Низкоуглеродные компоненты моторных топлив на основе оксидов углерода (обзор)
- Авторлар: Паланкоев Т.А.1, Кузнецов П.С.1, Беденко С.П.1, Дементьев К.И.1
-
Мекемелер:
- Институт нефтехимического синтеза им. А.В. Топчиева РАН
- Шығарылым: Том 64, № 3 (2024)
- Беттер: 185-203
- Бөлім: Articles
- URL: https://journal-vniispk.ru/0028-2421/article/view/275185
- DOI: https://doi.org/10.31857/S0028242124030012
- EDN: https://elibrary.ru/LHNPGW
- ID: 275185
Дәйексөз келтіру
Толық мәтін
Аннотация
Обзор обобщает актуальный прогресс в области получения полиоксоалкиленовых эфиров спиртов и эфиров щавелевой кислоты, содержит обсуждение перспектив их практического применения в качестве моторных топлив, а также способов модификации структуры этих оксигенатов для управления их эксплуатационными свойствами.
Толық мәтін
Перспективы развития мировой энергетики в последнее время связываются с отказом от использования ископаемых источников энергии и переходом к экономике, замкнутой по углероду. В качестве одного из ключевых источников углеродсодержащего сырья в рамках такого перехода рассматривается биомасса растений. Поскольку ее объем со временем восполняется и сопровождается поглощением диоксида углерода, переработка биомассы в перспективе позволит получить топлива с нулевым или минимальным углеродным следом [1–3], не содержащие при этом серу и азот, а следовательно, не образующие токсичные выбросы при горении [4, 5].
В настоящее время организовано промышленное производство двух типов биотоплив: биодизеля, получаемого путем переэтерификации растительных и животных жиров метанолом и этанолом [6–9], и биоспиртов – этанола [10–12], н-бутанола [13, 14] – получаемых из углеводных компонентов биомассы растений. В последние годы объем производства биотоплив увеличивается на 4–5% ежегодно и оценивается в настоящий момент около 105 тыс. м3 этанола и 45 тыс. м3 биодизеля. В будущем, однако, ожидается замедление роста производства этих видов топлив [15], поскольку расширение их производства сопряжено с необходимостью вывода сельскохозяйственных угодий из оборота. Гораздо большей перспективой в этом смысле обладает лигноцеллюлозная биомасса, однако до сих пор не создано технологий полного цикла производства моторных топлив из такого сырья. Промышленно отработан лишь пиролиз биомассы, основным продуктом которого является синтез-газ и жидкий продукт, также называемый бионефтью [16–18]. Этот продукт представляет собой сложную смесь кислородсодержащих соединений (производных фенолов, альдегидов, кислот, эфиров, углеводов), а также содержит большое количество воды и поэтому непригоден к использованию в качестве топлив и требует дальнейшего облагораживания, технологии которого до сих пор находятся на стадии научных исследований [19].
Используемые сегодня биотоплива обладают существенными недостатками. Так, биодизель имеет неудовлетворительные низкотемпературные свойства и потому не может применяться в регионах с холодным климатом, что имеет решающее значение для России [20]. Общий недостаток, присущий всем традиционным биотопливам, – плохая смешиваемость с углеводородами, что ограничивает их применение в двигателях внутреннего сгорания в качестве добавок к традиционным топливам [21–23]. Решением данной проблемы может быть облагораживание биооксигенатов путем полного удаления кислорода, однако данный процесс является энергоемким и требующим дорогих катализаторов, что приводит к увеличению стоимости конечного продукта [24].
Перечисленные выше недостатки стимулируют новые направления исследования в области получения биотоплив. В последние годы в качестве нового типа компонентов к моторным топливам рассматриваются соединения класса сложных эфиров [25–28]. В целом многие низкомолекулярные оксигенаты, которые могут быть получены переработкой биомассы (спирты, эфиры, производные фурана и т.п.), обладают выгодно отличающимися топливными свойствами (высокий октановый индекс, энергоемкость, сниженное нагарообразование), которые, однако, нивелируются такими недостатками как – плохие низкотемпературные свойства, неудовлетворительные значения вязкости или летучести, высокое время задержки воспламенения [29]. Значительный акцент в недавних публикациях сделан на сложных эфирах левулиновой кислоты в качестве добавок к бензину [30–32], дизелю [33–36] и биодизелю [37]. Показано, впрочем, что эфиры левулиновой кислоты обладают низким цетановым индексом и плохой смешиваемостью с углеводородами при пониженной температуре, а также повышают температуру помутнения топлива.
С точки зрения цетанового числа перспективным классом соединений являются полиоксометиленовые эфиры (ОМЭ) – олигомеры формальдегида, с концевыми метильными группами (рис. 1), и получаемые путем конденсации формальдегида и метанола [38–40]. Учитывая, что формальдегид в промышленности производится путем парциального окисления метанола [41], применение для синтеза ОМЭ низкоуглеродного метанола, производимого из оксидов углерода техногенного или биогенного происхождения, позволяет получать компоненты дизельных топлив с околонулевым углеродным следом [42, 43].
Рис. 1. Общий вид молекулы оксиметиленового эфира со звеньями (ОМЭ)п
Еще один класс оксигенатов, которые могут рассматриваться в качестве перспективных компонентов топлив, – сложные эфиры щавелевой кислоты (алкилоксалаты) [44]. Щавелевая кислота встречается в растительной массе в свободном виде и в виде солей калия и кальция; промышленный способ ее получения – окисление углеводов азотной кислотой или окислительное карбонилирование спиртов до соответствующих диэфиров. Щавелевая кислота – важный реагент органического синтеза, а ее производство с использованием монооксида углерода при карбонилировании спиртов может быть рассмотрено в качестве процесса с потенциалом в области улавливания и рециркуляции оксидов углерода [45].
Цель обзора – анализ и обобщение литературы, посвященной перспективам и основным проблемам использования в качестве топлив со сниженным углеродным следом эфиров щавелевой кислоты и оксиметиленовых эфиров, которые могут быть получены в результате цепочек превращения оксидов углерода.
СВОЙСТВА ОМЭ КАК КОМПОНЕНТОВ ТОПЛИВ
Физико-химические и эксплуатационные свойства метиловых и этиловых полиэфиров формальдегида изучены достаточно широко (табл. 1); определяющим фактором является длина цепи и тип концевых групп. Перед подробным обсуждением свойств стоит отметить, что при анализе литературных источников обнаруживаются существенные различия в значениях показателей у различных авторов. В частности, расхождение в значениях температуры вспышки может достигать 20°C, а различия в цетановом индексе – до 30 пунктов. Так как в большинстве работ авторами осуществляется контроль чистоты испытуемых эфиров, то наблюдаемые расхождения, скорее всего, связаны с различиями в методологии исследования. В частности, для определения цетанового индекса может использоваться один из трех методов: стендовые испытания ОМЭ в исходном виде [46], в смеси с различными дизельными фракциями (с определением цетанового индекса смешения) [47, 48], либо расчетными методами [49]. Тем не менее авторы экспериментальных работ, как правило, фокусируются на сравнении полученных характеристик с регламентами на моторные топлива, нежели на сравнении с результатами измерений других авторов.
Таблица 1. Оценочные физико-химические показатели полиэфиров формальдегида по данным [46–52]
ОМЭn – эфиры формальдегида с концевыми метокси-группами; (ОЭЭ)n – эфиры формальдегида с концевыми этокси-группами, n – количество оксиметиленовых звеньев в цепи эфира
Образец | Плотность, г/см3 | Вязкость при 40°C, мм2/с | Цетановый индекс | Тпл,°C | Ткип,°C | Твсп,°C |
ДТ* | 0.820–0.840 | 2.0–4.5 | >51 | –20 – 0 | 170–390 | >55 |
ОМЭ1 | 0.860 | 0.36 | 24–29 | –105 | 42 | –32 |
ОЭЭ1 | 0.832 | 0.49 | 32–47 | –67 | 88 | –5 |
ОМЭ2 | 0.969 | 0.79 | 64–79 | –70 | 105 | 12–16 |
ОЭЭ2 | 0.912 | 0.79 | 63–64 | –45 | 140 | 28–36 |
ОМЭ3 | 1.028 | 1.08 | 71–97 | –42 | 156 | 34–54 |
ОЭЭ3 | 0.969 | 1.22 | 67–80 | –24 | 185 | 59–68 |
ОМЭ4 | 1.070 | 1.72 | 82–108 | –8 | 202 | 77–84 |
ОЭЭ4 | 1.013 | 1.83 | 70–103 | 4 | 225 | 90–95 |
ОМЭ5 | 1.103 | 2.63 | 95–109 | 18 | 242 | 103–112 |
ОЭЭ5 | 1.037** | 2.58** | 116 | 25 | 259** | 120 |
* ГОСТ 32511-2013 (EN 590). ** Экстраполяция.
Как метиловые, так и этиловые полиэфиры формальдегида обладают цетановым индексом (ЦИ) свыше 60 пунктов при длине цепи в два звена и выше, причем увеличение количества звеньев приводит к повышению ЦИ вплоть до 100–110 п. Плотность метиловых ОМЭ3–5 находится в пределах 1.028–1.103 г/см3 [46, 50, 51] и возрастает с увеличением количества оксометиленовых звеньев в цепи эфира, значительно превышая нормы, установленные стандартом для дизельного топлива [53]. Вместе с тем стоит отметить, что из-за сравнительно низкой теплоты сгорания оксигенатов повышение плотности сопровождается увеличением энергоемкости до значений, сопоставимых с традиционным углеводородным топливом [46]. Кинематическая вязкость ОМЭ при 25°C находится в пределах 1.08–2.63 сСт (мм2/с) и экспоненциально увеличивается при увеличении длины цепи, как и у н-алканов, в то время как содержание кислорода на вязкость существенно не влияет [46, 51].
Температура вспышки эфиров также увеличивается с повышением молекулярной массы, достигая требований стандарта на дизельные топлива [53] при длине цепи больше трех звеньев. С одной стороны, применение низкомолекулярных ОМЭ в качестве добавки к дизельному топливу может быть благоприятно с точки запуска двигателя в зимнее время года, но в то же время чрезмерное снижение температуры вспышки полученной смеси, которое наблюдается при высоком содержании полиэфиров (более 20–40% в зависимости от сорта топлива), является недопустимым [52]. Температуры кипения и плавления ОМЭ также зависят от длины цепи. В частности, ОМЭ1 и ОМЭ2 при стандартных условиях являются жидкостями с температурами кипения 42 и 105°C соответственно, в то время как смесь ОМЭ3–5 выкипает в пределах 156–242°C. Для ОМЭ3 и ОМЭ4 характерны отрицательные температуры застывания: –42 и –8°C соответственно, а ОМЭ5 затвердевает уже при 18°C. ОМЭ с шестью и более звеньями в чистом виде при стандартных условиях представляют собой твердые вещества [50, 54].
