффект геропротектора спермидина связан с активацией ATM-зависимого сигнального пути [53].
Согласно предложенным ранее критериям геропротектора, потенциальные геропротекторы характеризуются способностью повышать устойчивость организма к неблагоприятным факторам внешней среды [44]. Поэтому нами исследовано влияние KU-60019 на стрессоустойчивость особей трех видов Drosophila. Изучено также влияние KU-60019 в концентрации 1 и 100 мкМ на выживаемость в условиях гипертермии (35°C), при обработке индуктором окислительного стресса паракватом (20 мM) и при голодании. Обнаружено, что обработка ингибитором в обеих концентрациях повышала выживаемость изучаемых видов дрозофил в условиях стресса. Мы связываем этот эффект с положительным влиянием ингибитора KU-60019 на функциональное восстановление системы лизосомы/аутофагия, которое сопровождается восстановлением функций митохондрий и метаболическим перепрограммированием [54, 55].
Установлено, что одной из причин нарушения функций организма при действии стресс-факторов различной этиологии является снижение стабильности мембран лизосом [56, 57]. Нарушение работы лизосом при окислительном стрессе или повреждении свободными радикалами приводит к старению и гибели клетки за счет нарушения аутофагии, ингибирования лизосомных ферментов и повреждения лизосомных мембран [58, 59]. Показано, что V-АТРаза вовлечена в поддержание гомеостаза внутриклеточных уровней меди и железа и играет важную роль в Sod2-опосредованной реакции на окислительный стресс [60]. Клетки получают необходимые питательные вещества из окружающей среды и используют адаптивные механизмы для выживания в условиях дефицита питательных веществ. Как питательные вещества перемещаются и распределяются внутри клеток, а также запасаются ли они в ответ на стресс, остается малоизученным. Показано, что в ответ на голодание, вызванное недостатком глюкозы, запускается механизм деградации мембран. Этот механизм включает в себя липидирование белка аутофагии LC3 на лизосомных мембранах и образование внутриклеточных везикул посредством микроаутофагии [61]. При этом голодание индуцирует лизосомное хранение лейцина [62]. В ответ на тепловой шок (гипертермию) в клетках немедленно индуцируются гены, кодирующие белки теплового шока, которые запускают связанные с лизосомной системой процессы: гибель клеток, аутофагию и защиту от пермеабилизации лизосомной мембраны [63, 64].
Важной характеристикой качества жизни и жизнеспособности животных является физическая активность. С возрастом происходит снижение нервно-мышечной активности и изменение поведенческих реакций [65–68]. Согласно критериям геропротектора [44], соединения с геропротекторным потенциалом должны улучшать качество жизни, в том числе замедлять скорость возрастзависимого снижения локомоторной активности. Однако нами установлено, что обработка особей D. melanogaster и D. kikkawai KU-60019 в концентрации 1 и 100 мкМ не оказывает влияния на возрастзависимое изменение активности. В то же время, отмечено достоверное снижение спонтанной активности у трехнедельных самок D. virilis, получавших KU-60019 в концентрации 100 мкМ. Эти данные не подтверждают гипотезу о поддержании функциональности мышечных клеток вследствие деградации поврежденных митохондрий при обработке KU-60019. В целом же полученные данные не исключают антивозрастного действия KU-60019 на популяцию митохондрий, поскольку нарушение функций митохондрий с возрастом ведет не только к нарушению работы нервно-мышечной системы, но и к индукции фенотипа старения [69].
Стоит отметить, что в отличие от D. melanogaster и D. virilis, спонтанная двигательная активность особей D. kikkawai не снижалась с возрастом, а напротив, несколько возрастала. Несмотря на то, что в целом не обнаружено корреляции между ПЖ и локомоторной активностью мух [70, 71], ранее мы выявили обратную взаимосвязь между долгожительством и двигательной активностью мух, содержащихся в темноте или при пониженной температуре [72], что предполагает сложную взаимосвязь данных показателей и их зависимость от внешних факторов. На сегодняшний день сложно объяснить причины увеличения спонтанной локомоторной активности D. kikkawai с возрастом, но с учетом ряда генетических [47], метаболических [46] и поведенческих [73] различий между коротко- и долгоживущими видами, можно предположить установление компромисса между двигательной активностью и ПЖ особей данного вида. Видовые особенности генома и метаболома также могут быть причиной различий в показателях функционального старения организма (на примере локомоторной активности) и различий во влиянии ингибитора ATM на ПЖ.
