Особенности синтеза сложных эфиров пентаэритрита в различных растворителях
- Авторы: Иванова Ю.Ф.1, Емельянов В.В.1, Красных Е.Л.1, Фетисов Д.А.1, Леванова С.В.1, Шакун В.А.1
-
Учреждения:
- Самарский государственный технический университет
- Выпуск: Том 64, № 1 (2024)
- Страницы: 73-79
- Раздел: Статьи
- URL: https://journal-vniispk.ru/0028-2421/article/view/261208
- DOI: https://doi.org/10.31857/S0028242124010068
- EDN: https://elibrary.ru/OINOUV
- ID: 261208
Цитировать
Полный текст
Аннотация
На примере модельной реакции этерификации масляной кислоты пентаэритритом проведены комплексные исследования и рассмотрены варианты оптимизации процесса с целью снижения времени синтеза сложных эфиров пентаэритрита, уменьшения побочных реакций и смолообразования; аргументированы возможные способы выделения растворителя из реакционной массы. Установлено, что применение сульфолана или бифенила в качестве растворителя при катализе сульфокислотами (метан- или толуол-сульфокислота) позволяет сократить время контакта для достижения 50% конверсии по пентаэритриту до 2–8 мин при равных условиях по сравнению с режимом самокатализа (27–578 мин); при этом цветность реакционной массы, определенная по платино-кобальтовой шкале Хазена в соответствии со стандартом ИСО 2211-73, составляет 20–52 единиц против >9800 единиц Хазена в режиме самокатализа.
Ключевые слова
Полный текст
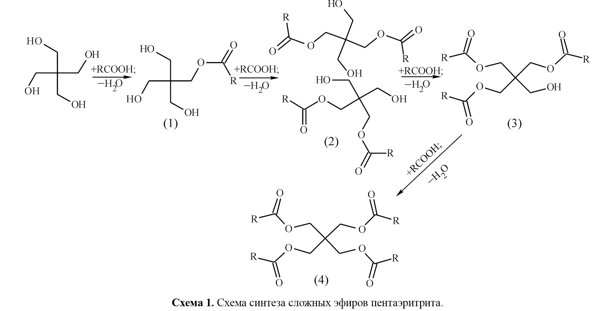
Сложные эфиры на основе пентаэритрита и карбоновых кислот С5–С10 обладают уникальными эксплуатационными свойствами и являются основой синтетических масел пятой группы, которые обеспечивают надежную работу газотурбинных двигателей при жестких эксплуатационных режимах [1–8]. Основной метод их получения – реакция этерификации, которая может быть реализована в режиме самокатализа или в присутствии кислотных катализаторов. На схеме 1 показаны реакции получения моно- (1), ди- (2), три- (3) и тетраэфиров (4) пентаэритрита.
Схема 1. Схема синтеза сложных эфиров пентаэритрита.
Основной проблемой при синтезе целевых продуктов является интенсивное смолообразование, вызванное протеканием побочных реакций: межмолекулярной дегидратации спиртов, их последующей этерификации, а также процессами деструкции получаемых сложных эфиров. Это приводит к снижению цветостабильности реакционных смесей, повышению их вязкости, что затрудняет дальнейшее выделение целевых эфиров пентаэритрита, приводит к нестабильности эксплуатационных характеристик смазочных масел.
Использование термического (100–150°C) варианта проведения процесса (самокаталитический режим), является очень длительным процессом, где время реакции может варьироваться на уровне 20–80 ч [9].
При гомогенном катализе обычно используют минеральные кислоты: ортофосфорную, серную, сульфокислоты, а также соли металлов карбоновых кислот (например, 2-этилгексаноаты олова). Их применение значительно сокращает время реакции, однако способствует образованию большого количества побочных продуктов [10–11].
