Омиксное исследование злокачественных новообразований яичника: от метаболомного профиля мочи к малоинвазивным микрорнк-маркерам
- Авторы: Кутилин Д.С.1, Гуськова О.Н.1, Филиппов Ф.Е.1, Максимов А.Ю.1
-
Учреждения:
- Национальный медицинский исследовательский центр онкологии Министерства здравоохранения Российской Федерации
- Выпуск: Том 59, № 1 (2025)
- Страницы: 80-116
- Раздел: ГЕНОМИКА. ТРАНСКРИПТОМИКА
- URL: https://journal-vniispk.ru/0026-8984/article/view/294710
- DOI: https://doi.org/10.31857/S0026898425010067
- EDN: https://elibrary.ru/HDBYUG
- ID: 294710
Цитировать
Аннотация
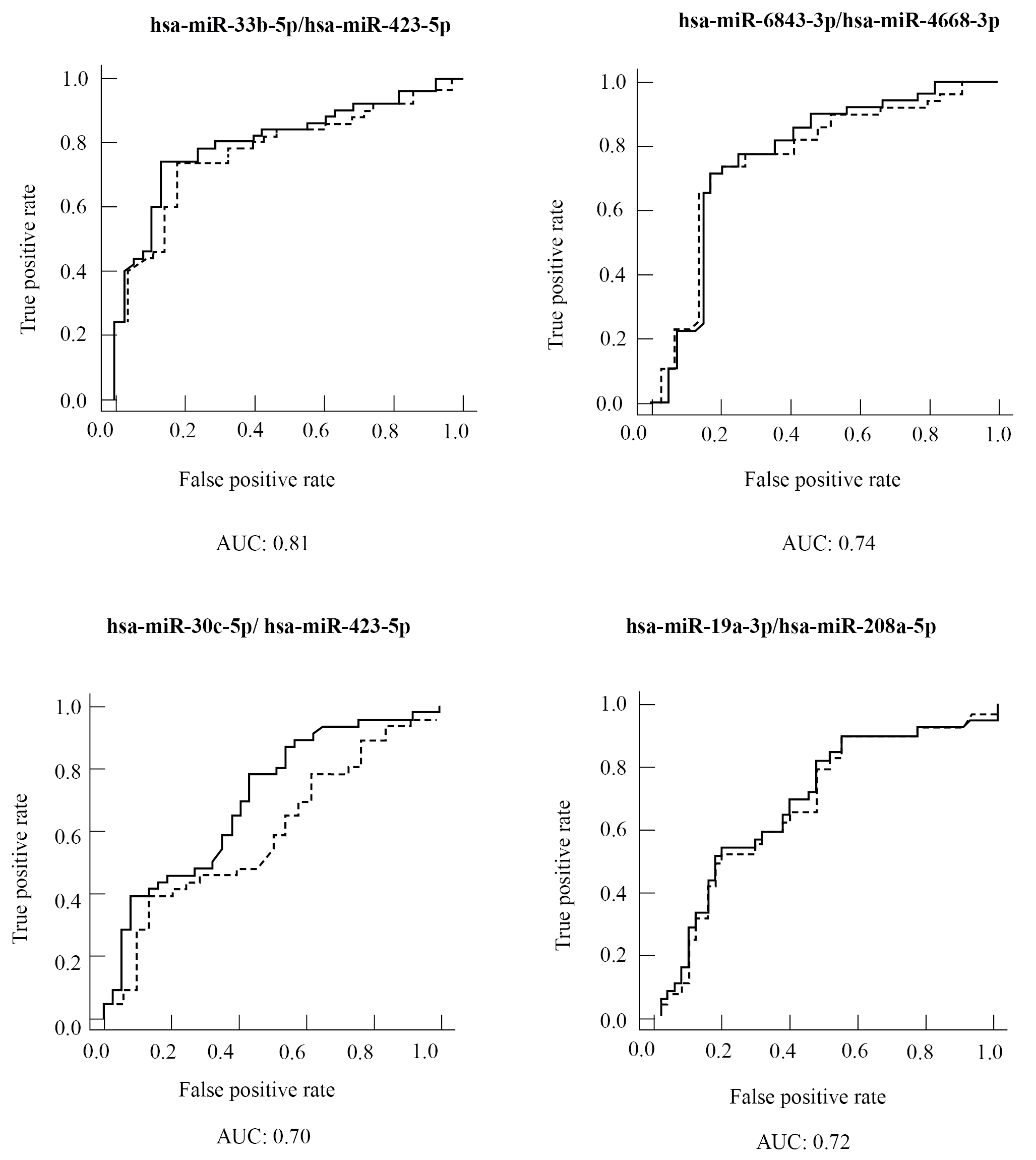
Поиск эффективных биомаркеров рака яичников является одним из актуальных направлений онкогинекологии. Метаболомное профилирование методом ультравысокоэффективной жидкостной хроматографии и масс-спектрометрии позволяет получить информацию о совокупности всех низкомолекулярных метаболитов в образце биологической жидкости пациента. Эти метаболиты могут стать потенциальными маркерами заболевания, а комбинация с данными об уровне микроРНК значительно повышает их диагностичечскую значимость. С целью выявления потенциальных неинвазивных диагностических маркеров рака яичников изучен метаболомный профиль и уровень транскриптов микроРНК в моче больных серозной аденокарциномой яичников. В исследование вошли 60 пациенток с диагнозом серозная аденокарцинома яичников и 20 женщин без онкопатологии в анамнезе. Разделение метаболитов проводили на хроматографе Vanquish Flex UHPLC System, сопряженном с масс-спектрометром Orbitrap Exploris 480. Поиск генов-регуляторов метаболитов и микроРНК-регуляторов генов осуществляли с использованием метода машинного обучения Random forest. Уровень транскриптов микроРНК в моче определяли методом ПЦР в режиме реального времени. Для построения предсказательных моделей использовали LASSO-пенализованную логистическую регрессию. В моче больных раком яичника выявлена аномальная концентрация 26 соединений (кинуренина, фенилаланил-валина, лизофосфатидилхолинов 18:3, 18:2, 20:4 и 14:0, аланил-лейцина, L-фенилаланина, фосфатидилинозитола (34:1), 5-метокситриптофана, 2-гидроксимиристиновой кислоты, 3-оксохолевой кислоты, индолакриловой кислоты, лизофосфатидилсерина (20:4), L-бета-аспартил-L-фенилаланина, миристиновой кислоты, деканоилкарнитина, аспартил-глицина, малонилкарнитина, 3-гидроксибутирилкарнитина, 3-метилксантина, 2,6 диметилгептаноилкарнитина, 3-оксододекановой кислоты, N-ацетилпролина, L-октаноилкарнитина и каприлоилглицина). С использованием метода Random forest установлены взаимосвязи метаболит–ген-регулятор (47 генов) и метаболит–микроРНК-регулятор (613 уникальных микроРНК). Уровень 85 микроРНК в моче проанализирован методом ПЦР в режиме реального времени. Обнаружены изменения уровня транскриптов miR-382-5p, miR-593-3p, miR-29a-5p, miR-2110, miR-30c-5p, miR-181a-5p, let-7b-5p, miR-27a-3p, miR-370-3p, miR-6529-5p, miR-653-5p, miR-4742-5p, miR-2467-3p, miR-1909-5p, miR-6743-5p, miR-875-3p, miR-19a-3p, miR-208a-5p, miR-330-5p, miR-1207-5p, miR-4668-3p, miR-3193, miR-23a-3p, miR-12132, miR-765, miR-181b-5p, miR-4529-3p, miR-33b-5p, miR-17-5p, miR-6866-3p, miR-4753-5p, miR-103a-3p, miR-423-5p, miR-491-5p, miR-196b-5p, miR-6843-3p, miR-423-5p