Для верификации продукта гена tefu, как мишени KU-60019, мы проанализировали эффекты ингибитора ATM на те же физиологические показатели у линии с нокдауном, вызванным РНК-интерференцией гена tefu. Обнаружено увеличение медианной и максимальной ПЖ у особей с репрессией гена tefu (da-GAL4 > RNAi-tefu) по сравнению с особями контрольных родительских линий da-GAL4 и UAS-RNAi-tefu. Стоит отметить, что несмотря на геропротекторный и адаптогенный эффект нокдауна гена tefu, мутации в данном гене приводят к высокой летальности дрозофил на разных стадиях предимагинального развития, радиочувствительности и короткой ПЖ жизни. Так, мутантный аллель tefustg () характеризуется высокой радиочувствительностью и летальностью на стадии куколки [74, 75]. Аллель с потерей функции ATM – tefuatm-4 () летален [14]. Мутация tefuatm-6 () обладает высокой летальностью на стадии куколки и радиочувствительностью [14, 76]. Фенотип мух с аллелем tefuatm-8 () характеризуется короткой ПЖ, повышенной чувствительностью к гипертермии и нарушениями двигательной активности [12–14]. В то же время, как и в экспериментах на особях Drosophila разных видов, анализ спонтанной локомоторной активности не выявил статистически значимого влияния обработки ингибитором ATM на спонтанную двигательную активность самцов и самок D. melanogaster с репрессированным в результате РНК-интерференции гена tefu.
Также во всех вариантах исследования с использованием комбинации РНК-интерференции гена tefu и обработки KU-60019 наблюдали повышение стрессоустойчивости относительно родительских линий da-GAL4 и UAS-RNAi-tefu. Повышение стрессоустойчивости, вызванное обработкой KU-60019 на фоне нокдауна гена tefu может быть связано с присутствием дополнительных молекулярных мишеней KU-60019, подавление которых может модифицировать эффекты, связанные с ингибированием ATM. Например, KU-60019 может взаимодействовать не только с ATM, но и с PIK3C3 (фосфатидилинозитол-3-киназа, каталитическая субъединица типа 3) [43], PRKDC (протеинкиназа, активируемая ДНК, каталитическая субъединица) [43], ATR (серин/треониновая киназа ATR) [43], ATXN2 (атаксин 2) [77], YES1 (протоонкоген YES 1, тирозинкиназа семейства Src) [78]. Эти молекулы вовлечены в регуляцию многих клеточных процессов, связанных со старением, включая аутофагию, пролиферацию, дифференцировку, поддержание гомеостаза и выживание клеток, что может вести к модификации геропротекторного действия KU-60019.
Заключение и выводы
Таким образом, нами изучен геропротекторный потенциал KU-60019, селективного ингибитора ATM, с использованием особей трех видов Drosophila с разной ПЖ. Полученные результаты свидетельствуют, что влияние KU-60019 на ПЖ зависит от вида Drosophila. Отмечено увеличение ПЖ самцов и самок долгоживущего вида D. virilis (на 3–10%) и самок D. melanogaster (на 3%) с умеренной ПЖ после обработки KU-60019, тогда как у особей короткоживущего вида D. kikkawai ПЖ снижалась (на 3–12%). Вместе с тем, обработка KU-60019 повышала выживаемость особей исследованных видов дрозофил в условиях гипертермии, окислительного стресса и голодания. По-видимому, эффекты KU-60019-опосредованного подавления активности ATM на ПЖ в большой степени определяются особенностями транскриптомов, выявленными нами в более ранних исследованиях.
Кроме того, при интерпретации эффектов KU-60019 необходимо учитывать дополнительные молекулярные мишени, которые вовлечены в регуляцию многих клеточных процессов, связанных со старением, включая аутофагию, пролиферацию, дифференцировку, поддержание гомеостаза и выживание клеток, подавление которых может модифицировать геропротекторные эффекты, связанные с ингибированием ATM.
Наряду с фармакологическим подавлением активности ATM, супрессия активности гена tefu с помощью РНК-интерференции также приводила к увеличению ПЖ экспериментальных особей по сравнению с особями контрольных родительских линий, что подтверждает геропротекторный потенциал ATM как мишени.