Основным направлением исследований последнего десятилетия в мировой практике является возможность применения гетерогенных кислотных катализаторов различной природы: так, в работе [12] для этерификации полиолов использовали Amberlist-15, однако агрессивная реакционная среда в виде карбоновых кислот и маслогенных соединений неизбежно приводит к гибели полимерной матрицы рассматриваемого катализатора во время процесса. Еще одним из вариантов гетерогенного катализа, дошедшего до промышленного получения сложных эфиров канифольных кислот, является оксид цинка, нанесенный на Fe3O4. Показано, что этот катализатор эффективен при высоких температурах (~250°C), при которых, однако, проходит декарбоксилирование карбоновых кислот и другие побочные процессы, приводящие реакционную систему в осмоленное состояние [13, 14].
Другое интересное направление в современных поисках оптимизации процесса этерификации – это выбор реакционной среды, состоящей из органического субстрата, растворителя и катализатора. Из литературных данных [15, 16] известно, что структура и свойства растворителей оказывают влияние на ход процесса: они способны к ингибированию реакции или же, наоборот, усилению диссоциации катализатора; изменять механизмы взаимодействия реагирующих молекул. К сожалению, в настоящее время известное количество работ в данном направлении невелико, причем исследования в основном базируются на достаточно простых реакционных системах [17, 18]. Поэтому исследование процессов этерификации полиолов в условиях различных сред представляется весьма актуальной задачей.
Цель работы – исследование вариантов проведения процесса этерификации масляной кислоты пентаэритритом с использованием различных растворителей при самокаталитическом и каталитическом режимах.
ЭКСПЕРИМЕНТАЛЬНАЯ ЧАСТЬ
Исходные реагенты и инертные растворители являлись коммерческими образцами. В качестве модельной системы была выбрана реакция этерификации масляной кислоты пентаэритритом. Выбор в пользу масляной кислоты был обусловлен ее экспериментальной доступностью: относительно низкой стоимостью, а также коротким временем хроматографического анализа исходных реагентов и продуктов реакции.
Вещества, использованные в качестве растворителей, – сульфолан, бифенил, дифенилоксид, хинолин, мезителен, псевдокумол и N-метил-2-пирролидон – подбирались с учетом их термостабильности в выбранном температурном диапазоне и различных показателей диэлектрической проницаемости.
В качестве гомогенных катализаторов были выбраны: ортофосфорная, п-толуолсульфокислота и метансульфокислота.
Чистота исходных реагентов и растворителей подтверждалась методом газовой хроматографии и находилась на уровне >99% (контроль ГЖХ). Исходный пентаэритрит (ОАО Метафракс) содержал в себе порядка 3–4 мас. % примесного дипентаэритрита. Очистку пентаэритрита проводили методом многократной перекристаллизации из бидистиллированной воды. После вакуумной осушки полиол подвергали сублимации, в результате чего удалось достичь чистоты 99.8% (ГЖХ).
Синтез проводили в открытом реакторе смешения, представляющем собой трехгорлую колбу, снабженную насадкой Дина–Старка, соединенной с холодильником Либиха, механическим перемешивающим устройством и пробоотборником. Интервал температур эксперимента 110–150°C с шагом в 10°C; температуру реакционной зоны поддерживали при помощи циркуляционного масляного термостата с точностью ±0.15°C, теплоноситель – ПМС-200 (полиметилсилоксан). При этерификации использовали мольное соотношение спирта и масляной кислоты 1 : 8; количество растворителя 30 мас. %; количество катализатора составляло 1 мас. % на реакционную массу. Все исследования проводили до 50%-ной конверсии по пентаэритриту (для сравнения).
Анализ продуктов этерификации пентаэритрита проводили методом газовой хроматографии на приборе Кристалл 2000М, снабженном пламенно-ионизационным детектором и капиллярной колонкой с привитой неполярной фазой DB-1. Реакционные смеси растворяли в N-метилпироллидоне с последующим внесением н-алканов (в качестве стандарта) с предварительной калибровкой по пентаэритриту и целевым продуктам. Калибровочные коэффициенты для промежуточных продуктов реакции – моно-, ди-, триэфиров пентаэритрита – определяли, исходя из предположения об аддитивном вкладе кислотного фрагмента в молекулу пентаэритрита [19].