и miR-3184-5p в моче пациенток с раком яичника относительно контрольной группы. Таким образом, в моче больных раком яичника обнаружен значительный метаболомный дисбаланс, ассоциированный с изменениями уровней микроРНК, регулирующих сигнальные пути этих метаболитов. При этом 26 соединений с аномальной концентрацией и уровни транскриптов микроРНК miR-33b-5p, miR-423-5p, miR-6843-3p, miR-4668-3p, miR-30c-5p, miR-6743-5p, miR-4742-5p, miR-1207-5p и miR-17-5p в моче могут служить неинвазивными диагностическими маркерами рака яичников.
Полный текст
Об авторах
Д. С. Кутилин
Национальный медицинский исследовательский центр онкологии Министерства здравоохранения Российской Федерации
Автор, ответственный за переписку.
Email: k.denees@yandex.ru
Россия, Ростов-на-Дону
О. Н. Гуськова
Национальный медицинский исследовательский центр онкологии Министерства здравоохранения Российской Федерации
Email: k.denees@yandex.ru
Россия, Ростов-на-Дону
Ф. Е. Филиппов
Национальный медицинский исследовательский центр онкологии Министерства здравоохранения Российской Федерации
Email: k.denees@yandex.ru
Россия, Ростов-на-Дону
А. Ю. Максимов
Национальный медицинский исследовательский центр онкологии Министерства здравоохранения Российской Федерации
Email: k.denees@yandex.ru
Россия, Ростов-на-Дону
Список литературы
- Reid B.M., Permuth J.B., Sellers T.A. (2017) Epidemiology of ovarian cancer: a review. Cancer Biol. Med. 14(1), 9–32.
- Каприн А.Д., Старинский В.В., Петрова Г.В. (2019) Злокачественные новообразования в России в 2018 г. (заболеваемость и смертность). М.: МНИОИ им. П.А. Герцена — филиал ФГБУ “НМИЦ радиологии” Минздрава России.
- Цандекова М.Р., Порханова Н.В., Кутилин Д.С. (2020) Молекулярная характеристика серозной аденокарциномы яичника: значение для диагностики и лечения. Современные проблемы науки и образования. №1. https://science-education.ru/ru/article/view?id=29428
- Meinhold-Heerlein I., Fotopoulou C., Harter P., Kurzeder C., Mustea A., Wimberger P., Hauptmann S., Sehouli J. (2016) The new WHO classification of ovarian, fallopian tube, and primary peritoneal cancer and its clinical implications. Arch. Gynecol. Obstet. 293(4), 695–700.
- Rooth C. (2013) Ovarian cancer: risk factors, treatment and management. Br. J. Nurs. 22 (17), S 23–30.
- Swiatly A., Plewa S, Matysiak J., Kokot Z.J. (2018) Mass spectrometry-based proteomics techniques and their application in ovarian cancer research. J. Ovarian Res. 11(1), 88. https://doi.org/10.1186/s13048-018-0460-6
- Veenstra T.D. (2012) Metabolomics: the final frontier? Genome Med. 4(4), 40.
- Schmidt D.R., Patel R., Kirsch D.G., Lewis C.A., Vander Heiden M.G., Locasale J.W. (2021) Metabolomics in cancer research and emerging applications in clinical oncology. CA Cancer J. Сlin. 71(4), 333–358.
- Balcells I., Cirera S., Busk P.K. (2011) Specific and sensitive quantitative RT-PCR of miRNAs with DNA primers. BMC Biotechnol. 11(1), 70.
- Vandesompele J., De Preter K., Pattyn F., Poppe B., Van Roy N., De Paepe A., Speleman F. (2002) Accurate normalization of real-time quantitative RT-PCR data by geometric averaging of multiple internal control genes. Genome Biol. 3(7), research0034.