Дальнейшие исследования позволят понять, какие молекулярные процессы лежат в основе эффектов обработки ингибитором ATM на ПЖ Drosophila и как эти эффекты могут различаться у разных видов. Это может привести к разработке более эффективных стратегий увеличения ПЖ и борьбы со старением.
Авторы выражают благодарность Институту биологии ФИЦ Коми НЦ УрО РАН за предоставленную коллекцию лабораторных линий плодовых мушек Drosophila.
Исследования выполнены в рамках государственного задания Института биологии ФИЦ Коми НЦ УрО РАН по теме “Генетические и функциональные исследования эффектов геропротекторных интервенций на модели Drosophila melanogaster” № 122040600022-1.
В соответствии с пунктом 3 главы 1 Директивы 2010/63/ЕС от 22 сентября 2010 г. о защите животных, используемых в научных целях, требования биоэтики не распространяются на объект данного исследования.
Авторы заявляют об отсутствии конфликта интересов.
About the authors
L. A. Koval
Komi Science Centre of the Ural Branch, Russian Academy of Sciences
Email: amoskalev@ib.komisc.ru
Institute of Biology
Russian Federation, Syktyvkar, 167982N. V. Zemskaya
Komi Science Centre of the Ural Branch, Russian Academy of Sciences
Email: amoskalev@ib.komisc.ru
Institute of Biology
Russian Federation, Syktyvkar, 167982N. R. Pakshina
Komi Science Centre of the Ural Branch, Russian Academy of Sciences
Email: amoskalev@ib.komisc.ru
Institute of Biology
Russian Federation, Syktyvkar, 167982M. V. Shaposhnikov
Komi Science Centre of the Ural Branch, Russian Academy of Sciences
Email: amoskalev@ib.komisc.ru
Institute of Biology
Russian Federation, Syktyvkar, 167982А. А. Moskalev
Komi Science Centre of the Ural Branch, Russian Academy of Sciences
Author for correspondence.
Email: amoskalev@ib.komisc.ru
Institute of Biology
Russian Federation, Syktyvkar, 167982References
- Abraham R.T. (2001) Cell cycle checkpoint signaling through the ATM and ATR kinases. Genes Dev. 15, 2177–2196.
- Paull T.T. (2015) Mechanisms of ATM activation. Annu. Rev. Biochem. 84, 711–738.
- Matsuoka S., Ballif B.A., Smogorzewska A., McDonald E.R., 3rd, Hurov K.E., Luo J., Bakalarski C.E., Zhao Z., Solimini N., Lerenthal Y., Shiloh Y., Gygi S.P., Elledge S.J. (2007) ATM and ATR substrate analysis reveals extensive protein networks responsive to DNA damage. Science. 316, 1160–1166.
- Shibata A., Jeggo P.A. (2021) ATM´s role in the repair of DNA double-strand breaks. Genes. 12(9),1370.
- Zhang X., Wan G., Berger F.G., He X., Lu X. (2011) The ATM kinase induces microRNA biogenesis in the DNA damage response. Mol. Cell. 41, 371–383.
- Liu J., Jin T., Ran L., Zhao Z., Zhu R., Xie G., Bi X. (2022) Profiling ATM regulated genes in Drosophila at physiological condition and after ionizing radiation. Hereditas. 159, 41.
- Rothblum-Oviatt C., Wright J., Lefton-Greif M.A., McGrath-Morrow S.A., Crawford T.O., Lederman H.M. (2016) Ataxia telangiectasia: a review. Orphanet. J. Rare Dis. 11, 159.
- Chaudhary M.W., Al-Baradie R.S. (2014) Ataxia-telangiectasia: future prospects. Appl. Clin. Genet. 7, 159–167.
- Barlow C., Hirotsune S., Paylor R., Liyanage M., Eckhaus M., Collins F., Shiloh Y., Crawley J.N., Ried T., Tagle D., Wynshaw-Boris A. (1996) Atm-deficient mice: a paradigm of ataxia telangiectasia. Cell. 86, 159–171.
- Quek H., Luff J., Cheung K., Kozlov S., Gatei M., Lee C.S., Bellingham M.C., Noakes P.G., Lim Y.C., Barnett N.L., Dingwall S., Wolvetang E., Mashimo T., Roberts T.L., Lavin M.F. (2017) A rat model of ataxia-telangiectasia: evidence for a neurodegenerative phenotype. Hum. Mol. Genet. 26, 109–123.