Для оценки достоверности калибровочных коэффициентов рассчитывали материальный баланс в каждой экспериментальной точке. Количество непрореагировавшей кислоты определяли титрометрически, а количество реакционной воды определяли расчетным методом, исходя из количества полученных сложных эфиров. Расхождения расчетного материального баланса и загруженного количества реагентов не превышали 2–3%.
Идентификация компонентов сложной реакционной смеси выполнена методом ГХ-МС на газовом хроматографе Agilent 6850, оснащенном капиллярной колонкой Agilent 19091S-433E (30 м × 250 мкм × 0.25 мкм) HP-5MS (неподвижная фаза 5% дифенилполисилоксана + 95% диметилполисилоксана) и масс-селективным детектором Agilent 5975C VL MSD при ионизирующем напряжении 70 эВ.
При идентификации впервые были получены данные для промежуточных моно-, ди-, три- эфиров, не описанные в литературе – 70 eV, m/z, (структура, отн. %):
С4-моноэфир 207 (M+• + 1, 3); 206 (M+•, 0); 143 ([M+•–CH3O•; –CH3OH]+, 20); 71 (С4H7O+, 100); 57 (С4H9+ , 18); 43 (С3H7+ , 25).
С4-диэфир 276 (M+•, 0); 259 ([M+•–OH•]+, 3); 257 ([M+•; –H•; –H2O]+, 3); 243 ([M+•–H2; –CH3O•]+, 1); 228 ([M+•–OH•; –CH3O•]+•, 20); 157 ([M+•–OH•; –C5H10O2]+, 10); 141 ([M+•–C5H9O2• ; –H2; –CH3OH]+, 30); 71 (С4H7O+, 100); 43 (С3H7+ , 20).
С4-триэфир 346 (M+•, 0); 328 ([M+•–H2O]+, 3); 313 ([M+•–H2; –CH3O•]+, 2); 300 ([M+•–СH3OСH3]+ •, 4); 287 ([M+•–С2H5OСH2• ]+, 17); 259 ([M+•–C4H7O2• ]+, 21); 243 ([M+•–C5H11O2• ]+, 11); 228 ([M+•–СH3OС4H7О2]+, 25); 141 ([M+•–СH3OС4H7О2; –C4H7O2• ]+, 23); 71 (С4H7O+, 100); 43 (С3H7+ , 25)
Цветность определяли по платинокобальтовой шкале Хазена в соответствии со стандартом ИСО 2211-73.
РЕЗУЛЬТАТЫ И ИХ ОБСУЖДЕНИЕ
Полученные результаты исследований в режиме самокатализа для трех температур приведены в табл. 1.
Таблица 1. Результаты этерификации масляной кислоты пентаэритритом в различных растворителях в режиме самокатализа
№ п/п | Условия | Т, °C | Время достижения 50%-ной конверсии, мин | Содержание сложных эфиров пентаэритрита в реакционной смеси, мас. % | Цветность реакц. массы | |||
моно | ди | три | тетра | Ед. Х | ||||
1 | Без растворителя | 110 | 578 | 43.03 | 37.4 | 16.61 | 2.92 | 9876 |
120 | 333 | 47.22 | 36.2 | 14.30 | 2.26 | 10159 | ||
150 | 27 | 76.40 | 20.51 | 2.63 | 0.45 | 17623 | ||
Растворители | ||||||||
2 | N-Метил-2-пирролидон | 110 | – | – | – | – | – | 49713 |
3 | Псевдокумол | 110 | 1412 | 35.11 | 37.68 | 22.36 | 4.85 | 1113 |
120 | 522 | 43.55 | 35.07 | 17.71 | 3.67 | 1348 | ||
150 | 60 | 66.50 | 27.99 | 5.06 | 0.45 | 1903 | ||
4 | Хинолин | 110 | 600 | 39.79 | 39.44 | 18.20 | 2.57 | 189 |
120 | 271 | 48.35 | 35.37 | 14.34 | 1.94 | 193 | ||
150 | 45 | 71.62 | 24.30 | 3.84 | 0.24 | 506 | ||
5 | Мезителен | 110 | 3030 | 29.40 | 36.71 | 26.62 | 7.26 | 84 |
120 | 1039 | 39.83 | 34.26 | 20.61 | 5.3 | 99 | ||
150 | 96 | 68.16 | 27.60 | 4.25 | 0.00 | 199 | ||
6 | Бифенил | 110 | 1193 | 49.06 | 36.01 | 13.05 | 1.88 | 26 |
120 | 356 | 51.50 | 35.6 | 11.34 | 1.53 | 27 | ||
150 | 45 | 73.07 | 22.58 | 4.11 | 0.25 | 26 | ||