- Peltier H.J., Latham G.J. (2008) Normalization of microRNA expression levels in quantitative RT-PCR assays: identification of suitable reference RNA targets in normal and cancerous human solid tissues. RNA. 14, 844–852.
- Shen Y., Li Y., Ye F., Wang F., Wan X., Lu W., Xie X. (2011) Identification of miR-23a as a novel microRNA normalizer for relative quantification in human uterine cervical tissues. Exp. Mol. Med. 43, 358–366.
- Кутилин Д.С., Димитриади С.Н., Водолажский Д.И., Франциянц Е.М., Кит О.И. (2017) Влияние тепловой ишемии-реперфузии на экспрессию апоптоз-регулирующих генов в почечной ткани больных с почечно-клеточным раком. Нефрология. 21(1), 80–86.
- Jones E., Oliphant E., Peterson P. (2001) SciPy: Open source scientific tools for python. http://www.scipy.org/
- Ding J., Li X., Hu H. (2016) TarPmiR: a new approach for microRNA target site prediction. Bioinformatics. 32(18), 2768–2775.
- Цандекова М.Р., Порханова Н.В., Кит О.И., Кутилин Д.С. (2021) Малоинвазивная молекулярная диагностика серозной аденокарциномы яичника высокой и низкой степени злокачественности. Онкогинекология. 4, 35–50.
- Causin R., Pessôa-Pereira D., Souza K., Evangelista A., Reis R., Fregnani J., Marques M. (2019) Identification and performance evaluation of housekeeping genes for microRNA expression normalization by reverse transcription-quantitative PCR using liquid-based cervical cytology samples. Oncol. Lett. 18, 4753–4761.
- Hanke M., Hoefig K., Merz H., Feller A., Kausch I., Jocham D., Warnecke J., Sczakiel G. (2010) A robust methodology to study urine microRNA as tumor marker: microRNA-126 and microRNA-182 are related to urinary bladder cancer. Urol. Oncol. 28(6), 655–661.
- Weber J., Baxter D., Zhang S., Huang D., Huang K., Lee M., Galas D., Wang K. (2010) The microRNA spectrum in 12 body fluids. Clin. Сhem. 56(11), 1733–1741.
- Zafari S., Backes C., Leidinger P., Meese E., Keller A. (2015) Regulatory microRNA networks: complex patterns of target pathways for disease-related and housekeeping microRNAs. Genomics Proteomics Bioinformatics. 13, 159–168.
- Koundouros N., Poulogiannis G. (2020) Reprogramming of fatty acid metabolism in cancer. Br. J. Сancer. 122(1), 4–22.
- Zhao S., Cheng L., Shi Y., Li J., Yun Q., Yang H. (2021) MIEF2 reprograms lipid metabolism to drive progression of ovarian cancer through ROS/AKT/mTOR signaling pathway. Cell Death Dis. 12(1), 18.
- Zazula R., Moravec M., Pehal F., Nejtek T., Protuš M., Müller M. (2021) Myristic acid serum levels and their significance for diagnosis of systemic inflammatory response, sepsis, and bacteraemia. J. Person. Med. 11(4), 306.
- Nelson D.L, Cox M.M. (2005) Lehninger principles of biochemistry (4th ed.). New York: W.H. Freeman.
- Matta M., Deubler E., Chajes V., Vozar B., Gunter M.J., Murphy N., Gaudet M.M. (2022) Circulating plasma phospholipid fatty acid levels and breast cancer risk in the Cancer Prevention Study‐II Nutrition Cohort. Int. J. Cancer. 151(12), 2082–2094.
- Aglago E.K., Murphy N., Huybrechts I., Nicolas G., Casagrande C., Fedirko V., Weiderpass E., Rothwell J.A., Dahm C.C., Olsen A., Tjønneland A., Kaaks R., Katzke V., Schulze M.B., Masala G., Agnoli C., Panico S., Tumino R., Sacerdote C., Bueno-de-Mesquita B.H., Derksen J.W.G., Skeie G., Gram I.T., Brustad M., Jakszyn P., Sánchez M.J., Amiano P., Huerta J.M., Ericson U., Wennberg M., Perez-Cornago A., Heath A.K., Jenab M., Chajes V., Gunter M.J. (2021) Dietary intake and plasma phospholipid concentrations of saturated, monounsaturated and trans fatty acids and colorectal cancer risk in the European Prospective Investigation into Cancer and Nutrition Сohort. Int. J. Сancer. 149(4), 865–882.
- Weir T.L., Manter D.K., Sheflin A.M., Barnett B.A., Heuberger A.L., Ryan E.P. (2013) Stool microbiome and metabolome differences between colorectal cancer patients and healthy adults. PLoS One. 8(8), e70803.
- Cheng Y., Xie G., Chen T., Qiu Y., Zou X., Zheng M., Tan B., Feng B., Dong T., He P., Zhao L., Zhao A., Xu L.X., Zhang Y., Jia W. (2012) Distinct urinary metabolic profile of human colorectal cancer. J. Proteome Res. 11(2), 1354–1363.
- Ni Y., Xie G., Jia W. (2014) Metabonomics of human colorectal cancer: new approaches for early diagnosis and biomarker discovery. J. Proteome Res. 13(9), 3857–3870.
- Brown D.G., Rao S., Weir T.L., O'Malia J., Bazan M., Brown R.J., Ryan E.P. (2016) Metabolomics and metabolic pathway networks from human colorectal cancers, adjacent mucosa, and stool. Cancer Metab. 4, 11.