- Chen K., Wang P., Chen J., Ying Y., Chen Y., Gilson E., Lu Y., Ye J. (2022) Loss of atm in zebrafish as a model of ataxia-telangiectasia syndrome. Biomedicines. 10(2), 392.
- Petersen A.J., Rimkus S.A., Wassarman D.A. (2012) ATM kinase inhibition in glial cells activates the innate immune response and causes neurodegeneration in Drosophila. Proc. Natl. Acad. Sci. USA. 109, E656–664.
- Petersen A.J., Katzenberger R.J., Wassarman D.A. (2013) The innate immune response transcription factor relish is necessary for neurodegeneration in a Drosophila model of ataxia-telangiectasia. Genetics. 194, 133–142.
- Silva E., Tiong S., Pedersen M., Homola E., Royou A., Fasulo B., Siriaco G., Campbell S.D. (2004) ATM is required for telomere maintenance and chromosome stability during Drosophila development. Curr. Biol. 14, 1341–1347.
- Chen T., Dong B., Lu Z., Tian B., Zhang J., Zhou J., Wu H., Zhang Y., Wu J., Lin P., Zhang J., Xu H., Mo X. (2010) A functional single nucleotide polymorphism in promoter of ATM is associated with longevity. Mech. Ageing Dev. 131, 636–640.
- Piaceri I., Bagnoli S., Tedde A., Sorbi S., Nacmias B. (2013) Ataxia-telangiectasia mutated (ATM) genetic variant in Italian centenarians. Neurol. Sci. 34, 573–575.
- Fu S., Hu J., Chen X., Li B., Shun H., Deng J., Zhang Y., Yao Y., Zhao Y. (2021) Mutant single nucleotide polymorphism rs189037 in ataxia-telangiectasia mutated gene is significantly associated with ventricular wall thickness and human lifespan. Front. Cardiovasc. Med. 8, 658908.
- Ditch S., Paull T.T. (2012) The ATM protein kinase and cellular redox signaling: beyond the DNA damage response. Trends Biochem. Sci. 37, 15–22.
- Amirifar P., Ranjouri M.R., Yazdani R., Abolhassani H., Aghamohammadi A. (2019) Ataxia-telangiectasia: a review of clinical features and molecular pathology. Pediatr. Allergy Immunol. 30, 277–288.
- Valentin-Vega Y.A., Maclean K.H., Tait-Mulder J., Milasta S., Steeves M., Dorsey F.C., Cleveland J.L., Green D.R., Kastan M.B. (2012) Mitochondrial dysfunction in ataxia-telangiectasia. Blood. 119, 1490–1500.
- Hirozane T., Tohmonda T., Yoda M., Shimoda M., Kanai Y., Matsumoto M., Morioka H., Nakamura M., Horiuchi K. (2016) Conditional abrogation of Atm in osteoclasts extends osteoclast lifespan and results in reduced bone mass. Sci. Rep. 6, 34426.
- Weitering T.J., Takada S., Weemaes C.M.R., van Schouwenburg P.A., van der Burg M. (2021) ATM: Translating the DNA damage response to adaptive immunity. Trends Immunol. 42, 350–365.
- Stagni V., Cirotti C., Barilà D. (2018) Ataxia-telangiectasia mutated kinase in the control of oxidative stress, mitochondria, and autophagy in cancer: a maestro with a large orchestra. Front. Oncol. 8, 73.
- Stagni V., Ferri A., Cirotti C., Barilà D. (2020) ATM kinase-dependent regulation of autophagy: a key player in senescence? Front. Cell Dev. Biol. 8, 599048.
- Osorio F.G., Barcena C., Soria-Valles C., Ramsay A.J., de Carlos F., Cobo J., Fueyo A., Freije J.M., Lopez-Otin C. (2012) Nuclear lamina defects cause ATM-dependent NF-kappaB activation and link accelerated aging to a systemic inflammatory response. Genes Dev. 26, 2311–2324.
- Lee S.S., Bohrson C., Pike A.M., Wheelan S.J., Greider C.W. (2015) ATM kinase is required for telomere elongation in mouse and human cells. Cell Rep. 13, 1623–1632.
- Kang H.T., Park J.T., Choi K., Kim Y., Choi H.J.C., Jung C.W., Lee Y.S., Park S.C. (2017) Chemical screening identifies ATM as a target for alleviating senescence. Nat. Chem. Biol. 13, 616–623.