7 | Дифенилоксид | 110 | 1167 | 31.86 | 36.9 | 24.57 | 6.66 | 40 |
120 | 420 | 45.93 | 36.5 | 15.19 | 2.29 | 42 | ||
150 | 45 | 72.76 | 23.17 | 3.61 | 0.46 | 43 | ||
8 | Сульфолан | 110 | 1203 | 30.31 | 42.74 | 23.99 | 2.96 | 22 |
120 | 522 | 42.99 | 36.31 | 18.46 | 2.25 | 26 | ||
150 | 48 | 77.41 | 18.85 | 3.42 | 0.32 | 22 | ||
По результатам исследований, приведенных в табл. 1, видно, что отсутствие растворителя (опыт 1) приводит систему к достаточно высокой степени окрашенности от оранжевого до темно-коричневого цвета (цветность >9800 единиц по Хазену), а также к сильному росту вязкости среды, что затрудняет удаление реакционной воды.
По этой же причине из дальнейших исследований были исключены N-метилпирролидон (опыт 2) и псевдокумол (опыт 3), поскольку на всем температурном интервале реакционная система подвергалась интенсивному осмолению, вплоть до образования черной высоковязкой смолы, не поддающейся качественному и количественному анализу.
Отмечено, что лучшие результаты: показатель цветности и время достижения 50% конверсии по пентаэритриту получены для трех растворителей: бифенил (опыт 6), дифенилоксид (опыт 7), сульфолан (опыт 8). Дифенилоксид был исключен из дальнейших исследований в связи со сложностью его выделения из реакционной массы.
Далее в среде выбранных растворителей, бифенила и сульфолана, проводили этерификацию при гомогенном катализе.
Результаты, приведенные в табл. 2, показывают, что путем эффективного сочетания растворителя и гомогенного катализатора можно влиять на селективность получения сложных эфиров пентаэритрита. Цветность во всех случая варьируется на уровне 20–52 единиц по Хазену.
Таблица 2. Результаты этерификации при гомогенном катализе в рекомендованных растворителей
Катализ – метансульфокислота (МСК) | ||||||
Растворитель | Т, °C | Содержание сложных эфиров пентаэритрита в реакционной смеси, мас. % | Цветность | |||
моно | ди | три | тетра | Ед. Х. | ||
Бифенил | 110 | 18.21 | 44.00 | 33.35 | 4.44 | 44 |
120 | 33.40 | 42.28 | 21.97 | 2.34 | 42 | |
150 | 34.11 | 38.07 | 25.11 | 2.71 | 44 | |
Сульфолан | 110 | 27.55 | 44.11 | 25.80 | 2.55 | 20 |
120 | 34.24 | 45.52 | 19.00 | 1.24 | 20 | |
150 | 42.96 | 44.53 | 11.75 | 0.75 | 25 | |
Катализ – п-толуолсульфокислота (п-ТСК) | ||||||
Бифенил | 110 | 37.37 | 40.82 | 19.89 | 1.93 | 49 |
120 | 53.12 | 33.68 | 12.41 | 0.79 | 48 | |
150 | 48.02 | 39.82 | 11.46 | 0.71 | 52 | |
Сульфолан | 110 | 54.17 | 36.48 | 8.94 | 0.41 | 24 |
120 | 50.13 | 40.33 | 9.15 | 0.38 | 25 | |
150 | 36.06 | 42.39 | 20.29 | 1.31 | 23 | |
Катализ – ортофосфорная кислота | ||||||
Бифенил | 110 | 40.04 | 41.39 | 16.87 | 1.69 | 26 |
120 | 18.97 | 45.96 | 30.45 | 4.62 | 24 | |
150 | 70.27 | 26.12 | 3.44 | 0.17 | 50 | |
Сульфолан | 110 | 51.45 | 33 | 12.47 | 3.09 | 22 |
120 | 23.92 | 42.32 | 26.66 | 7.1 | 22 | |
150 | 62.78 | 32.8 | 4.29 | 0.13 | 40 | |
На рис. 1 и 2 показаны зависимости времени достижения пятидесятипроцентной конверсии по пентаэритриту от температуры при гомогенном катализе в присутствии выбранных нами растворителей.