- Sinha R., Ahn J., Sampson J.N., Shi J., Yu G., Xiong X., Hayes R.B., Goedert J.J. (2016) Fecal microbiota, fecal metabolome, and colorectal cancer interrelations. PLoS One. 11(3), e0152126.
- Goedert J.J., Sampson J.N., Moore S.C., Xiao Q., Xiong X., Hayes R.B., Ahn J., Shi J., Sinha R. (2014) Fecal metabolomics: assay performance and association with colorectal cancer. Carcinogenesis. 35(9), 2089–2096.
- Wang X., Wang J., Rao B., Deng L. (2017) Gut flora profiling and fecal metabolite composition of colorectal cancer patients and healthy individuals. Exp. Ther. Med. 13(6), 2848–2854.
- Jenske R., Vetter W. (2008) Enantioselective analysis of 2-and 3-hydroxy fatty acids in food samples. J. Agric. Food Chem. 56(24), 11578–11583.
- Hama H. (2010) Fatty acid 2-hydroxylation in mammalian sphingolipid biology. Biochim. Biophys. Acta. 1801(4), 405–414.
- Guo L., Zhang X., Zhou D., Okunade A.L., Su X. (2012) Stereospecificity of fatty acid 2-hydroxylase and differential functions of 2-hydroxy fatty acid enantiomers. J. Lipid Res. 53(7), 1327–1335.
- Sun L., Yang X., Huang X., Yao Y., Wei X., Yang S., Zhou D., Zhang W., Long Z., Xu X., Zhu X., He S., Su X. (2021) 2-Hydroxylation of fatty acids represses colorectal tumorigenesis and metastasis via the YAP transcriptional axis FA2H regulates metabolic reprogramming in colorectal cancer. Cancer Res. 81(2), 289–302.
- Lemay A.M., Courtemanche O., Couttas T.A., Jamsari G., Gagné A., Bossé Y., Joubert P., Don A.S., Marsolais D. (2019) High FA2H and UGT8 transcript levels predict hydroxylated hexosylceramide accumulation in lung adenocarcinoma. J. Lipid Res. 60(10), 1776–1786.
- Paige L.A., Zheng G.-Q., DeFrees S.A., Cassady J.M., Geahlen R.L. (1990) Metabolic activation of 2-substituted derivatives of myristic acid to form potent inhibitors of myristoyl CoA:protein N-myristoyltransferase. Biochemistry. 29, 10566‒10573.
- Nadler M.J., Harrison M.L., Ashendel C.L., Cassady J.M., Geahlen R.L. (1993) Treatment of T cells with 2-hydroxymyristic acid inhibits the myristoylation and alters the stability of p56lck. Biochemistry. 32(35), 9250–9255.
- Batsika C.S., Mantzourani C., Gkikas D., Kokotou M.G., Mountanea O.G., Kokotos C.G., Politis P.K., Kokotos G. (2021) Saturated oxo fatty acids (SOFAs): а previously unrecognized class of endogenous bioactive lipids exhibiting a cell growth inhibitory activity. J. Med. Chem. 64(9), 5654–5666.
- McCann M.R., George De la Rosa M.V., Rosania G.R., Stringer K.A. (2021) L-carnitine and acylcarnitines: mitochondrial biomarkers for precision medicine. Metabolites. 11(1), 51.
- Console L., Scalise M., Mazza T., Pochini L., Galluccio M., Giangregorio N., Tonazzi A., Indiveri C. (2020) Carnitine traffic in cells. Link with cancer. Front. Cell Dev. Biol. 8, 583850.
- Warburg O., Wind F., Negelein E. (1927) The metabolism of tumors in the body. J. Gen. Physiol. 8(6), 519‒530.
- Ganapathy V., Thangaraju M., Prasad P.D. (2009) Nutrient transporters in cancer: relevance to Warburg hypothesis and beyond. Pharmacol. Тher. 121(1), 29–40.
- Zhang J., Wu G., Zhu H., Yang F., Yang S., Vuong A.M., Li J., Zhu D., Sun Y., Tao W. (2022) Circulating carnitine levels and breast cancer: a matched retrospective case-control study. Front. Oncol. 12, 891619.
- Kim H.I., Raffler J., Lu W., Lee J.J., Abbey D., Saleheen D., Rabinowitz J.D., Bennett M.J., Hand N.J., Brown C., Rader D.J. (2017) Fine mapping and functional analysis reveal a role of SLC22A1 in acylcarnitine transport. Am. J. Hum. Genet. 101(4), 489–502.
- Hagenbuchner J., Scholl-Buergi S., Karall D., Ausserlechner M.J. (2018) Very long— and long сhain-3-hydroxy acyl CoA dehydrogenase deficiency correlates with deregulation of the mitochondrial fusion/fission machinery. Sci. Rep. 8(1), 3254.
- Vargas C.R., Ribas G.S., da Silva J.M., Sitta A., Deon M., de Moura Coelho D., Wajner M. (2018) Selective screening of fatty acids oxidation defects and organic acidemias by liquid chromatography/tandem mass spectrometry acylcarnitine analysis in Brazilian patients. Arch. Med. Res. 49(3), 205–212.
- Makrecka-Kuka M., Sevostjanovs E., Vilks K., Volska K., Antone U., Kuka J., Makarova E., Pugovics O., Dambrova M., Liepinsh E. (2017) Plasma acylcarnitine concentrations reflect the acylcarnitine profile in cardiac tissues. Sci. Rep. 7(1), 17528.
- Violante S., Ijlst L., Ruiter J., Koster J., van Lenthe H., Duran M., de Almeida I.T., Wanders R.J., Houten S.M., Ventura F.V. (2013) Substrate specificity of human carnitine acetyltransferase: implications for fatty acid and branched-chain amino acid metabolism. Biochim. Biophys. Acta. 1832(6), 773–779.