- Kuk M.U., Kim J.W., Lee Y.S., Cho K.A., Park J.T., Park S.C. (2019) Alleviation of senescence via ATM inhibition in accelerated aging models. Mol. Cells. 42, 210–217.
- Hari K.L., Santerre A., Sekelsky J.J., McKim K.S., Boyd J.B., Hawley R.S. (1995) The mei-41 gene of D. melanogaster is a structural and functional homolog of the human ataxia telangiectasia gene. Cell. 82, 815–821.
- Bi X., Srikanta D., Fanti L., Pimpinelli S., Badugu R., Kellum R., Rong Y.S. (2005) Drosophila ATM and ATR checkpoint kinases control partially redundant pathways for telomere maintenance. Proc. Natl. Acad. Sci. USA. 102, 15167–15172.
- Pedersen M., Tiong S., Campbell S.D. (2010) Molecular genetic characterization of Drosophila ATM conserved functional domains. Genome. 53, 778–786.
- Oikemus S.R., McGinnis N., Queiroz-Machado J., Tukachinsky H., Takada S., Sunkel C.E., Brodsky M.H. (2004) Drosophila atm/telomere fusion is required for telomeric localization of HP1 and telomere position effect. Genes Dev. 18, 1850–1861.
- Hu Y., Comjean A., Rodiger J., Liu Y., Gao Y., Chung V., Zirin J., Perrimon N., Mohr S.E. (2021) FlyRNAi.org-the database of the Drosophila RNAi screening center and transgenic RNAi project: 2021 update. Nucl. Acids Res. 49, D908–D915.
- Xia B., de Belle J.S. (2016) Transgenerational programming of longevity and reproduction by post-eclosion dietary manipulation in Drosophila. Aging. 8, 1115–1134.
- Shaposhnikov M.V., Zemskaya N.V., Koval L.A., Schegoleva E.V., Zhavoronkov A., Moskalev A.A. (2018) Effects of N-acetyl-L-cysteine on lifespan, locomotor activity and stress-resistance of 3 Drosophila species with different lifespans. Aging. 10, 2428–2458.
- Moskalev A.A., Shaposhnikov M.V., Zemskaya N.V., Koval L., Schegoleva E.V., Guvatova Z.G., Krasnov G.S., Solovev I.A., Sheptyakov M.A., Zhavoronkov A., Kudryavtseva A.V. (2019) Transcriptome analysis of long-lived Drosophila melanogaster E(z) mutants sheds light on the molecular mechanisms of longevity. Sci. Rep. 9, 9151.
- Mantel N. (1966) Evaluation of survival data and two new rank order statistics arising in its consideration. Cancer Chemother. Rep. 50, 163–170.
- Martinez R.L.M.C., Naranjo J.D. (2012) A pretest for choosing between logrank and wilcoxon tests in the two-sample problem. Metron. 68, 111–125.
- Wang C., Li Q., Redden D.T., Weindruch R., Allison D.B. (2004) Statistical methods for testing effects on “maximum lifespan”. Mech. Ageing Dev. 125, 629–632.
- Bland J.M., Altman D.G. (1995) Multiple significance tests: the Bonferroni method. BMJ. 310, 170.
- McHugh M.L. (2011) Multiple comparison analysis testing in ANOVA. Biochem. Med. 21, 203-209.
- Han S.K., Kwon H.C., Yang J.S., Kim S., Lee S.V. (2024) OASIS portable: user-friendly offline suite for secure survival analysis. Mol Cells. 47, 100011.
- Toledo-Sherman L., Breccia P., Cachope R., Bate J.R., Angulo-Herrera I., Wishart G., Matthews K.L., Martin S.L., Cox H.C., McAllister G., Penrose S.D., Vater H., Esmieu W., Van de Poël A., Van de Bospoort R., Strijbosch A., Lamers M., Leonard P., Jarvis R.E., Blackaby W., Barnes K., Eznarriaga M., Dowler S., Smith G.D., Fischer D.F., Lazari O., Yates D., Rose M., Jang S.W., Muñoz-Sanjuan I., Dominguez C. (2019) Optimization of potent and selective ataxia telangiectasia-mutated inhibitors suitable for a proof-of-concept study in Huntington´s disease models. J. Med. Chem. 62, 2988–3008.