Рис. 1. Результаты, полученные при использовании выбранных растворителей и ортофосфорной кислоты.
Рис. 2. Результаты, полученные при использовании выбранных растворителей и сульфокислот.
Лучшие результаты демонстрируют сульфокислоты (рис. 2). Пятидесятипроцентную конверсию по пентаэритриту в растворителях при катализе сульфокислотами можно достичь за 2–8 мин, в то время как при катализе ортофосфорной кислотой это удается осуществить за более длительный промежуток времени (15–150 мин).
Такая разница во времени реакции, очевидно, связана с различным поведением катализаторов в выбранных нами апротонных растворителях.
На основании литературных данных [20] известно, что большинство неводных растворителей обладают дифференцирующим действием, которое уменьшает силу кислот по сравнению с водой. Это объясняет закономерность хода процесса при использовании ортофосфорной кислоты – ортофосфорная кислота хуже диссоциирует в отсутствии водной среды.
Известно также, что в среде сульфонов серосодержащие катализаторы ведут себя более активно по сравнению с какими-либо другими катализаторами [21]. В нашем случае это объясняет высокую активность сульфокислот в сочетании с сульфоланом.
Отметим, что, хотя сульфокислоты и показывают сравнительно схожие результаты, однако пара-толуолсульфокислота обладает меньшей стабильностью в рассмотренных системах по сравнению с метансульфоновой кислотой в связи с возможным протеканием реакции гидролиза в кислой среде при нагревании, проходящей по следующей схеме:
Схема 2. Гидролиз п-толуолсульфокислоты.
Это подтверждается обнаруженными следовыми количествами толуола на хроматограммах, из чего следует, что предпочтительней в данном процессе использование метансульфокислоты.
Важной проблемой при использовании растворителей является разработка эффективного метода выделения растворителя и его дальнейшее использование. Учитывая, что рекомендованные нами растворители имеют достаточно высокие температуры кипения (бифенил – 255°С, сульфолан – 285°С), становится очевидным, что процесс выделения их из реакционной смеси будет сопряжен с высокими энергозатратами при использовании процессов ректификации или вакуумных отгонок. В случае с бифенилом установлено, что он легко кристаллизуется из реакционной массы при комнатной температуре. Сульфолан хорошо смешивается с водой, что открывает возможности для проведения эффективной очистки экстракционными методами.
ЗАКЛЮЧЕНИЕ
В результате проведенных исследований предложен новый комплексный подход к синтезу сложных эфиров пентаэритрита, базирующийся на синергии растворителей и катализаторов. В ходе работы можно сделать следующие заключения:
- Условия процесса этерификации были оптимизированы путем комбинирования сред растворитель–катализатор, существенно подавляющих процессы смолообразования, сохраняя при этом возможность катализа реакции.
- В присутствии выбранных растворителей и гомогенных катализаторов (сульфокислот) процесс образования эфиров протекает со значительным увеличением скорости – время достижения полуконверсии пентаэритрита снижается до 2–8 мин; цветность по Хазену 20–52 единиц.