- Ahmad T., Kelly J.P., McGarrah R.W., Hellkamp A.S., Fiuzat M., Testani J.M., Wang T.S., Verma A., Samsky M.D., Donahue M.P., Ilkayeva O.R., Bowles D.E., Patel C.B., Milano C.A., Rogers J.G., Felker G.M., O'Connor C.M., Shah S.H., Kraus W.E. (2016) Prognostic implications of long-chain acylcarnitines in heart failure and reversibility with mechanical circulatory support. J. Am. Coll. Cardiol. 67(3), 291–299.
- Wang Y., Chen Y., Guan L., Zhang H., Huang Y., Johnson C.H., Wu Z., Gonzalez F.J., Yu A., Huang P., Wang Y., Yang S., Chen P., Fan X., Huang M., Bi H. (2018) Carnitine palmitoyltransferase 1C regulates cancer cell senescence through mitochondria-associated metabolic reprograming. Cell Death Differ. 25(4), 735–748.
- Valentino A., Calarco A., Di Salle A., Finicelli M., Crispi S., Calogero R.A., Riccardo F., Sciarra A., Gentilucci A., Galderisi U., Margarucci S., Peluso G. (2017) Deregulation of microRNAs mediated control of carnitine cycle in prostate cancer: molecular basis and pathophysiological consequences. Oncogene. 36(43), 6030–6040.
- Ganti S., Taylor S.L., Kim K., Hoppel C.L., Guo L., Yang J., Evans C., Weiss R.H. (2012) Urinary acylcarnitines are altered in human kidney cancer. Internat. J. Сancer. 130(12), 2791–2800.
- Santer R., Fingerhut R., Lässker U., Wightman P.J., Fitzpatrick D.R., Olgemöller B., Roscher A.A. (2003) Tandem mass spectrometric determination of malonylcarnitine: diagnosis and neonatal screening of malonyl-CoA decarboxylase deficiency. Clin. Chem. 49(4), 660–662.
- Bouatra S., Aziat F., Mandal R., Guo A.C., Wilson M.R., Knox C., Bjorndahl T.C., Krishnamurthy R., Saleem F., Liu P., Dame Z.T., Poelzer J., Huynh J., Yallou F.S., Psychogios N., Dong E., Bogumil R., Roehring C., Wishart D.S. (2013) The human urine metabolome. PLoS One. 2013(9), e73076.
- Clayton P.T., Eaton S., Aynsley-Green A., Edginton M., Hussain K., Krywawych S., Datta V., Malingre H.E., Berger R., van den Berg I.E. (2001) Hyperinsulinism in short-chain L-3-hydroxyacyl-CoA dehydrogenase deficiency reveals the importance of beta-oxidation in insulin secretion. J. Clin. Invest. 108(3), 457–465.
- Catanzano F., Ombrone D., Di Stefano C., Rossi A., Nosari N., Scolamiero E., Tandurella I., Frisso G., Parenti G., Ruoppolo M., Andria G., Salvatore F. (2010) The first case of mitochondrial acetoacetyl-CoA thiolase deficiency identified by expanded newborn metabolic screening in Italy: the importance of an integrated diagnostic approach. J. Inherit. Metab. Dis. 33(Suppl 3), S91–94.
- Nizioł J., Bonifay V., Ossoliński K., Ossoliński T., Ossolińska A., Sunner J., Beech I., Arendowski A., Ruman T. (2018) Metabolomic study of human tissue and urine in clear cell renal carcinoma by LC-HRMS and PLS-DA. Anal. Bioanal. Chem. 410(16), 3859–3869.
- Dambrova M., Makrecka-Kuka M., Kuka J., Vilskersts R., Nordberg D., Attwood M.M., Smesny S., Sen Z.D., Guo A.C., Oler E., Tian S., Zheng J., Wishart D.S., Liepinsh E., Schiöth H.B. (2022) Acylcarnitines: nomenclature, biomarkers, therapeutic potential, drug targets, and clinical trials. Pharmacol. Rev. 74(3), 506–551.
- Pierre G., Macdonald A., Gray G., Hendriksz C., Preece M.A., Chakrapani A. (2007) Prospective treatment in carnitine-acylcarnitine translocase deficiency. J. Inherit. Metab. Dis. 30(5), 815.
- Huang Z., Lin L., Gao Y., Chen Y., Yan X., Xing J., Hang W. (2011) Bladder cancer determination via two urinary metabolites: a biomarker pattern approach. Mol. Cell. Proteomics. 10(10), M111.007922.
- Chace D.H., DiPerna J.C., Adam B.W., Hannon W.H. (2001) Errors caused by the use of D,L-octanoylcarnitine for blood-spot calibrators. Clin. Chem. 47(4), 758–760.
- Kolho K.L., Pessia A., Jaakkola T., de Vos W.M., Velagapudi V. (2017) Faecal and serum metabolomics in paediatric inflammatory bowel disease. J. Crohns Colitis. 11(3), 321–334.
- Cho K., Moon J.S., Kang J.H., Jang H.B., Lee H.J., Park S.I., Yu K.S., Cho J.Y. (2017) Combined untargeted and targeted metabolomic profiling reveals urinary biomarkers for discriminating obese from normal-weight adolescents. Pediatr. Obes. 12(2), 93–101.
- Chang W., Fa H., Xiao D., Wang J. (2020) Targeting phosphatidylserine for сancer therapy: prospects and challenges. Theranostics. 10(20), 9214–9229.
- Rolin J., Maghazachi A.A. (2011) Effects of lysophospholipids on tumor microenvironment. Cancer Microenvironment. 4(3), 393–403.