- Moskalev A., Chernyagina E., Kudryavtseva A., Shaposhnikov M. (2017) Geroprotectors: a unified concept and screening approaches. Aging Dis. 8, 354–363.
- Земская Н.В., Шапошников М.В., Москалев А.А. (2017) Взаимосвязь продолжительности жизни с характеристиками жизненного цикла и стрессоустойчивостью у 12 видов рода Drosophila. Успехи геронтологии. 30, 192–199.
- Maslov D.L., Zemskaya N.V., Trifonova O.P., Lichtenberg S., Balashova E.E., Lisitsa A.V., Moskalev A.A., Lokhov P.G. (2021) Comparative metabolomic study of Drosophila species with different lifespans. Int. J. Mol. Sci. 22, 12873.
- Ma S., Avanesov A.S., Porter E., Lee B.C., Mariotti M., Zemskaya N., Guigo R., Moskalev A.A., Gladyshev V.N. (2018) Comparative transcriptomics across 14 Drosophila species reveals signatures of longevity. Aging Cell. 17, e12740.
- Lushchak O., Strilbytska O., Storey K.B. (2023) Gender-specific effects of pro-longevity interventions in Drosophila. Mech. Ageing Dev. 209, 111754.
- Zhu Y., Mao C., Wu J., Li S., Ma R., Cao H., Ji M., Jing C., Tang J. (2014) Improved ataxia telangiectasia mutated kinase inhibitor KU60019 provides a promising treatment strategy for non-invasive breast cancer. Oncol. Lett. 8, 2043–2048.
- Cao W., Shen R., Richard S., Liu Y., Jalalirad M., Cleary M.P., D´Assoro A.B., Gradilone S.A., Yang D.Q. (2022) Inhibition of triple-negative breast cancer proliferation and motility by reactivating p53 and inhibiting overactivated Akt. Oncol. Rep. 47(2), 41.
- Qian M., Liu Z., Peng L., Tang X., Meng F., Ao Y., Zhou M., Wang M., Cao X., Qin B., Wang Z., Zhou Z., Wang G., Gao Z., Xu J., Liu B. (2018) Boosting ATM activity alleviates aging and extends lifespan in a mouse model of progeria. eLife. 7, e34836.
- Lee J.H., Guo Z., Myler L.R., Zheng S., Paull T.T. (2014) Direct activation of ATM by resveratrol under oxidizing conditions. PLoS One. 9, e97969.
- Qi Y., Qiu Q., Gu X., Tian Y., Zhang Y. (2016) ATM mediates spermidine-induced mitophagy via PINK1 and Parkin regulation in human fibroblasts. Sci. Rep. 6, 24700.
- Kang H.T., Park J.T., Choi K., Kim Y., Choi H.J.C., Jung C.W., Lee Y.S., Park S.C. (2017) Chemical screening identifies ATM as a target for alleviating senescence. Nat. Chem. Biol. 13, 616–623.
- Cheng A., Tse K.H., Chow H.M., Gan Y., Song X., Ma F., Qian Y.X.Y., She W., Herrup K. (2021) ATM loss disrupts the autophagy-lysosomal pathway. Autophagy. 17, 1998–2010.
- Boya P., Kroemer G. (2008) Lysosomal membrane permeabilization in cell death. Oncogene. 27, 6434–6451.
- Гусакова Е.А., Городецкая И.В. (2012) Стресс и протеолитические ферменты лизосом. Вестник ВГМУ. 11, 15–25.
- Kurz T., Terman A., Gustafsson B., Brunk U.T. (2008) Lysosomes and oxidative stress in aging and apoptosis. Biochim. Biophys. Acta. 1780, 1291–1303.
- Pivtoraiko V.N., Stone S.L., Roth K.A., Shacka J.J. (2009) Oxidative stress and autophagy in the regulation of lysosome-dependent neuron death. Antioxid. Redox Signal. 11, 481–496.
- Nishikawa H., Miyazaki T., Nakayama H., Minematsu A., Yamauchi S., Yamashita K., Takazono T., Shimamura S., Nakamura S., Izumikawa K., Yanagihara K., Kohno S., Mukae H. (2016) Roles of vacuolar H+-ATPase in the oxidative stress response of Candida glabrata. FEMS Yeast Res. 16(5), fow054.