- Из ряда растворителей для процесса рекомендованы среды бифенила и сульфолана в комплексе с гомогенными катализаторами. При использовании данных соединений возможно эффективное извлечение бифенила из реакционной среды путем его кристаллизации при комнатной температуре; система, содержащая сульфолан, при добавлении воды расслаивается, и создается двухкомпонентная система, имеющая перспективу при определенных условиях отделять фазу, содержащую сульфолан, непрореагировавшую карбоновую кислоту, катализатор и продукты неполного замещения пентаэритрита с вовлечением их в рецикл процесса.
КОНФЛИКТ ИНТЕРЕСОВ
Авторы заявляют об отсутствии конфликта интересов, требующего раскрытия в данной статье.
Об авторах
Юлия Федоровна Иванова
Самарский государственный технический университет
Автор, ответственный за переписку.
Email: vaewa.yu@yandex.ru
ORCID iD: 0009-0004-3508-6032
Россия, Самара, 443100
Владимир Владимирович Емельянов
Самарский государственный технический университет
Email: vaewa.yu@yandex.ru
ORCID iD: 0000-0002-6228-5713
Россия, Самара, 443100
Евгений Леонидович Красных
Самарский государственный технический университет
Email: vaewa.yu@yandex.ru
ORCID iD: 0000-0002-3886-1450
Россия, Самара, 443100
Дмитрий Александрович Фетисов
Самарский государственный технический университет
Email: vaewa.yu@yandex.ru
ORCID iD: 0000-0002-5438-2919
Россия, Самара, 443100
Светлана Васильевна Леванова
Самарский государственный технический университет
Email: vaewa.yu@yandex.ru
ORCID iD: 0000-0003-2539-8986
Россия, Самара, 443100
Владимир Андреевич Шакун
Самарский государственный технический университет
Email: vaewa.yu@yandex.ru
ORCID iD: 0000-0003-2682-3024
Россия, Самара, 443100
Список литературы
- Razzouk A., Mokbel I., García J., Fernandez J., Msakni N., Jose J. Vapor pressure measurements in the range 10–5 Pa to 1 Pa of four pentaerythritol esters. Density and vapor–liquid equilibria modeling of ester lubricants // Fluid Phase Equilibria. 2007. V. 260. № 2. P. 248–261. https://doi.org/10.1016/j.fluid.2007.07.029
- Nur A.M.A., Robiah Y., Umer R., Nurin W.M.Z. Temperature effect on tribological properties of polyol ester-based environmentally adapted lubricant // Tribology Intern. 2016. V. 93. P. 43–49. https://doi.org/10.1016/j.triboint.2015.09.014
- Quinchia L.A., Delgado M.A., Reddyhoff T., Gallegos C., Spikes H.A. Tribological studies of potential vegetable oil-based lubricants containing environmentally friendly viscosity modifiers // Tribology Intern. 2014. V. 69. P. 110–117. https://doi.org/10.1016/j.triboint.2013.08.016
- Lin L., Kedzierski M.A. Density and viscosity of a polyol ester lubricant: measurement and molecular dynamics simulation // Intern. J. of Refrigeration. 2020. V. 118. P. 188–201. https://doi.org/10.1016/j.ijrefrig.2020.07.004
- Vithya P., Sriram G., Arumugam S. Influence of biodegradable refrigeration oil in household refrigerator compressor: an experimental and tribological investigation // J. of Bio- and Tribo-Corrosion. 2021. V. 7. № 82. P. 1–18. https://doi.org/10.1007/s40735-021-00514-7
- Тонконогов Б.П., Попова К.А., Хурумова А.Ф. Перспективы применения сложных эфиров отечественного производства в качестве основ масел для авиационной техники // Труды РГУ им. И.М. Губкина. 2015. Т. 278. № 1. С. 109–120.
- Марочкин Д.В., Носков Ю.Г., Крон Т.Е., Карчевская О.Г., Корнеева Г.А. Продукты оксосинтеза в производстве сложноэфирных смазочных масел // Научно-технический вестник ОАО НК РОСНЕФТЬ. 2016. № 45. С. 74–81.