- Li X., Nakayama K., Goto T., Kimura H., Akamatsu S., Hayashi Y., Fujita K., Kobayashi T., Shimizu K., Nonomura N., Ogawa O., Inoue T. (2021) High level of phosphatidylcholines/lysophosphatidylcholine ratio in urine is associated with prostate cancer. Cancer Sci. 112(10), 4292–4302. doi: 10.1111/cas.15093.
- Ray U., Roy Chowdhury S., Vasudevan M., Bankar K., Roychoudhury S., Roy S.S. (2017) Gene regulatory networking reveals the molecular cue to lysophosphatidic acid‐induced metabolic adaptations in ovarian cancer cells. Mol. Oncol. 11(5), 491–516.
- Lordan R., Redfern S., Tsoupras A., Zabetakis I. (2020) Inflammation and cardiovascular disease: are marine phospholipids the answer? Food Function. 11(4), 2861–2885.
- Xi Y., Tu A., Muddiman D.C. (2020) Lipidomic profiling of single mammalian cells by infrared matrix-assisted laser desorption electrospray ionization (IR-MALDESI). Anal. Bioanal. Chem. 412, 8211–8222.
- Rodgers A.L., Jappie-Mahomed D., van Jaarsveld P.J. (2019) Testing the dogma that total phospholipid fatty acid composition of blood plays a role in kidney stone pathogenesis, using a high–low risk human model: results from a pilot study. Urolithiasis. 47, 255–261.
- Küllenberg D., Taylor L.A., Schneider M., Massing U. (2012) Health effects of dietary phospholipids. Lipids Health Dis. 11, 3.
- Min H.K., Lim S., Chung B.C, Moon M.H. (2011) Shotgun lipidomics for candidate biomarkers of urinary phospholipids in prostate cancer. Analyt. Bioanalyt. Chem. 399, 823–830.
- Zeleznik O.A., Clish C.B., Kraft P., Avila-Pacheco J., Eliassen A.H., Tworoger S.S. (2020) Circulating lysophosphatidylcholines, phosphatidylcholines, ceramides, and sphingomyelins and ovarian cancer risk: a 23-year prospective study. J. Natl. Cancer Inst. 112(6), 628–636.
- Li X., Wang L., Fang P., Sun Y., Jiang X., Wang H., Yang X.F. (2018) Lysophospholipids induce innate immune transdifferentiation of endothelial cells, resulting in prolonged endothelial activation. J. Biol. Chem. 293(28), 11033–11045.
- Lauber K., Bohn E., Kröber S.M., Xiao Y. (2003) Apoptotic cells induce migration of phagocytes via caspase-3-mediated release of a lipid attraction signal. Cell. 113(6), 717–730.
- Houlihan W., Lohmeyer M., Workman P., Cheon S.H. (1995) Phospholipid antitumor agents. Med. Res. Rev. 15(3), 157–223.
- Yea K., Kim J., Lim S., Kwon T., Park H.S., Park K.S., Suh P.G., Ryu S.H. (2009) Lysophosphatidylserine regulates blood glucose by enhancing glucose transport in myotubes and adipocytes. Biochem. Biophys. Res. Commun. 378(4), 783–788.
- National Center for Biotechnology Information (2023) PubChem Compound Summary for CID 42607474, Lysophosphatidylserine. https://pubchem.ncbi.nlm.nih.gov/compound/Lysophosphatidylserine
- Otake-Kasamoto Y., Kayama H., Kishikawa T., Shinzaki S., Tashiro T., Amano T., Tani M., Yoshihara T., Li B., Tani H., Liu L., Hayashi A., Okuzaki D., Motooka D., Nakamura S., Okada Y., Iijima H., Takeda K., Takehara T. (2022) Lysophosphatidylserines derived from microbiota in Crohn's disease elicit pathological Th1 response. J. Exp. Med. 219(7), e20211291.
- Sim M.S., Kim H.J., Jo S.H., Kim C., Chung I.Y. (2022) Lysophosphatidylserine induces MUC5AC production via the feedforward regulation of the TACE-EGFR-ERK pathway in airway epithelial cells in a receptor-independent manner. Int. J. Mol. Sci. 23(7), 3866.
- Frasch S.C., Bratton D.L. (2012) Emerging roles for lysophosphatidylserine in resolution of inflammation. Progr. Lipid Res. 51(3), 199–207.
- Zhou Y., Chang M., Wang N., Zhuang Y., Wang F., Zhang X., Guo M., Lin N., Li J.Z., Wang Q. (2022) Phosphatidylserine-specific phospholipase A1 limits aggressiveness of lung adenocarcinoma by lysophosphatidylserine and protein kinase A-dependent pathway. Am. J. Pathol. 192(6), 970–983.
- Uranbileg B., Kurano M., Sato M., Ikeda H., Ishizawa T., Hasegawa K., Kokudo N., Yatomi Y. (2020) Possible involvement of PS-PLA1 and lysophosphatidylserine receptor (LPS1) in hepatocellular carcinoma. Sci. Rep. 10(1), 2659.
- Iida Y.H., Tsuno N., Kishikawa J., Kaneko K., Murono K., Kawai K., Ikeda T., Ishihara S., Yamaguchi H., Sunami E., Kitayama J., Yatomi Y., Watanabe T. (2014) Lysophosphatidylserine stimulates chemotactic migration of colorectal cancer cells through GPR34 and PI3K/Akt pathway. Anticancer Res. 34(10), 5465–5472.
- Kaynak A., Davis H.W., Kogan A.B., Lee J.H., Narmoneva D.A., Qi X. (2022) Phosphatidylserine: the unique dual-role biomarker for cancer imaging and therapy. Cancers. 14(10), 2536.