- Lee C., Lamech L., Johns E., Overholtzer M. (2020) Selective lysosome membrane turnover is induced by nutrient starvation. Dev. Cell. 55, 289–297 e284.
- Bandyopadhyay U., Todorova P., Pavlova N.N., Tada Y., Thompson C.B., Finley L.W.S., Overholtzer M. (2022) Leucine retention in lysosomes is regulated by starvation. Proc. Natl. Acad. Sci. USA. 119(6), e2114912119.
- Ingemann L., Kirkegaard T. (2014) Lysosomal storage diseases and the heat shock response: convergences and therapeutic opportunities. J. Lipid. Res. 55, 2198–2210.
- Nylandsted J., Gyrd-Hansen M., Danielewicz A., Fehrenbacher N., Lademann U., Hoyer-Hansen M., Weber E., Multhoff G., Rohde M., Jaattela M. (2004) Heat shock protein 70 promotes cell survival by inhibiting lysosomal membrane permeabilization. J. Exp. Med. 200, 425–435.
- Milanović Z., Pantelić S., Trajković N., Sporiš G., Kostić R., James N. (2013) Age-related decrease in physical activity and functional fitness among elderly men and women. Clin. Interv. Aging. 8, 549–556.
- Buchman A.S., Wilson R.S., Yu L., James B.D., Boyle P.A., Bennett D.A. (2014) Total daily activity declines more rapidly with increasing age in older adults. Arch. Gerontol. Geriatr. 58, 74–79.
- Iliadi K.G., Boulianne G.L. (2010) Age-related behavioral changes in Drosophila. Ann. N.Y. Acad. Sci. 1197, 9–18.
- Jones M.A., Grotewiel M. (2011) Drosophila as a model for age-related impairment in locomotor and other behaviors. Exp. Gerontol. 46, 320–325.
- Tower J. (2023) Markers and mechanisms of death in Drosophila. Front Aging. 4, 1292040.
- Lints F.A., Le Bourg E., Lints C.V. (1984) Spontaneous locomotor activity and life span. A test of the rate of living theory in Drosophila melanogaster. Gerontology. 30, 376–387.
- Le Bourg E. (1987) The rate of living theory. Spontaneous locomotor activity, aging and longevity in Drosophila melanogaster. Exp. Gerontol. 22, 359–369.
- Shaposhnikov M.V., Guvatova Z.G., Zemskaya N.V., Koval L.A., Schegoleva E.V., Gorbunova A.A., Golubev D.A., Pakshina N.R., Ulyasheva N.S., Solovev I.A., Bobrovskikh M.A., Gruntenko N.E., Menshanov P.N., Krasnov G.S., Kudryavseva A.V., Moskalev A.A. (2022) Molecular mechanisms of exceptional lifespan increase of Drosophila melanogaster with different genotypes after combinations of pro-longevity interventions. Commun. Biol. 5, 566.
- Mueller J.M., Zhang N., Carlson J.M., Simpson J.H. (2021) Variation and variability in Drosophila grooming behavior. Front. Behav. Neurosci. 15, 769372.
- Bi X., Wei S.C., Rong Y.S. (2004) Telomere protection without a telomerase; the role of ATM and Mre11 in Drosophila telomere maintenance. Curr. Biol. 14, 1348–1353.
- Bi X., Gong M., Srikanta D., Rong Y.S. (2005) Drosophila ATM and Mre11 are essential for the G2/M checkpoint induced by low-dose irradiation. Genetics. 171, 845–847.
- Ciapponi L., Cenci G., Gatti M. (2006) The Drosophila Nbs protein functions in multiple pathways for the maintenance of genome stability. Genetics. 173, 1447–1454.
- Scoles D.R., Gandelman M., Paul S., Dexheimer T., Dansithong W., Figueroa K.P., Pflieger L.T., Redlin S., Kales S.C., Sun H., Maloney D., Damoiseaux R., Henderson M.J., Simeonov A., Jadhav A., Pulst S.M. (2022) A quantitative high-throughput screen identifies compounds that lower expression of the SCA2-and ALS-associated gene ATXN2. J. Biol. Chem. 298, 102228.
- Patel P.R., Sun H., Li S.Q., Shen M., Khan J., Thomas C.J., Davis M.I. (2013) Identification of potent Yes1 kinase inhibitors using a library screening approach. Bioorg. Med. Chem. Lett. 23, 4398–4403.
Supplementary files