- Файзуллина С.Р., Буйлова Е.А., Недопекин Д.В., Аминова Г.К. Синтез и свойства некоторых эфиров пентаэритрита // Башкирский хим. журн. 2016. Т. 23. № 3. С. 41–44.
- Емельянов В.В., Красных Е.Л., Фетисов Д.А., Леванова С.В., Шакун В.А. Особенности синтеза сложных эфиров пентаэритрита и алифатических карбоновых кислот изомерного строения // Тонкие химические технологии. 2022. Т. 17. № 1. С. 7–17. https://doi.org/10.32362/2410-6593-2022-17-1-7-17
- Nowicki J., Stańczyk D., Drabik J., Mosio-Mosiewski J., Woszczyński P., Warzała M. Synthesis of fatty acid esters of selected higher polyols over homogeneous metallic catalysts // J. Am. Oil Chem. Soc. 2016. V. 93. P. 973–981. https://doi.org/10.1007/s11746-016-2840-7
- Sun L., Zhu L., Xue W., Zeng Z. Kinetics of p-toluene-sulfonic acid catalyzed direct esterification of pentaerythritol with acrylic acid for pentaerythritol diacrylate production // Chemical Engineering Communications. 2020. V. 207. № 3. P. 331–338. https://doi.org/10.1080/00986445.2019.1592750
- Oh J., Yang S., Kim C., Choi I., Kim J.H., Lee H. Synthesis of biolubricants using sulfated zirconia catalysts // Applied Catalysis A: General. 2013. V. 455. P. 164–171. http://dx.doi.org/10.1016/j.apcata.2013.01.032
- Yu S., Zhang H. Preparation of rosin pentaerythritol ester over an Fe3O4 supported ZnO catalyst // Catalysis Letters. 2020. V. 150. P. 3359–3367. https://doi.org/10.1007/s10562-020-03237-5
- Mardiah M., Samadhi T.W, Wulandari W., Aqsha A., Situmorang Y.A., Indarto A. Recent progress on catalytic of rosin esterification using different agents of reactant // AgriEngineering. 2023. V. 5. P. 2155–2169. https://doi.org/10.3390/agriengineering5040132
- Jiang S., Zeng Z., Xue W., Mao Z., Wang Y. Physical properties of deep eutectic solvents based on p-toluene sulfonic acid and employment as catalyst. // Chemical Engineering Communications. 2021. V. 210. P. 34–46. https://doi.org/10.1080/00986445.2021.2001456
- Camp D., Harvey P.J., Jenkins I.D. The effect of solvent polarity on the rate of the Mitsunobu esterification reaction // Tetrahedron. 2015. V. 71. № 23. P. 3932–3938. https://doi.org/10.1016/j.tet.2015.04.035
- Suarez-Escobedo L., Gotor-Fernandez V. Solvent role in the lipase-catalysed esterification of cinnamic acid and derivatives. Optimisation of the biotransformation conditions // Tetrahedron. 2021. V. 81. 131873. https://doi.org/10.1016/j.tet.2020.131873
- Zeng Q., Song Z., Qin H., Cheng H., Chen L., Pan M., Heng Yi., Qi Z. Ionic liquid [BMIm][HSO4] as dual catalyst-solvent for the esterification of hexanoic acid with n-butanol // Catalysis Today. 2020. V. 339. P. 113–119. https://doi.org/10.1016/j.cattod.2019.03.052
- Иванова Ю.Ф., Емельянов В.В., Леванова С.В., Шакун В.А., Красных Е.Л. Газохроматографический анализ и идентификация эфиров пентаэритрита // XXVI Всероссийская конф. молодых химиков (с международным участием): тезисы докладов. 2023. С. 280.
- Измайлов Н.А. Электрохимия растворов. 3-е изд., испр. Москва: Химия, 1976. 488 с.
- Гайле А.А., Сомов В.Е., Варшавский О.М., Семенов Л.В. Сульфолан: свойства и применение в качестве селективного растворителя. СПб: Химиздат, 1998. 144 с.
Дополнительные файлы