- Wood M.N., Ishiyama N., Singaram I., Chung C.M., Flozak A.S., Yemelyanov A., Ikura M., Cho W., Gottardi C.J. (2017) α-Catenin homodimers are recruited to phosphoinositide-activated membranes to promote adhesion. J. Cell. Biol. 216(11), 3767–3783.
- Ramos A.R., Elong Edimo W., Erneux C. (2018) Phosphoinositide 5-phosphatase activities control cell motility in glioblastoma: two phosphoinositides PI(4,5)P2 and PI(3,4)P2 are involved. Adv. Biol. Regul. 67, 40–48.
- Owusu Obeng E., Rusciano I., Marvi M.V., Fazio A., Ratti S., Follo M.Y., Xian J., Manzoli L., Billi A.M., Mongiorgi S., Ramazzotti G., Cocco L. (2020) Phosphoinositide-dependent signaling in cancer: a focus on phospholipase C isozymes. Int. J. Mol. Sci. 21(7), 2581.
- Endicott M., Jones M., Hull J. (2021) Amino acid metabolism as a therapeutic target in cancer: a review. Amino Acids. 53(8), 1169–1179.
- Sikalidis A.K. (2015) Amino acids and immune response: a role for cysteine, glutamine, phenylalanine, tryptophan and arginine in T-cell function and cancer? Pathol. Oncol. Res. 21(1), 9–17.
- Feng X., Shen P., Wang Y., Li Z., Bian J. (2019) Synthesis and in vivo antitumor evaluation of an orally active potent phosphonamidate derivative targeting IDO1/IDO2/TDO. Biochem. Pharmacol. 168, 214–223.
- Badawy A.A. (2017) Kynurenine pathway of tryptophan metabolism: regulatory and functional aspects. Int. J. Tryptophan Res. 10, 11786469–17691938.
- Сибиряк С.В., Вахитов В.А., Садовников С.В., Ямиданов Р.С., Капулер О.М., Каут Д.А. (2009) Индуцированная IFNγ продукция кинуренина и экспрессия гена индоламин-2,3-диоксигеназы при псориазе. Мед. Иммунол. 2–3, 147–152.
- Breton J., Avanzi N., Magagnin S., Covini N., Magistrelli G., Cozzi L., Isacchi A. (2000) Functional characterization and mechanism of action of recombinant human kynurenine 3-hydroxylase. Eur. J. Biochem. 267(4), 1092–1099.
- Hilmas C., Pereira E.F., Alkondon M., Rassoulpour A., Schwarcz R., Albuquerque E.X. (2001) The brain metabolite kynurenic acid inhibits α7 nicotinic receptor activity and increases non-α7 nicotinic receptor expression: рhysiopathological implications. J. Neurosci. 21(19), 7463–7473.
- Badawy A.A., Bano S. (2016) Tryptophan metabolism in rat liver after administration of tryptophan, kynurenine metabolites, and kynureninase inhibitors. Int. J. Tryptophan Res. 9, 51–65.
- Munn D.H., Mellor A.L. (2013) Indoleamine 2,3-dioxygenase and metabolic control of immune responses. Trends Immunol. 34(3), 137–143.
- Prendergast G.C., Smith C., Thomas S., Mandik-Nayak L., Laury-Kleintop L., Metz R., Muller A.J. (2014) Indoleamine 2,3-dioxygenase pathways of pathogenic inflammation and immune escape in cancer. Cancer Immunol. Immunother. 63(7), 721–735.
- Munn D.H., Mellor A.L. (2016) IDO in the tumor microenvironment: inflammation, counter-regulation, and tolerance. Trends Immunol. 37(3), 193–207.
- Wlodarska M., Luo C., Kolde R., d'Hennezel E., Annand J.W., Heim C.E., Krastel P., Schmitt E.K., Omar A.S., Creasey E.A., Garner A.L., Mohammadi S., O'Connell D.J., Abubucker S., Arthur T.D., Franzosa E.A., Huttenhower C., Murphy L.O., Haiser H.J., Vlamakis H., Porter J.A., Xavier R.J. (2017) Indoleacrylic acid produced by commensal Peptostreptococcus species suppresses inflammation. Cell Host Microbe. 22(1), 25–37.
- Liu D., Zhang S., Li S., Zhang Q., Cai Y., Li P., Li H., Shen B., Liao Q., Hong Y., Xie Z. (2023) Indoleacrylic acid produced by Parabacteroides distasonis alleviates type 2 diabetes via activation of AhR to repair intestinal barrier. BMC Biol. 21(1), 90.
- Dodd D., Spitzer M.H., Van Treuren W., Merrill B.D., Hryckowian A.J., Higginbottom S.K., Le A., Cowan T.M., Nolan G.P., Fischbach M.A., Sonnenburg J.L. (2017) A gut bacterial pathway metabolizes aromatic amino acids into nine circulating metabolites. Nature. 551(7682), 648–652.
- González-Domínguez R., Jáuregui O., Queipo-Ortuño M.I., Andrés-Lacueva C. (2020) Characterization of the human exposome by a comprehensive and quantitative large-scale multianalyte metabolomics platform. Anal. Chem. 92(20), 13767–13775.
- Tanaka M., Tóth F., Polyák H., Szabó Á., Mándi Y., Vécsei L. (2021) Immune influencers in action: metabolites and enzymes of the tryptophan-kynurenine metabolic pathway. Biomedicines. 9(7), 734.
- Kanova M., Kohout P. (2021) Tryptophan: a unique role in the critically ill. Int. J. Mol. Sci. 22(21), 11714.
- Cheng H.H., Kuo C.C., Yan J.L., Chen H.L., Lin W.C., Wang K.H., Tsai K.K., Guvén H., Flaberg E., Szekely L., Klein G., Wu K.K. (2012) Control of cyclooxygenase-2 expression and tumorigenesis by endogenous 5-methoxytryptophan. Proc. Natl. Acad. Sci. USA. 109(33), 13231–13236.
- Neurauter G., Grahmann A.V., Klieber M., Zeimet A., Ledochowski M., Sperner-Unterweger B., Fuchs D. (2008) Serum phenylalanine concentrations in patients with ovarian carcinoma correlate with concentrations of immune activation markers and of isoprostane-8. Cancer Lett. 272(1), 141–147.
- Ozawa H., Hirayama A., Shoji F., Maruyama M., Suzuki K., Yamanaka-Okumura H., Tatano H., Morine Y., Soga T., Shimada M., Tomita M. (2020) Comprehensive dipeptide analysis revealed cancer-specific profile in the liver of patients with hepatocellular carcinoma and hepatitis. Metabolites. 10(11), 442.
- Sass J.O., Mohr V., Olbrich H., Engelke U., Horvath J., Fliegauf M., Loges N.T., Schweitzer-Krantz S., Moebus R., Weiler P., Kispert A., Superti-Furga A., Wevers R.A., Omran H. (2006) Mutations in ACY1, the gene encoding aminoacylase 1, cause a novel inborn error of metabolism. Am. J. Hum. Genet. 78(3), 401–409.
- Tanaka H., Sirich T.L., Plummer N.S., Weaver D.S., Meyer T.W. (2015) An еnlarged profile of uremic solutes. PLoS One. 10(8), e0135657.
- Lin Y., Ma C., Liu C., Wang Z., Yang J., Liu X., Shen Z., Wu R. (2016) NMR-based fecal metabolomics fingerprinting as predictors of earlier diagnosis in patients with colorectal cancer. Oncotarget. 20, 29454–29464.
- Frankel A.E., Coughlin L.A., Kim J., Froehlich T.W., Xie Y., Frenkel E.P., Koh A.Y. (2017) Metagenomic shotgun sequencing and unbiased metabolomic profiling identify specific human gut microbiota and metabolites associated with immune checkpoint therapy efficacy in melanoma patients. Neoplasia. 19(10), 848–855.
- Ohta A., Sitkovsky M. (2011) Methylxanthines, inflammation, and cancer: fundamental mechanisms. Handb. Exp. Pharmacol. 200, 469–481. doi: 10.1007/978-3-642-13443-2_19
- Shojaei-Zarghani S., Khosroushahi A.Y., Rafraf M., Asghari-Jafarabadi M., Azami-Aghdash S. (2020) Dietary natural methylxanthines and colorectal cancer: a systematic review and meta-analysis. Food Function. 11(12), 10290–10305.
- Liu H., Song J., Zhou Y., Cao L., Gong Y., Wei Y., Yang H., Tang L. (2019) Methylxanthine derivatives promote autophagy in gastric cancer cells targeting PTEN. Anticancer Drugs. 30(4), 347–355.
- Makino I., Hashimoto H., Shinozaki K., Yoshino K., Nakagawa S. (1975) Sulfated and nonsulfated bile acids in urine, serum, and bile of patients with hepatobiliary diseases. Gastroenterology. 68(3), 545–553.
- Degirolamo C., Modica S., Palasciano G., Moschetta A. (2011) Bile acids and colon cancer: solving the puzzle with nuclear receptors. Trends Mol. Med. 17(10), 564–572.
- Pattni S., Walters J.R. (2009) Recent advances in the understanding of bile acid malabsorption. Br. Med. Bull. 92, 79–93.
- Димитриади Т.А., Бурцев Д.В., Дженкова Е.А., Кутилин Д.С. (2020) МикроРНК как маркеры прогрессирования предраковых заболеваний в рак шейки матки. Современные проблемы науки и образования. 1. http://science-education.ru/ru/article/view?id=29529
- Abdelsattar Z.M., Wong S.L., Regenbogen S.E., Jomaa D.M., Hardiman K.M., Hendren S. (2016) Colorectal cancer outcomes and treatment patterns in patients too young for average-risk screening. Cancer. 122, 929–934.
- Li Y., Yao L., Liu F., Hong J., Chen L., Zhang B., Zhang W. (2014) Characterization of microRNA expression in serous ovarian carcinoma. Int. J. Mol. Med. 34(2), 491–498.
- Han Y., Zheng Y., You J., Han Y., Lu X., Wang X., Shi C., Zhu W. (2023) Hsa_circ_0001535 inhibits the proliferation and migration of ovarian cancer by sponging miR-593-3p, upregulating PTEN expression. Clin. Transl. Oncol. 25(10), 2901–2910. doi: 10.1007/s12094-023-03152-2
- Resnick K.E., Alder H., Hagan J.P., Richardson D.L., Croce C.M., Cohn D.E. (2009) The detection of differentially expressed microRNAs from the serum of ovarian cancer patients using a novel real-time PCR platform. Gynecol. Oncol. 112, 55–59.
- Kwon J.J., Factora T.D., Dey S., Kota J. (2018) A systematic review of miR-29 in сancer. Mol. Ther. Oncolytics. 12, 173–194.
- Wu Q., Li G., Gong L., Cai J., Chen L., Xu X., Liu X., Zhao J., Zeng Y., Gao R., Yu., Wang Z. (2023) Identification of miR-30c-5p as a tumor suppressor by targeting the m6A reader HNRNPA2B1 in ovarian cancer. Cancer Med. 12(4), 5055–5070.
- Zhou J., Gong G., Tan H., Dai F., Zhu X., Chen Y., Wang J., Liu Y., Chen P., Wu X., Wen J. (2015) Urinary microRNA-30a-5p is a potential biomarker for ovarian serous adenocarcinoma. Oncol. Rep. 33(6), 2915–2923.
Дополнительные файлы