Изменение концевых групп на этильные приводит к повышению температуры вспышки, температур кипения и плавления. По совокупности свойств наиболее перспективными кандидатами на роль компонентов дизельных топлив являются метиловые эфиры с длиной цепи от 3 до 5 оксометиленовых фрагментов и этиловые эфиры длиной цепи 2–4 фрагмента. Так, для смеси трех метиловых эфиров в равных долях значение ПТФ составляет –16°C [46, 51], что соответствует требованиям стандарта для летнего и межсезонного дизельного топлива [53]. Тем не менее использование ОМЭ в качестве компонентов зимних и арктических топлив существенно ограничено.
Отдельно стоит выделить работы по исследованию топливных свойств ОМЭ с различной длиной цепи на моторных стендах. Основными характеристиками являются показатели горения в течение цикла работы цилиндра двигателя, склонность к нагарообразованию и токсичность выбросов. В работах [55, 56] были проведены моторные испытания на одноцилиндровом двигателе с рециркуляцией выхлопных газов в различных режимах для смеси ДТ и 35 об. % (соответствует замещению 23–24% теплоты сгорания) индивидуальных ОМЭ с длиной цепью от 1 до 4 и смеси эфиров с 3–5 фрагментами. Была проведена оценка способности ОМЭ подавлять нагарообразование при горении топлива: показано, что в выхлопных газах практически на порядок снижается доля твердых частиц размером от 100 до 10 нм, наблюдается уменьшение концентрации СО, метана и несгоревших углеводородов. При этом наблюдаемые эффекты сопоставимы для ОМЭ различной длины. Снижение примесей в выхлопе позволяет осуществлять более интенсивную рециркуляцию выхлопных газов, что позволяет также снизить количество выбросов оксидов азота. Наличие значительной доли кислорода в составе ОМЭ обеспечивает более активное окисление топлива в цилиндре, что приводит к повышению полноты его выгорания до начала рабочего хода поршня при расширении газа в цилиндре. В результате повышается эффективность двигателя и понижается температура отработанных газов. Дополнительно стоит отметить, что благодаря более равномерному горению топлива в присутствии ОМЭ снижается скорость роста давления и, как следствие, шум работы двигателя. Впрочем, это преимущество ОМЭ нивелируется в режиме работы двигателя под высокой нагрузкой и при низкой скорости: из-за более длительного горения максимальная температура газов приходится на верхнюю мертвую точку цилиндра, что приводит к потерям тепла и снижению эффективности двигателя.
СВОЙСТВА АЛКИЛОКСАЛАТОВ КАК КОМПОНЕНТОВ ТОПЛИВ
В литературе имеются сведения, что ряд алкилоксалатов (диметил-, ди-н-бутилоксалат) имеют октановое число смешения свыше 100 пунктов [44]. Один из путей получения диалкилоксалатов заключается в карбонилировании соответствующих спиртов; использование в синтезе биоспиртов таким образом позволит получить низкоуглеродный компонент автомобильных бензинов [57].
Простейший эфир щавелевой кислоты – диметилоксалат (ДМО) – представляет собой твердое вещество, ограниченно растворяющееся в углеводородах, что препятствует его применению в качестве компонента бензинов. Свойства более тяжелых оксалатов в литературе представлены крайне скудно; для смешанных алкилоксалатов экспериментальных данных практически нет. Известные свойства сведены в табл. 2. С увеличением длины алкильных групп температура плавления оксалатов понижается, а смешиваемость с углеводородами увеличивается [58, 59]. Расчетным путем показано [44, 60, 61], что изменение алкильных заместителей также существенно влияет на эксплуатационные свойства соответствующих соединений. Так, на примере замены CH3-групп в диметилоксалате на н-C4H9-группы температура вспышки повышается с 75 до 228°C, плотность снижается с 1.148 до 0.986 г/см3, в то время как теплотворная способность возрастает с 13 до 26 МДж/кг, давление насыщенных паров снижается с 152 до 5 Па.
Таблица 2. Некоторые характеристики алкилоксалатов
ДМО – диметилоксалат; МЭО – метилэтилоксалат; ДЭО – диэтилоксалат; МБО – метил н-бутилоксалат; ДБО – дибутилоксалат; ДиПО – диизопентилоксалат [57, 62–64]
Образец | Плотность, г/см3 | Теплотворная способность, МДж/кг | Тпл,°C | Ткип,°C |
Бензин* | 0.725–0.780 | ~44.0 | - | 35–215 |
ДМО | 1.148 | 13.0** | 53 | 164 |
МЭО | 1.116 | 16.8 | н/д | н/д |
ДЭО | 1.084 | 18.9 | −40 | 185 |
МБО | 1.048 | 21.4 | н/д | н/д |
ДБО | 0.986 | 26.1 | –30 | 240 |
ДиПО | 0.982 | 28.3 | –9 | 268 |
* Средние показатели для товарного топлива.
** Оценочная.
Несмотря на возможность варьирования свойств оксалатов при изменении алкильных заместителей, известные синтезированные оксалаты все еще значительно отличаются по эксплуатационным характеристикам от традиционного бензина и не могут стать его полноценной заменой даже в случае оксалатов с длинными алкильными заместителями, так как с улучшением одних свойств (температура плавления, плотность, теплотворная способность) значения других (температура кипения, давление насыщенных паров) превышают допустимые пределы. Также достаточно мало работ, посвященных оценке ключевой характеристики топлив – октанового числа и цетанового индекса. Как было показано в работе [44], несимметричные метил-этиловые эфиры щавелевой кислоты могут быть использованы для повышения октанового числа бензина в количестве до 40 мас.% при сохранении прочих характеристик смесевого топлива в границах нормы, что указывает на высокий потенциал применения таких соединений. Однако в научной литературе все еще недостает данных касательно синтеза и определения физико-химических характеристик подобных смешанных эфиров.
ПОДХОДЫ К СИНТЕЗУ ОКСИМЕТИЛЕНОВЫХ ЭФИРОВ
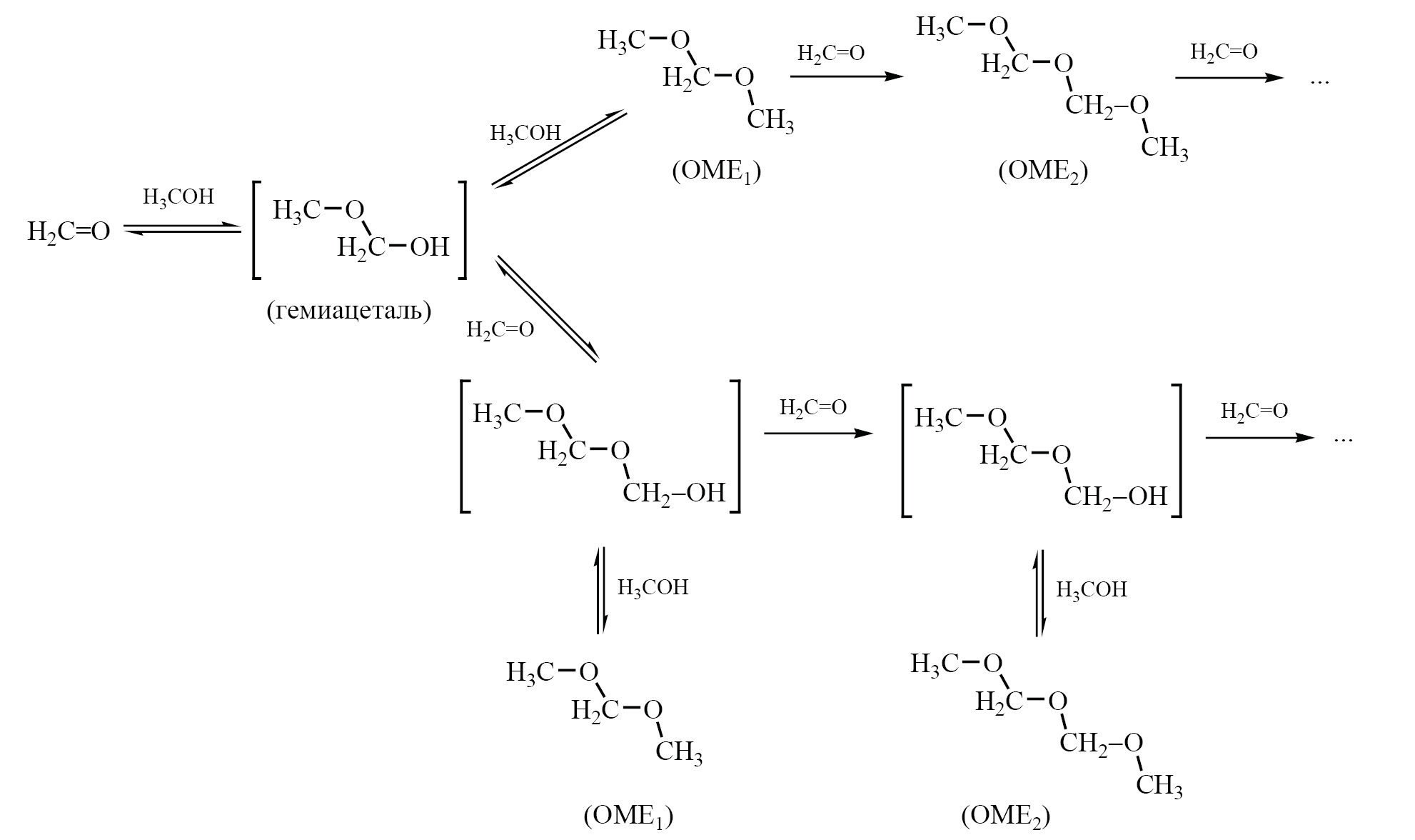
Традиционные методы синтеза ОМЭ предполагают взаимодействие источника оксиметиленовых фрагментов (триоксан или сам формальдегид) с источником концевых групп (метанол, диметоксиметан, диметиловый эфир) в присутствии кислотного катализатора [65], из которых наиболее часто используемым способом является реакция триоксана с метанолом в присутствии как гомогенных, так и гетерогенных кислотных катализаторов. На основании работы [65] может быть предложена следующая схема роста цепи ОМЭ, представленная на рис. 2.
Рис. 2. Предполагаемые пути роста цепи ОМЭ
Данная схема включает в себя стадию разложения триоксана с образованием трех молекул формальдегида, стадию образования гемиацеталя при присоединении к формальдегиду метанола, стадию роста цепи (присоединение новых молекул формальдегида к гемиацеталю) и последующее образование эфира в результате ее обрыва. По альтернативному маршруту рост цепи происходит в результате присоединения формальдегида непосредственно к ОМЭ. В работе [66] проведен анализ наиболее вероятных маршрутов реакции с помощью расчетов методом DFT (Density functional theory). Среди возможных путей роста цепи полиэфира выделяют: 1) первоначальное образование ОМЭ1, который затем может вступать в реакции роста цепи при присоединении новых молекул формальдегида; 2) присоединение новых молекул формальдегида к гемиацеталю, рост цепи заканчивается при присоединении метанола с образованием ОМЭn. Авторы заключают, что наиболее энергетически выгодным является первый путь. Энергетический барьер для образования каждого следующего полиэфира повышается на величину около 10 кДж/моль; таким образом, образование более длинных полиэфиров затруднено. Расчеты хорошо согласуются с результатами [67], в которых выход ОМЭ подчиняется распределению Шульца–Флори, описывающему полимеризационный механизм роста цепи. Таким образом, наиболее вероятным продуктом взаимодействия формальдегида и метанола в присутствии кислотных катализаторов будет диметоксиметан (ОМЭ1).
В научной литературе существует большое количество работ, посвященных моделированию фазового равновесия и равновесного состава смесей триоксан–метанол и триоксан–метанол–вода [68–70] при температуре до 140°C. В данных моделях ожидается преимущественное формирование метиленгликоля и полиметиленгликолей, а также гемиформалей. Проведена оценка теплового эффекта реакции взаимодействия воды и формальдегида с образованием метиленгликоля и метанола и формальдегида, который составил –43 и –53 кДж/моль соответственно. Реакции роста цепи этих продуктов характеризуются слабым тепловым эффектом не более –7 кДж/моль. При этом стоит отметить, что в моделировании смеси метанол–ДМЭ–вода при температурах до 200°C тепловой эффект образования ДМЭ из метанола оценивается как –180 кДж/моль [71]. Построение моделей, учитывающих образование оксиметиленовых эфиров из триоксана и метанола или триоксана и ОМЭ1, выполнен в работах [72–75]. Таким образом, исходя из опубликованных данных о равновесных смесях продуктов может быть рассчитан ожидаемый состав смеси ОМЭ и побочных продуктов для различных начальных концентраций реагентов (табл. 3). Общими выводами, сделанными в результате построения этих моделей и их верификации экспериментальными данными, являются: 1) преобладание ОМЭ1-2 в равновесной смеси продуктов, доля ОМЭn снижается непрерывно для каждого следующего n; 2) из-за невысокого теплового эффекта равновесный состав смеси продуктов слабо зависит от температуры (столбцы 1–3, табл. 3); 3) все модели показывают ингибирующий эффект воды, присутствие которой, помимо гидролиза целевых продуктов до гемиацеталей (гемиформалей) и гликолей, практически в два раза снижает выход ОМЭ при концентрации выше 5 мас. % (столбцы 2, 4–6, табл. 3); 4) с точки зрения подавления нежелательных реакций гидролиза перспективна замена метанола на диметоксиметан, что согласуется с актуальным направлением в исследовании селективного синтеза ОМЭ, как будет показано далее в обзоре (см. ниже табл. 4 и 5).
Таблица 3. Рассчитанный состав равновесной реакционной смеси [68–75]
№ | 1 | 2 | 3 | 4 | 5 | 6 | 7 |
Температура | 140 | 120 | 100 | 120 | 120 | 120 | 120 |
Начальные концентрации, мас. % | |||||||
Вода | 0 | 0 | 0 | 2 | 5 | 15 | 0.0 |
Метанол | 68 | 68 | 68 | 41 | 40 | 32 | 0.0 |
Формальдегид | 0 | 0 | 0 | 0.0 | 0.0 | 0.0 | 0.0 |
Метилаль | 0 | 0 | 0 | 0.0 | 0.0 | 0.0 | 46 |
Триоксан | 32 | 32 | 32 | 57 | 55 | 50 | 54 |
Равновесная смесь, мас. % | |||||||
ОМЭ1 | 7.6 | 9.3 | 11.7 | 8.3 | 7.2 | 4.6 | 5.2 |
ОМЭ2 | 6.6 | 6.8 | 6.2 | 5.9 | 4.8 | 2.7 | 8.4 |
ОМЭ3+ | 14.3 | 10.4 | 5.2 | 8.5 | 6.4 | 2.8 | 84.6 |
Метиленгликоль | 0.9 | 1.0 | 1.0 | 1.2 | 1.7 | 3.1 | 0.0 |
Полиметиленгликоли | 1.5 | 2.7 | 3.8 | 3.3 | 4.1 | 6.1 | 0.0 |
Гемиацетали | 61.3 | 62.5 | 65.5 | 64.1 | 64.8 | 60.9 | 0.0 |
Вода | 3.9 | 3.6 | 3.4 | 4.8 | 6.8 | 14.4 | 0.0 |
Метанол | 3.8 | 3.4 | 3.0 | 3.7 | 4.2 | 5.2 | 0.0 |
Триоксан | 0.0 | 0.0 | 0.0 | 0.0 | 0.0 | 0.0 | 1.2 |
Таблица 4. Примеры работ, посвященных синтезу ОМЭ с использованием гомогенных катализаторов в автоклавных реакторах
ДММ – диметоксиметан; С – конверсия триоксана, [MIMBs] – катион 1-метил-3-(4-сульфобутил)имидазола, [PY-BS] – катион 1-(4-сульфобутил)пиридина
Катализатор | Т,°C | P, атм | t, мин | Реагенты (моль : моль) | Выход ОМЭn*, мас. % | C, % | Ссылка |
[PY-BS]HSO4 | 170 | 20 | 600 | Метанол, триоксан (2 : 1) | 64.5 (2–8) | 91 | [76] |
AlCl3 | 130 | 1 | 300 | ДММ, триоксан (2 : 1) | 30.0 (3–5) | 89 | [77] |
MgCl2 | 130 | 1 | 300 | ДММ, триоксан (2 : 1) | 34.0 (3–5) | 88 | [77] |
CH3SO3H | 80 | 1 | 60 | ДММ, триоксан (1 : 1) | 29.0 (3–5) | 100 | [81] |
H2SO4 | 80 | 1 | 60 | ДММ, триоксан (1 : 1) | 32.1 (3–5) | 100 | [81] |
H2SO4 | 120 | 1 | 600 | Метанол, триоксан (2 : 1) | 19.3 (2–8)* | 72 | [82] |
[MIMBs]HSO4 | 140 | 20 | 120 | ДММ, триоксан (1 : 1) | 20.9 (3–5) | 87 | [83] |
[Py-PS] [СH3SO3-] | 110 | 20 | 180 | Метанол, триоксан (3 : 1) | 43.9 (3–5) | 96 | [84] |
* В скобках приведены компоненты ОМЭ, для которых рассчитан суммарный выход.
** Селективность по формальдегиду 50,6 мас. %.
Таблица 5. Примеры работ, посвященных синтезу ОМЭ с использованием гетерогенных катализаторов
ДММ – диметоксиметан; ДМЭ – диметиловый эфир; С – конверсия трикосана, ПТСК – п-толуолсульфокислота, ПВП – поливинилпирролидон
Катализатор | Т,°C | P, атм | t, мин | Реагенты (моль : моль) | Выход ОМЭn*, мас. % | C, % | Ссылка |
Ионообменнные смолы | |||||||
Deloxan | 80 | 1 | 60 | ДММ, триоксан (1 : 1) | 30.0 (3–5) | 100 | [81] |
Deloxan | 80 | 9 | 60 | ДММ, триоксан (1 : 1) | 34.1 (3–5) | 100 | [81] |
Zr-SR** | 90 | 10 | 180 | Метанол, триоксан (2 : 1) | 25.5 (3–6) | 85 | [87] |
Amberlyst 15 | 140 | 1 | 240 | Метанол, триоксан (2 : 1) | 51.7 (2–5) | 96 | [88] |
Amberlyst 15 | 90 | 15 | 30 | ДММ, триоксан (3 : 1) | 51.2 (3–8) | 88 | [89] |
CT175 | 90 | 15 | 30 | ДММ, триоксан (3 : 1) | 64.2 (3–8) | 64 | [89] |
HD-S/ПТСК | 70 | 20 | 20 | ДММ, триоксан (3 : 1) | 37.7 (3–8) | 41 | [90] |
Amberlyst36 | 25 | 1 | 60 | ДММ, триоксан (3 : 1) | 30.1 (3–5) | 95 | [91] |
Цеолиты | |||||||
HZSM-5 | 140 | 1 | 240 | Метанол, триоксан (2 : 1) | 27.1 (2–5) | 99 | [88] |
HBEA | 70 | 1 | 60 | ДММ, триоксан (3 : 1) | 30.7 (3–5) | 95 | [91] |
HBEA | 25 | 1 | 960 | ДМЭ, триоксан (4 : 1) | 8.5 (3–5) | 11 | [92] |
HBEA (модифицированный)*** | 50 | 1 | 30 | ДММ, триоксан (2 : 1) | 25.0 (3–5) | 50 | [93] |
HZSM-5 | 120 | 1 | 45 | ДММ, триоксан (2 : 1) | 39.7 (2–8) | 47 | [94] |
HY | 120 | 1 | 600 | Метанол, триоксан (2 : 1) | 0.4 (3–5) | 100 | [95] |
HZSM-5 | 120 | 1 | 600 | Метанол, триоксан (2 : 1) | 6.4 (3–5) | 100 | [95] |
HBEA | 120 | 1 | 600 | Метанол, триоксан (2 : 1) | 13.4 (3–5) | 100 | [95] |
MCM-22 | 120 | 1 | 600 | Метанол, триоксан (2 : 1) | 27.2 (3–5) | 100 | [95] |
Гетерополикислоты | |||||||
HSiW/ПВП | 140 | 1 | 240 | Метанол, триоксан (2 : 1) | 52.5 (2–5) | 95 | [88] |
HPW/ПВП | 140 | 1 | 240 | Метанол, триоксан (2 : 1) | 52.5 (2–5) | 95 | [88] |
Cs2.5H0.5PW | 140 | 1 | 240 | Метанол, триоксан (2 : 1) | 52.6 (2–5) | 97 | [88] |
* В скобках приведены компоненты ОМЭ, для которых рассчитан суммарный выход.
** Сульфатированная ионообменная смола, модифицированная ионами Zr4+.
*** С помощью обработки лимонной кислотой увеличен размер пор и оптимизирован состав БКЦ по силе.
В качестве катализаторов синтеза ОМЭ могут быть использованы различные кислотные катализаторы, начиная от минеральных и органических кислот, заканчивая ионными жидкостями. На примере последних показано, что активность катализатора находится в прямой зависимости от его кислотности [76]. Согласно [77], помимо материалов с бренстедовской кислотностью, также могут быть использованы кислоты Льюиса: большим потенциалом обладают хлориды, сульфаты и нитраты магния, железа, алюминия, цинка и меди, а наибольший выход целевых эфиров достигается в присутствии хлоридов алюминия и магния. Стоит дополнительно подчеркнуть, что образующаяся в реакции вода сильно влияет на протекание реакции. Поскольку в условиях синтеза эта реакция обратима, то присутствие воды подавляет образование целевых продуктов за счет гидролиза образующихся эфиров [78–80].
В табл. 4 приведено сравнение различных катализаторов и условий процесса для оценки выхода ОМЭ с различной длиной цепи. Так как в большинстве работ не приводят данных о выходе индивидуальных компонентов с различной длиной цепи, в таблице показан выход фракций ОМЭ: в скобках приведены компоненты ОМЭ, для которых рассчитан суммарный выход. В присутствии традиционных гомогенных кислот реакция протекает в диапазоне температур 80–130°C и при атмосферном давлении, в то время применение ионных жидкостей требует повышенной температуры 110–170°C и давления 20–25 атм. Выход ОМЭ3–5 при гомогенном катализе составляет порядка 30–40% при практически количественной конверсии триоксана.
Основными сложностями использования гомогенных катализаторов являются присущие им проблемы разделения катализатора и смеси продуктов, а также регенерации отработанного катализатора [85]. Эта проблема вызывает интерес к замене гомогенных кислот гетерогенными катализаторами во множестве процессов, в том числе и в синтезе ОМЭ. В качестве основных гетерогенных катализаторов для процесса рассматривают иммобилизованные ионные жидкости, ионообменные смолы, цеолиты и гетерополикислоты. Практическая реализация процесса получения ОМЭ с использованием ионообменных смол и цеолитов в качестве катализатора запатентована компанией BP [86]. В табл. 5 приведено сравнение различных типов гетерогенных катализаторов.
Сообщается, что в присутствии ионообменных смол конверсия триоксана со спиртом или диметоксиметаном составляет около 100% уже при температуре 25°C [91]. Повышение давления процесса способствует увеличению выхода высокомолекулярных эфиров. В то же время стоит отметить, что при давлении 15–20 атм возрастает выход ОМЭ с числом звеньев вплоть до 8, которые не могут рассматриваться в качестве компонентов дизельного топлива ввиду неудовлетворительных эксплуатационных характеристик. По аналогии с гомогенным катализом справедливо ожидать, что в случае гетерогенных катализаторов реакция также может протекать на центрах обоих типов. Авторами [87] отмечен синергетический эффект от наличия центров Бренстеда и Льюиса, что с модификацией ионообменной смолы ионами циркония и возникновением центров Льюиса на поверхности привело к увеличению кислотности катализатора и увеличению конверсии, при этом селективность по ОМЭ3–5 по-прежнему не превышает 30%.
Синтез ОМЭ при низких температурах может быть реализован и на цеолитах. Так, формирование полиоксиметиленовых эфиров происходит даже при 50°C в присутствии цеолита HBEA, хотя скорость реакции при этом значительно ниже [92, 93]. Повышение температуры до реакции 70–120°C конверсия триоксана при атмосферном давлении достигает практически 100% спустя 60 мин [91]. Влияние структурного типа цеолитов на примере ZSM-5, Y, Beta и MCM-22 в протонных формах для синтеза ОМЭ изучено в [95]: для селективного получения ОМЭ рекомендуется использовать широкопористый MCM-22. Также стоит отметить влияние кислотных свойств образцов: слабые кислотные центры способствуют образованию первичного эфира – диметоксиметана, а рост цепи протекает на кислотных центрах средней и высокой силы. Преимуществом цеолитных катализаторов являются вариативность их кислотных и текстурных свойств: в зависимости от принадлежности к структурному типу и соотношению Si/Al цеолиты различаются по силе, количеству и природе кислотных центров, удельной поверхности, объему, диаметру и типу пор, что позволят контролировать активность и селективность катализатора [96–98].
Особый интерес вызывают принципиально новые каталитические системы, например иммобилизованные на полимерах гетерополикислоты [88]. Такие системы позволяют получать ОМЭ2–5 с выходом около 50% при взаимодействии триоксана и метанола в течение 4 ч при 140°C. Сообщается также о применении модифицированных цирконием сульфатированных смол для катализа [99, 100]. Данный катализатор испытан авторами в лабораторных условиях в системе формальдегид–метанол при 90°C в периодическом реакторе. Однако на данном этапе исследований для такой каталитической системы характерна низкая селективность по целевым продуктам (до 20%) и активность (до 40%) [101].
Помимо оптимизации катализатора и условий синтеза ОМЭ из метанола и формальдегида (или источника молекул формальдегида), существуют и смежные подходы к получению этих эфиров, среди которых значительное количество работ посвящено синтезу через окисление метанола или гидрирование оксидов углерода. Так, авторами работы [102] предложен синтез ОМЭ из ДМЭ путем его окисления в присутствии модифицированного оксидом ванадия цеолита Бета. Авторами изучено влияние отношения кислотных центров Бренстеда и Льюиса на селективность по целевым продуктам. Показано, что в изучаемой реакции наиболее перспективны катализаторы с преимущественно кислотными центрами Бренстеда, при этом рост цепочки ОМЭ катализируется, по всей видимости, сильными кислотными центрами. На оптимизированном катализаторе, представляющем собой цеолит Бета с нанесением 10 мас. % V2O5 авторами достигнута конверсия ДМЭ в размере 12% и селективность по ОМЭ1–3 до 70% (в том числе 50% по ОМЭ1) в следующих условиях: проточный реактор, 230°C, О2/ДМЭ 1 моль/моль, скорость 1800 ч–1.
В работе [103] предложен способ синтеза формальдегида путем гидрирования СО. Известно, что в газовой фазе такая реакция ограничена термодинамически (изменение энергии Гиббса реакции составляет +34.6 кДж/моль), поэтому в таком варианте могут быть получены лишь следовые количества формальдегида при конверсии СО не выше 0.2%. Однако авторами работы предложен способ обойти термодинамические ограничения путем проведения реакции в водной фазе в сларри-системе. Показано, что изменение энергии Гиббса в реакции становится отрицательным при температуре менее 100°C, по всей видимости, за счет сольватирования формальдегида. По сообщению авторов, при гидрировании СО в водной фазе, давлении 100 атм, температуре 20°C и в присутствии Ru–Ni/Al2O3 может быть достигнута конверсия 19% и мольный выход формальдегида 0.20 ммоль/(л∙г катализатора). Обзор достигнутых результатов упомянутыми способами непрямого синтеза ОМЭ, которые в перспективе могут лечь в основу более простой и эффективной по энергии технологии получения топлив с низким углеродным следом, представлен в [104, 105].
Перспективным направлением является модификация синтеза полиэфиров путем замены метанола на спирты с большей длиной углеродной цепи и/или степенью ее разветвленности. Такой подход может быть перспективен с точки зрения варьирования низкотемпературных свойств получаемых полиэфиров в широких пределах. Так, авторы [106] дополняют имеющиеся сведения о свойствах полиэфиров формальдегида, синтезировав и охарактеризовав эфиры с этильными, пропильными, изопропильными, бутильными и изобутильными терминальными группами. Всего авторами приведены характеристики 16 соединений. Часть исследованных полиэфиров является коммерческими реактивами, а изопропильные и изобутильные образцы были синтезированы в присутствии ионообменной смолы из триоксана и соответствующего спирта. Аналогичная работа выполнена авторами [107], где изучены свойства эфиров с алкильными заместителями, содержащими до восьми атомов углерода. В том числе изучены свойства несимметричных эфиров, полученных из диметоксиметана с помощью переацетализации в присутствии цеолита Бета. С помощью этой же реакции из ОМЭ1 могут быть получены симметричные этильный, пропильный и бутильный эфиры, что было осуществлено авторами [108] вместе с оценкой их топливных характеристик. Общей тенденцией, полученной в перечисленных работах, является то, что с увеличением длины алкильного заместителя могут быть нивелированы основные недостатки метиленовых эфиров: увеличена теплотворная способность (с 19–20 до 30–34 МДж/кг), значительно снижена растворимость в воде (с > 250 г/л до <1 г/л), повышена температура вспышки (с < 20 до > 60°C), при сохранении подавляющих нагарообразование свойств.
Использование других альдегидов для синтеза компонентов топлив широко известно на примере ацетализации глицерина с получением циклических кеталей, применимых в качестве снижающих нагарообразование присадок. Обсуждение способов синтеза данных соединений выходит за рамки настоящего обзора и представлено в прочих работах [109, 110]. В научной литературе имеются данные об испытании в качестве добавок к дизельному топливу аналогичного ОМЭ1 соединения – 1,1-диэтоксиэтана [111, 112]. Показан ожидаемый эффект снижения нагарообразования, однако использование данного ацеталя ограничено его высокой летучестью, что приводит к снижению температуры вспышки смесевого топлива. Насколько известно авторам настоящего обзора, помимо указанных работ в научной литературе практически отсутствуют исследования, посвященные ацеталям, получаемым из других альдегидов (этаналя, пропаналя, бутаналя и т.д.). Может быть приведена работа, посвященная анализу методом ЯМР смеси этаналя и метанола [113]. На спектре 13С авторы наблюдали сигналы, которые могут быть отнесены к структурам, аналогичным ОМЭ с числом звеньев до трех, которые образуются из этаналя и метанола уже при комнатной температуре. Однако выделение этих веществ и исследование их свойств авторами осуществлено не было. Основная масса работ посвящена моторным испытаниям полиэфиров формальдегида с длинными алкильными заместителями, которые уже обсуждались выше [114].
На основании опубликованных данных по синтезу и свойствам полиэфиров формальдегида и других альдегидов можно заключить, что на сегодняшний день предложено достаточно много подходов к получению данных оксигенатов на гомогенных и гетерогенных катализаторах. Тем не менее широкий разброс условий синтеза при сопоставимых достигнутых степенях превращения реагентов и селективности по целевым продуктам указывает на необходимость дальнейшего системного исследования влияния свойств катализатора, кинетики процесса и возможности подавления побочных реакций.
ПОДХОДЫ К СИНТЕЗУ ЭФИРОВ ЩАВЕЛЕВОЙ КИСЛОТЫ
Синтез алкилоксалатов из монооксида углерода и спиртов описан в ряде патентов [115–117]. Авторами [118] предложен способ получения симметричных эфиров щавелевой кислоты при конверсии СО и спирта по реакции:
.
Процесс протекает при температуре выше 50°C и давлении 50 атм в присутствии палладиевого катализатора. Основной промышленный метод получения ДМО основан на взаимодействии СО и метилнитрита [119, 120]:
.
Реакция протекает в газовой фазе в проточных реакторах при 50 атм и температуре 80–150°C в присутствии катализаторов на основе палладия. Основные исследования в рамках данного процесса направлены на увеличение активности катализатора за счет применения различных модифицирующих металлов: Mg, Al, Fe, Ni и Ag [121–125].
В лабораторной практике получение симметричных эфиров щавелевой кислоты и различных спиртов (метанола, этанола и т.д.) традиционно осуществляется методом этерификации в присутствии кислотного катализатора, например концентрированной H2SO4 [126]. При взаимодействии щавелевой кислоты и метанола и оптимизации условий выход диметилоксалата доходит до 78% [127].
С точки зрения эксплуатационных свойств большой интерес представляют несимметричные эфиры щавелевой кислоты. Поскольку прямой синтез таких эфиров в результате этерификации или карбонилирования затруднителен, для их получения предложен путь поэтапного алкоголиза оксалилхлорида в присутствии одновалентной меди или алкоголята натрия [128]. В работе [129] описан метод получения смешанного метилэтилоксалата с селективностью 65.9% в результате переэтерификации диэтилоксалата метанолом в присутствии K2CO3 при 35°С в специально разработанном проточном микрореакторе. Как было показано, наибольшее влияние на селективность по целевому продукту оказывает время реакции (в данной работе авторами выбрано 2.3 мин в качестве оптимального) и мольное отношение компонентов (в данных условиях оптимальным является отношение, близкое к эквимолярному – 1.3 моль спирта на 1 моль оксалата). Более жесткие условия способствуют полному замещению C2H5-групп на CH3-гуппы, в результате чего выход целевого продукта – смешанного оксалата – снижается. Перспективными катализаторами переэтерификации могут быть также фосфаты щелочных металлов [130–132].
Авторы [58] описывают процесс получения метилэтилоксалата через моноэтилоксалат калия, который получаются при кипячении диэтилоксалата с ацетатом калия, с последующим взаимодействием с диазометаном для получения смешанного эфира. Нанесенный MoO3 может использоваться в качестве катализатора переэтерификации ДМО и ДЭО фенолом: степень превращения субстрата достигает 80% при практически количественной селективности по целевому продукту при 2–5 ч и 180°C [133, 134]. При подборе оптимальных условий и подходящего катализатора возможно также получение эфиров щавелевой кислоты с более сложными заместителями, например циклическими и ароматическими [135, 136].
Несмотря на кажущуюся простоту процесса образования сложного эфира при взаимодействии двухосновной кислоты и спирта, на сегодняшний день все еще не предложен эффективный способ получения смешанных эфиров из щавелевой кислоты или ее производных (ДМО, ДЭО), которые представляют наибольший интерес в качестве высокооктановых компонентов и биобензина. Недостатками промышленного метода получения ДМО являются необходимость проведения реакции при повышенном давлении и использования палладиевых катализаторов, что обусловливает высокую стоимость производства. В связи с этим актуальной задачей остается поиск подхода к синтезу ДМО, ДЭО и прочих эфиров.
ЗАКЛЮЧЕНИЕ
Полиэфиры, полученные взаимодействием формальдегида и спиртов, а также эфиры щавелевой кислоты являются перспективными компонентами возобновляемых топлив, которые могут быть получены в процессе переработки оксидов углерода. На сегодняшний день опубликовано большое количество работ, предлагающих различные подходы к синтезу указанных соединений, тем не менее в данной области еще остается ряд актуальных нерешенных задач.
Широкий разброс условий синтеза оксиметиленовых эфиров при сопоставимых достигнутых степенях превращения реагентов и селективности по целевым продуктам указывает на необходимость системного исследования влияния свойств катализатора, кинетики процесса и возможности подавления побочных реакций. Так, основной побочной реакцией является гидролиз продуктов образующейся в реакции водой, что обусловливает необходимость дальнейшего изучения способов получения этих оксигенатов по пути „безводного“ синтеза, например, заменой спиртов на соответствующие простые эфиры или диметоксиметан. Также в научной литературе практически отсутствуют исследования, посвященные замене формальдегида на его гомологи и метанола на спирты с большей длиной углеродной цепи и/или степенью ее разветвленности. На основании существующих данных о влиянии структуры и длины цепочки оксометиленовых эфиров на их физические свойства справедливо предполагать возможность получения возобновляемых топлив с улучшенными эксплуатационными (в частности, низкотемпературными) свойствами и хорошей совместимостью с традиционными топливами.
В области получения эфиров щавелевой кислоты, на сегодняшний день все еще не предложен эффективный способ получения ее несимметричных (метилэтиловых, этилпропиловых и т.п.) эфиров, которые представляют наибольший интерес в качестве высокооктановых компонентов и биобензина на основании имеющихся в литературе данных о влиянии алкильных заместителей на температуру застывания и кипения, плотность и теплотворную способность получаемого соединения. Практически отсутствуют химмотологические свойства этих компонентов: октановое число, цетановый индекс, температура помутнения и застывания, в связи с чем синтез и очистка различных оксалатов, определение их эксплуатационных характеристик является перспективным направлением исследований.
ФИНАНСИРОВАНИЕ РАБОТЫ
Исследование выполнено в рамках Государственного задания ИНХС РАН.
КОНФЛИКТ ИНТЕРЕСОВ
Дементьев К.И., соавтор, является заместителем главного редактора журнала „Нефтехимия“. Другие соавторы заявляют об отсутствии конфликта интересов, требующих раскрытия в этой статье.
Авторлар туралы
Тимур Паланкоев
Институт нефтехимического синтеза им. А.В. Топчиева РАН
Email: pkuznetsov@ips.ac.ru
ORCID iD: 0000-0001-9880-6755
к.х.н.
Ресей, МоскваПетр Кузнецов
Институт нефтехимического синтеза им. А.В. Топчиева РАН
Хат алмасуға жауапты Автор.
Email: pkuznetsov@ips.ac.ru
ORCID iD: 0000-0002-3140-3035
к.х.н.
Ресей, МоскваСтанислав Беденко
Институт нефтехимического синтеза им. А.В. Топчиева РАН
Email: pkuznetsov@ips.ac.ru
ORCID iD: 0000-0001-8926-0818
к.х.н.
Ресей, МоскваКонстантин Дементьев
Институт нефтехимического синтеза им. А.В. Топчиева РАН
Email: pkuznetsov@ips.ac.ru
ORCID iD: 0000-0002-8102-8624
к.х.н.
Ресей, МоскваӘдебиет тізімі
- Rodionova M.V., Poudyal R.S., Tiwari I., Voloshin R.A., Zharmukhamedov S.K., Nam H.G., Zayadan B.K., Bruce B.D., Hou H.J., Allakhverdiev S.I. Biofuel production: challenges and opportunities // Int. J. Hydrogen Energy. 2017. V. 42. № 12. P. 8450–8461. https://doi.org/10.1016/j.ijhydene.2016.11.125
- Калинина М.А., Куликов Л.А., Чередниченко К.А., Максимов А.Л., Караханов Е.А. Влияние сульфо-групп в структуре пористых ароматических каркасов на активность платиновых катализаторов в гидродеоксигенации компонентов бионефти // Нефтехимия. 2021. Т. 61. № 5. С. 692–703. https://doi.org/10.31857/S0028242121050129 [Kalinina M.A., Kulikov L.A., Cherednichenko K.A., Maxi-mov A.L., Karakhanov E.A. The effect of sulfonate groups in the structure of porous aromatic frameworks on the activity of platinum catalysts towards hydrodeoxygenation of biofuel components // Petrol. Chemistry. 2021. V. 61. № 9. P. 1061–1070. https://doi.org/10.1134/S0965544121090115]
- Mardiana S., Azhari N.J., Ilmi T., Kadja G.T. Hierarchical zeolite for biomass conversion to biofuel: a review // Fuel. 2021. V. 309. ID 122119. https://doi.org/10.1016/j.fuel.2021.122119
- Luque R., Clark J.H. Biodiesel-like biofuels from simultaneous transesterification/esterification of waste oils with a biomass-derived solid acid catalyst // ChemCatChem. 2011. V. 3. № 3. P. 594–597. https://doi.org/10.1002/cctc.201000280
- Li X., Luo X., Jin Y., Li J., Zhang H., Zhang A., Xie J. Heterogeneous sulfur-free hydrodeoxygenation catalysts for selectively upgrading the renewable bio-oils to second generation biofuels // Renewable Sustainable Energy Rev. 2018. V. 82. P. 3762–3797. https://doi.org/10.1016/j.rser.2017.10.091
- Ma F., Hanna M.A. Biodiesel production: a review // Bioresour. Technol. 1999. V. 70. № 1. P. 1–15. https://doi.org/10.1016/s0960-8524(99)00025-5
- Pinto A.C., Guarieiro L.L., Rezende M.J., Ribeiro N.M., Torres E.A., Lopes W.A., Pereira P.A.D.P., Andrade J.B.D. Biodiesel: an overview // J. Braz. Chem. Soc. 2005. V. 16. № 6. P. 1313–1330. https://doi.org/10.1590/S0103-50532005000800003
- Balat M., Balat H. Progress in biodiesel processing // Appl. Energy. 2010. V. 87. № 6. P. 1815–1835. https://doi.org/10.1016/j.apenergy.2010.01.012
- De Oliveira F.C., Coelho S.T. History, evolution, and environmental impact of biodiesel in Brazil: a review // Renewable Sustainable Energy Rev. 2017. V. 75. P. 168–179. https://doi.org/10.1016/j.rser.2016.10.060
- McMillan J.D. Bioethanol production: status and prospects // Renewable Energy. 1997. V. 10. № 2–3. P. 295–302. https://doi.org/10.1016/0960-1481(96)00081-x
- Aditiya H.B., Mahlia T.M.I., Chong W.T., Nur H., Sebayang A.H. Second generation bioethanol production: a critical review // Renewable Sustainable Energy Rev. 2016. V. 66. P. 631–653. https://doi.org/10.1016/j.rser.2016.07.015
- Sarkar N., Ghosh S.K., Bannerjee S., Aikat K. Bioethanol production from agricultural wastes: an overview // Renewable Energy. 2012. V. 37. № 1. P. 19–27. https://doi.org/10.1016/j.renene.2011.06.045
- Kumar M., Gayen K. Developments in biobutanol production: new insights // Appl. Energy. 2011. V. 88. № 6. P. 1999–2012. https://doi.org/10.1016/j.apenergy.2010.12.055
- Kushwaha D., Srivastava N., Mishra I., Upadhyay S.N., Mishra P.K. Recent trends in biobutanol production // Rev. Chem. Eng. 2019. V. 35. № 4. P. 475–504. https://doi.org/10.1515/revce-2017-0041
- IEA Renewables 2021. URL: https://www.iea.org/reports/renewables-2021 (accessed December 25, 2023).
- Bulushev D.A., Ross J.R.H. Catalysis for conversion of biomass to fuels via pyrolysis and gasification: a review // Catal. Today. 2011. V. 171. № 1. P. 1–13. https://doi.org/10.1016/j.cattod.2011.02.005
- Xiu S., Shahbazi A. Bio-oil production and upgrading research: a review // Renewable Sustainable Energy Rev. 2012. V. 16. № 7. P. 4406–4414. https://doi.org/10.1016/j.rser.2012.04.028
- Isahak W.N.R.W., Hisham M.W.M., Yarmo M.A., Hin T.Y.Y. A review on bio-oil production from biomass by using pyrolysis method // Renewable Sustainable Energy Rev. 2012. V. 16. № 8. P. 5910–5923. https://doi.org/10.1016/j.rser.2012.05.039
- Паланкоев Т.А., Дементьев К.И., Хаджиев С.Н. Перспективные процессы производства биотоплив типа “drop in“ и продуктов нефтехимии из возобновляемого сырья (Обзор) // Нефтехимия. 2019. Т. 59. № 3. С. 315–324. https://doi.org/10.1134/s0028242119030110 [Palankoev T.A., Dementiev K.I., Khadzhiev S.N. Promising processes for producing drop-in biofuels and petrochemicals from renewable feedstock // Petrol. Chemistry. 2019. V. 59. P. 438–446. https://doi.org/10.1134/S096554411904011X ]
- Hoekman S.K., Broch A., Robbins C., Ceniceros E., Natarajan M. Review of biodiesel composition, properties, and specifications // Renewable Sustainable Energy Rev. 2012. V. 16. № 1. P. 143–169. https://doi.org/10.1016/j.rser.2011.07.143
- Lan T., Wang Y., Ali R., Liu H., Liu X., He M. Prediction and measurement of critical properties of gasoline surrogate fuels and biofuels // Fuel Process. Technol. 2022. V. 228. P. 107156. https://doi.org/10.1016/j.fuproc.2021.107156
- Obergruber M., Hönig V., Procházka P., Kučerová V., Kotek M., Bouček J., Mařík J. Physicochemical properties of biobutanol as an advanced biofuel // Materials. 2021. V. 14. № 4. P. 1–21. https://doi.org/10.3390/ma14040914
- Cornejo A., Barrio I., Campoy M., Lázaro J., Navarrete B. Oxygenated fuel additives from glycerol valorization. Main production pathways and effects on fuel properties and engine performance: a critical review // Renewable Sustainable Energy Rev. 2017. V. 79. P. 1400–1413. https://doi.org/10.1016/j.rser.2017.04.005
- Ong H.C., Chen W.H., Farooq A., Gan Y.Y., Lee K.T., Ashokkumar V. Catalytic thermochemical conversion of biomass for biofuel production: a comprehensive review // Renewable Sustainable Energy Rev. 2019. V. 113. P. 109266. https://doi.org/10.1016/j.rser.2019.109266
- Geller D.P., Goodrum J.W. Effects of specific fatty acid methyl esters on diesel fuel lubricity // Fuel. 2004. V. 83. № 17–18. P. 2351–2356. https://doi.org/10.1016/j.fuel.2004.06.004
- Doll K.M., Moser B.R., Erhan S.Z. Surface tension studies of alkyl esters and epoxidized alkyl esters relevant to oleochemically based fuel additives // Energy and Fuels. 2007. V. 21. № 5. P. 3044–3048. https://doi.org/10.1021/ef700213z
- Musyoka S.K., Khalil A.S.G., Ookawara S.A., Elwardany A.E. Effect of C4 alcohol and ester as fuel additives on diesel engine operating characteristics // Fuel. 2023. V. 341. P. 127656. https://doi.org/10.1016/j.fuel.2023.127656
- Szori M., Giri B.R., Wang Z., Dawood A.E., Viskolcz B., Farooq A. Glycerol carbonate as a fuel additive for a sustainable future // Sustain. Energy Fuels. 2018. V. 2. № 10. P. 2171–2178. https://doi.org/10.1039/c8se00207j
- Dahmen M., Marquardt W. Model-based design of tailor-made biofuels // Energy Fuels. 2016. V. 30. № 2. P. 1109–1134. https://doi.org/10.1021/ACS.ENERGYFUELS.5B02674
- Fagan P.J., Korovessi E., Manzer L.E., Mehta R., Thomas S.M. Preparation of levulinic acid esters and formic acid esters from biomass and olefins / Patent JP № 2003080571A1. Appl. atd. 20.05.2014.
- Manzer L. Preparation of levulinic acid esters from alpha-angelica lactone and olefins // Patent US № 2005075405A1.2005. Appl. atd. 28.01.2005.
- Jungbluth H., Gottlieb K., Wessendorf R. Flüssige kraftstoffe. Liquid fuels.
- Christensen E., Williams A., Paul S., Burton S., McCormick R.L. Properties and performance of levulinate esters as diesel blend components // Energy Fuels. 2011. V. 25. № 11. P. 5422–5428. https://doi.org/10.1021/EF201229J
- Rae A., Hodgson W. Fuel composition // Patent GB № 2003002696A1. 2001. Appl. atd. 08.03.2001.
- Groves A.P., Morley C., Smith J., Stevenson P.A. Fuel compositions comprising a С4–С8 alkyl levulinate // Patent WO № 2005044960 A1. 2004. Appl. atd. 08.11.2004.
- Haan J.P., Louis J.J. J., Stevenson P.A. Fuel compositions // Patent WO № 2007012585 A1. 2007. Appl. atd. 19.07.2006.
- Joshi H., Moser B.R., Toler J., Smith W.F., Walker T. Ethyl levulinate: a potential bio-based diluent for biodiesel which improves cold flow properties // Biomass Bioenergy. 2011. V. 35. № 7. P. 3262–3266. https://doi.org/10.1016/j.biombioe.2011.04.020
- Peters R. Identification and thermodynamic analysis of reaction pathways of methylal and OME-formation // Energy. 2017. V. 138. P. 1221–1246. https://doi.org/10.1016/j.energy.2017.07.050
- Xia C., Song H., Chen J., Li. Z. Method for preparing polyoxymethylene dimethyl ethers by acetalation reaction of formaldehyde with methanol // Patent US № 20110313202 A1. 2011. Appl. atd. 01.09.2011.
- Xia C., Song H., Chen J., Li. Z., Jin F., Kang M. System and method for continuously producing polyoxumethylene dimethyl ethers // Patent US № 9169186 B2. 2012. Appl. atd. 18.10.2012.
- Qian M., Liauw M.A., Emig G. Formaldehyde synthesis from methanol over silver catalysts // Appl. Catal., A. 2003. V. 238. № 2. P. 211–222. https://doi.org/10.1016/S0926-860X(02)00340-X
- Meunier N., Chauvy R., Mouhoubi S., Thomas D., De Weireld G. Alternative production of methanol from industrial CO2 // Renewable Energy. 2020. V. 146. P. 1192–1203. https://doi.org/10.1016/j.renene.2019.07.010
- Simon Araya S., Liso V., Cui X., Li N., Zhu J., Sahlin S.L., Jensen S.H., Nielsen M.P., Kær S.K. A review of the methanol economy: the fuel cell route // Energies. 2020. V. 13. № 3. P. 596. https://doi.org/10.3390/EN13030596
- Guo W., Yin Y., Pi N., Liu F., Tu S., Ye L. Investigation on a novel mixed dialkyl oxalate system as an oxygenated fuel additive // Energy Fuels. 2020. V. 34. № 4. P. 4213–4220. https://doi.org/10.1021/acs.energyfuels.9b04536
- Riemenschneider W., Tanifuji M. Oxalic acid // Ullmann’s Encyclopedia of Industrial Chemistry. Weinheim: WILEY-VCH Verlag GmbH & Co. KgaA, 2000. P. 1–14. https://doi.org/10.1002/14356007.a18_247
- Lautenschütz L., Oestreich D., Seidenspinner P., Arnold U., Dinjus E., Sauer J. Physico-chemical properties and fuel characteristics of oxymethylene dialkyl ethers // Fuel. 2016. V. 173. P. 129–137. https://doi.org/10.1016/j.fuel.2016.01.060
- Qi J., Hu Y., Niu J., Ma W., Jiang S., Wang Y., Zhang X., Jiang Y. Evaluation of polyoxymethylene dimethyl ethers as a new type of diesel additives // Fuel. 2018. V. 234. P. 135–141. https://doi.org/10.1016/J.FUEL.2018.07.007
- Han D.Y., Cao Z.B., Shi W.W., Deng X.D., Yang T.Y. Influence of polyoxymethylene dimethyl ethers on diesel fuel properties // Energy Sources, Part A. 2016. V. 38. № 18. P. 2687–2692. https://doi.org/10.1080/15567036.2015.1110646
- Bartholet D.L., Arellano-Treviño M.A., Chan F.L., Lucas S., Zhu J., John P.C.S., Alleman T.L., McEnally C.S., Pfefferle L.D., Ruddy D.A., Windom B. Property predictions demonstrate that structural diversity can improve the performance of polyoxymethylene ethers as potential bio-based diesel fuels // Fuel. 2021. V. 295. https://doi.org/10.1016/j.fuel.2021.120509
- Kang M.R., Song H.Y., Jin F. X., Chen J. Synthesis and physicochemical characterization of polyoxymethylene dimethyl ethers // J. Fuel Chem. Technol. 2017. V. 45. № 7. P. 837–845. https://doi.org/10.1016/s1872-5813(17)30040-3
- Liu Q., Zhang X., Ma B., Lin Y. Densities and viscosities for binary mixtures of polyoxymethylene dimethyl ethers with different CH2O chain length n = 2, 3, 4 at different temperatures // J. Chem. Thermodyn. 2017. V. 113. P. 151–161. https://doi.org/10.1016/j.jct.2017.06.002
- Liu J., Wang L., Wang P., Sun P., Liu H., Meng Z., Zhang L., Ma H. An overview of polyoxymethylene dimethyl ethers as alternative fuel for compression ignition engines // Fuel. 2022. V. 318. P. 123582. https://doi.org/10.1016/j.fuel.2022.123582
- ГОСТ 32511-2013 „Топливо дизельное ЕВРО. Технические условия“. URL: https://kpon.ru/assets/manager/lab/GOST_32511-2013_Toplivo_dizelnoe_tu.pdf (accessed December 25, 2023).
- Deutsch D., Oestreich D., Lautenschütz L., Haltenort P., Arnold U., Sauer J. High purity oligomeric oxymethylene ethers as diesel fuels // Chem. Ing. Tech. 2017. V. 89. № 4. P. 486–489. https://doi.org/10.1002/cite.201600158
- Omari A., Heuser B., Pischinger S., Rüdinger C. Potential of long-chain oxymethylene ether and oxymethylene ether-diesel blends for ultra-low emission engines // Appl. Energy. 2019. V. 239. P. 1242–1249. https://doi.org/10.1016/j.apenergy.2019.02.035
- Omari A., Heuser B., Pischinger S. Potential of oxymethylenether-diesel blends for ultra-low emission engines // Fuel. 2017. V. 209. P. 232–237. https://doi.org/10.1016/j.fuel.2017.07.107
- Badia J.H., Ramírez E., Bringué R., Cunill F., Delgado J. New octane booster molecules for modern gasoline composition // Energy Fuels. 2021. V. 35. № 14. P. 10949–10997. https://doi.org/10.1021/acs.energyfuels.1c00912
- Joseph S., Sathishkumar R., Mahapatra S., Desiraju G.R. Crystal packing and melting temperatures of small oxalate esters: The role of C–H2O hydrogen bonding // Acta Crystallogr., Sect. B: Struct. Sci., Cryst. Eng. Mater. V. 67. № 6. P. 525–534. https://doi.org/10.1107/S0108768111037487
- Xiamen University. The new oxygenated fuel of oxalic acid ester or fuel oil additive and its application // Patent CN № 107118814A. Appl. atd. 06.06.2017.
- Serdari A., Lois E., Stournas S. Impact of esters of mono- and dicarboxylic acids on diesel fuel quality // Ind. Eng. Chem. Res. 1999. V. 38. № 9. P. 3543–3548. https://doi.org/10.1021/ie9900115
- Bu L., Ciesielski P.N., Robichaud D.J., Kim S., McCormick R.L., Foust T.D., Nimlos M.R. Understanding trends in autoignition of biofuels: homologous series of oxygenated C5 molecules // J. Phys. Chem. A. 2017. V. 121. № 29. P. 5475–5486. https://doi.org/10.1021/acs.jpca.7b04000
- NIST Chemistry WebBook. URL: https://webbook.nist.gov/chemistry/ (accessed December 25, 2023).
- PubChem. URL: https://pubchem.ncbi.nlm.nih.gov/ (дата обращения: 5.12.2023).
- CompTox Chemicals Dashboard. URL: https://comptox.epa.gov/dashboard/ (дата обращения: 5.12.2023).
- Baranowski C.J., Bahmanpour A.M., Kröcher O. Catalytic synthesis of polyoxymethylene dimethyl ethers (OME): a review // Appl. Catal., B. 2017. V. 217. P. 407–420. https://doi.org/10.1016/j.apcatb.2017.06.007
- Li G., Ning J., Xu C., Qiu Q., Ma H., Chen L. Identification of reaction path for the synthesis of polyoxymethylene dimethyl ethers from methanol and paraformaldehyde catalyzed by Al-MCM-41 zeolite // Comput. Theor. Chem. 2021. V. 1200. P. 113248. https://doi.org/10.1016/j.comptc.2021.113248
- Zhao Y., Xu Z., Chen H., Fu Y., Shen J. Mechanism of chain propagation for the synthesis of polyoxymethylene dimethyl ethers // J. Energy Chem. 2013. V. 22. № 6. P. 833–836. https://doi.org/10.1016/S2095-4956(14)60261-8
- Liu H., Bai Z., Liu Y., Guo X., Fu Y. Prediction of the vapor–liquid equilibrium of formaldehyde–water–trioxane ternary system by the conductor-like screening model for real solvents // Int. J. Chem. Eng. Appl. 2017. V. 8. № 2. P. 82–86. https://doi.org/10.18178/ijcea.2017.8.2.634
- Detcheberry M., Destrac P., Meyer X.M. Condoret J.S. Phase equilibria of aqueous solutions of formaldehyde and methanol: improved approach using UNIQUAC coupled to chemical equilibria // Fluid Phase Equilib. 2015. V. 392. P. 84–94. https://doi.org/10.1016/j.fluid.2015.02.011
- Albert M., Coto García B., Kuhnert C., Peschla R., Maurer G. Vapor–liquid equilibrium of aqueous solutions of formaldehyde and methanol // AIChE J. 2000. V. 46. № 8. P. 1676–1687. https://doi.org/10.1002/aic.690460818
- Diep B.T., Wainwright M.S. Thermodynamic equilibrium constants for the methanol–dimethyl ether–water system // J. Chem. Eng. Data. 1987. V. 32. № 3. P. 330–333. https://doi.org/10.1021/je00049a015
- Burger J., Ströfer E., Hasse H. Chemical equilibrium and reaction kinetics of the heterogeneously catalyzed formation of poly(oxymethylene) dimethyl ethers from methylal and trioxane // Ind. Eng. Chem. Res. 2012. V. 51. № 39. P. 12751–12761. https://doi.org/10.1021/ie301490q
- Drunsel J.O., Renner M., Hasse H. Experimental study and model of reaction kinetics of heterogeneously catalyzed methylal synthesis // Chem. Eng. Res. Des. 2012. V. 90. № 5. P. 696–703. https://doi.org/10.1016/j.cherd.2011.09.014
- Oestreich D., Lautenschütz L., Arnold U., Sauer J. Reaction kinetics and equilibrium parameters for the production of oxymethylene dimethyl ethers (OME) from methanol and formaldehyde // Chem. Eng. Sci. 2017. V. 163. P. 92–104. https://doi.org/10.1016/j.ces.2016.12.037
- Schmitz N., Burger J., Hasse H. Reaction Kinetics of the formation of poly(oxymethylene) dimethyl ethers from formaldehyde and methanol in aqueous solutions // Ind. Eng. Chem. Res. 2015. V. 54. № 50. P. 12553–12560. https://doi.org/10.1021/acs.iecr.5b04046
- Wu Q., Wang M., Hao Y., Li H., Zhao Y., Jiao Q. Synthesis of polyoxymethylene dimethyl ethers catalyzed by Bronsted acid ionic liquids with alkanesulfonic acid groups // Ind. Eng. Chem. Res. 2014. V. 53. P. 16254–16260. https://doi.org/10.1021/ie502409t
- Qi J., Hu Y., Jiang S., Ma W., Yang Z., Wang Y. Lewis acids promote the catalytic selectivity to polyoxymethylene dimethyl ethers PODE3,4 // Fuel. 2019. V. 245. P. 521–527. https://doi.org/10.1016/j.fuel.2019.02.093
- Cao C., Liu G., Xin F., Lei Q., Qin X., Yin Y., Chen H., Ullah A. Analyses and rates of reactions influenced by water in synthesis of polyoxymethylene dimethyl ethers from trioxane and methylal // Chem. Eng. Sci. 2022. V. 248. P. 117136. https://doi.org/10.1016/j.ces.2021.117136
- Maiwald M., Fischer H.H., Ott M., Peschla R., Kuhnert C., Kreiter C.G., Maurer G., Hasse H. Quantitative NMR spectroscopy of complex liquid mixtures: methods and results for chemical equilibria in formaldehyde–water–methanol at temperatures up to 383 K // Ind. Eng. Chem. Res. 2003. V. 42. № 2. P. 259–266. https://doi.org/10.1021/IE0203072
- Voggenreiter J., Burger J. Side products in the water-tolerant synthesis of poly(oxymethylene) dimethyl ethers: formation kinetics and implications for process design // Ind. Eng. Chem. Res. 2021. V. 60. № 6. P. 2418–2429. https://doi.org/10.1021/ACS.IECR.0C05780
- Klokic S., Hochegger M., Schober S., Mittelbach M. Investigations on an efficient and environmentally benign poly(oxymethylene) dimethyl ether (OME3–5) fuel synthesis // Renewable Energy. 2020. V. 147. P. 2151–2159. https://doi.org/10.1016/J.RENENE.2019.10.004
- Wang R., Wu Z., Qin Z., Chen C., Zhu H., Wu J., Chen G., Fan W., Wang J. Graphene oxide: an effective acid catalyst for the synthesis of polyoxymethylene dimethyl ethers from methanol and trioxymethylene // Catal. Sci. Technol. 2016. V. 6. № 4. P. 993–997. https://doi.org/10.1039/c5cy01854d
- Song H., Kang M., Jin F., Wang G., Li Z., Chen J. Brønsted-acidic ionic liquids as efficient catalysts for the synthesis of polyoxymethylene dialkyl ethers // Chin. J. Catal. 2017. V. 38. № 5. P. 853–861. https://doi.org/10.1016/S1872-2067(17)62816-X
- Zhang C., Zhang T., Zhang J., Zhang J., Li R. Controllable synthesis of polyoxymethylene dimethyl ethers by ionic liquids encapsulated in mesoporous SBA-16 // Chin. J. Chem. Eng. 2021. V. 32. P. 175–182. https://doi.org/10.1016/j.cjche.2020.09.016
- Sheldon R.A., Arends I., Hanefeld U. Green Chemistry and Catalysis. Weinheim: Wiley-VCH Verlag GmbH & Co. KgaA, 2007. P. 434.
- Wang L., Wu W., Chen T., Chen Q. Ion-exchange resin-catalyzed synthesis of polyoxymethylene dimethyl ethers: a practical and environmentally friendly way to diesel additive // Chem. Eng. Commun. 2013. V. 201. № 5. P. 37–41. https://doi.org/10.1080/00986445.2013.778835
- Li X., Cao J., Nawaz M.A., Liu D. Synergy of Lewis and Brønsted acid sites for polyoxymethylene dimethyl ether synthesis from methanol and formaldehyde solution over Zr4+ modified sulfonated resin // Fuel. 2021. V. 289. P. 119867. https://doi.org/10.1016/j.fuel.2020.119867
- Fang X., Chen J., Ye L., Lin H., Yuan Y. Efficient synthesis of poly (oxymethylene) dimethyl ethers over PVP-stabilized heteropolyacids through self-assembly // Sci. China: Chem. 2015. V. 58. № 1. P. 131–138. https://doi.org/10.1007/s11426-014-5257-x
- Wang L., Wu W.-T., Chen T., Chen Q., He M.-Y. Ion-exchange resin-catalyzed synthesis of polyoxymethylene dimethyl ethers: a predictical and environmentallly friendly way to diesel additive // Chem. Eng. Commun. 2014. V. 201. № 5. P. 709–717. https://doi.org/10.1080/00986445.2013.778835
- Zhang J., Tang B., Fang D., Liu D. Polyoxymethylene dimethyl ethers from methylal and trioxane over modified cation-exchange resin // Asian J. Chem. 2014. V. 26. № 19. P. 6469–6473. https://doi.org/10.14233/ajchem.2014.16457
- Lautenschütz L., Oestreich D., Haltenort P., Arnold U., Dinjus E., Sauer J. Efficient synthesis of oxymethylene dimethyl ethers (OME) from dimethoxymethane and trioxane over zeolites // Fuel Process. Technol. 2017. V. 165. P. 27–33. https://doi.org/10.1016/j.fuproc.2017.05.005
- Haltenort P., Hackbarth K., Oestreich D., Lautenschütz L., Arnold U., Sauer J. Heterogeneously catalyzed synthesis of oxymethylene dimethyl ethers (OME) from dimethyl ether and trioxane // Catal. Commun. 2018. V. 109. № 2017. P. 80–84. https://doi.org/10.1016/j.catcom.2018.02.013
- Wang B., Yan X., Zhang X., Zhang H., Li F. Citric acid-modified beta zeolite for polyoxymethylene dimethyl ethers synthesis: the textural and acidic properties regulation // Appl. Catal., B. 2020. V. 266. P. 118645. https://doi.org/10.1016/j.apcatb.2020.118645
- Wu J., Zhu H., Wu Z., Qin Z., Yan L., Du B., Fan W., Wang J. High Si/Al ratio HZSM-5 zeolite: an efficient catalyst for the synthesis of polyoxymethylene dimethyl ethers from dimethoxymethane and trioxymethylene // Green Chem. 2015. V. 17. № 4. P. 2353–2357. https://doi.org/10.1039/c4gc02510e
- Qi Z.H.A.O., Hui W.A.N.G., Qin Z.F., Wu Z.W., Wu J.B., Fan W.B., Wang J.G. Synthesis of polyoxymethylene dimethyl ethers from methanol and trioxymethylene with molecular sieves as catalysts // J. Fuel Chem. Technol. (Beijing). 2011. V. 39. № 12. P. 918–923. https://doi.org/10.1016/s1872-5813(12)60003-6
- Беденко С.П., Дементьев К.И., Третьяков В.Ф., Максимов А.Л. Реакция Принса на гетерогенных катализаторах (обзор) // Нефтехимия. 2020. T. 60. № 4. C. 433–441. https://doi.org/10.31857/S0028242120040024 [Bedenko S.P., Dement’ev K.I., Tret’yakov V.F., Maksimov A.L. The Prins reaction over heterogeneous catalysts (a review) // Petrol. Chemistry. 2020. V. 60. № 7. P. 723–730. https://doi.org/10.1134/S0965544120070026]
- Bedenko S.P., Kozhevnikov A.A., Dement’ev K.I., Tret’yakov V.F., Maksimov A.L. The Prins condensation between i-butene and formaldehyde over modified BEA and MFI zeolites in liquid phase // Catal. Commun. 2020. V. 138. P. 105965. https://doi.org/10.1016/j.catcom.2020.105965
- Bedenko S.P., Dement’ev K.I., Tret’yakov V.F. Deactivation of zeolite catalysts in the prins reaction between propene and formaldehyde in the liquid phase // Catalysts. 2021. V. 11. № 10. P. 1181. https://doi.org/10.3390/catal11101181
- Labidi S., Ben Amar M., Passarello J.P., Le Neindre B., Kanaev A. Design of novel sulfated nanozirconia catalyst for biofuel synthesis // Ind. Eng. Chem. Res. 21017 V. 56. № 6. P. 1394–1403. https://doi.org/10.1021/acs.iecr.6b03448
- Li X., Cao J., Nawaz M.A., Liu D. Synergy of Lewis and Brønsted acid sites for polyoxymethylene dimethyl ether synthesis from methanol and formaldehyde solution over Zr4+ modified sulfonated resin // Fuel. 2021. V. 289. P. 119867. https://doi.org/10.1016/j.fuel.2020.119867
- Li X., Li S., Wang X., Nawaz M.A., Liu D. Polyoxymethylene dimethyl ethers synthesis from methanol and formaldehyde solution over one-pot synthesized spherical mesoporous sulfated zirconia // Chin. J. Chem. Eng. 2022. V. 46. P. 161–172. https://doi.org/10.1016/j.cjche.2021.04.022
- Wang W., Gao X., Yang Q., Wang X., Song F., Zhang Q., Han Y., Tan Y. Vanadium oxide modified H-beta zeolite for the synthesis of polyoxymethylene dimethyl ethers from dimethyl ether direct oxidation // Fuel. 2018. V. 238. P. 289–297. https://doi.org/10.1016/j.fuel.2018.10.098
- Bahmanpour A.M., Hoadley A., Tanksale A. Formaldehyde production via hydrogenation of carbon monoxide in the aqueous phase // Green Chem. 2015. V. 17. № 6. P. 3500–3507. https://doi.org/10.1039/c5gc00599j
- Sun R., Delidovich I., Palkovits R. Dimethoxymethane as a cleaner synthetic fuel: synthetic methods, catalysts, and reaction mechanism // ACS Catal. 2019. V. 9. № 2. P. 1298–1318. https://doi.org/10.1021/acscatal.8b04441
- Gierlich C.H., Beydoun K., Klankermayer J., Palkovits R. Challenges and opportunities in the production of oxymethylene dimethylether // Chem. Ing. Tech. 2020. V. 92. № 1–2. P. 116–124. https://doi.org/10.1002/cite.201900187
- Lucas S.P., Chan F.L., Fioroni G.M., Foust T.D., Gilbert A., Luecke J., McEnally C.S., Serdoncillo J.J.A., Zdanowicz A.J., Zhu J., Windom B. Fuel properties of oxymethylene ethers with terminating groups from methyl to butyl // Energy Fuels. 2022. V. 36. № 17. P. 10213–10225. https://doi.org/10.1021/acs.energyfuels.2c01414
- Drexler M., Haltenort P., Zevaco T.A., Arnold U., Sauer J. Synthesis of tailored oxymethylene ether (OME) fuels: via transacetalization reactions // Sustainable Energy Fuels. 2021. V. 5. P. 4311–4326. https://doi.org/10.1039/d1se00631b
- Arellano-Trevino M.A., Bartholet D., To A.T., Bartling A.W., Baddour F.G., Alleman T.L., Christensen E.D., Fioroni G.M., Hays C., Luecke J., Zhu J. Synthesis of butyl-exchanged polyoxymethylene ethers as renewable diesel blendstocks with improved fuel properties // ACS Sustainable Chem. Eng. 2021. V. 9. № 18. P. 6266–6273. https://doi.org/10.1021/acssuschemeng.0c09216
- Olson A.L., Tunér M., Verhelst S. A concise review of glycerol derivatives for use as fuel additives // Heliyon. 2023. V. 9. № 1. P. e13041. https://doi.org/10.1016/J.HELIYON.2023.E13041
- Trifoi A.R., Agachi P.Ş., Pap T. Glycerol acetals and ketals as possible diesel additives. A review of their synthesis protocols // Renewable Sustainable Energy Rev. 2016. V. 62. P. 804–814. https://doi.org/10.1016/j.rser.2016.05.013
- Nord K.E., Haupt D. Reducing the emission of particles from a diesel engine by adding an oxygenate to the fuel // Environ. Sci. Technol. 2005. V. 39. № 16. P. 6260–6265. https://doi.org/10.1021/es048085h
- Хуснутдинов И.Ш., Ахметзянов А.М., Гаврилов В.И., Ззаббаров Р.Р., Ханова А.Г. Исследование 1,1-диэтоксиэтана как компонента дизельного топлива // Химия и химическая технология. 2009. Т. 52. № 11. С. 119–122. EDN: KXWDZV
- Jaubert S., Maurer G. Quantitative NMR spectroscopy of binary liquid mixtures (aldehyde + alcohol). Part I: Acetaldehyde+ (methanol or ethanol or 1-propanol) // J. Chem. Thermodyn. 2014. V. 68. P. 332–342. https://doi.org/10.1016/j.jct.2013.03.022
- Song J., Cheenkachorn K., Wang J., Perez J., Boehman A.L., Young P.J., Waller F.J. Effect of oxygenated fuel on combustion and emissions in a light-duty turbo diesel engine // Energy Fuels. 2002. V. 16. № 2. P. 294–301. https://doi.org/10.1021/EF010167T
- Ян В., Лю Ц., Ван В., Ли Л. Способ получения оксалата монооксидоуглеродным газофазным способом // Патент РФ № 2532348 С2. 2011. Заявка 06.09.2011.
- Луи Ж., Сунь Ф., Куай Ц. Способ получения оксалата газофазным способом с участием оксида углерода // Патент РФ № 2554887 С2. 2011. Заявка 13.04.2011.
- Fenton D.M., Steinwand P.J. Preparation of oxalates // Patent US № 3393136A. 1965. Appl. atd. 28.09.1965
- Swenson K.E., Zemach D., Nanjundiah C., Kariv-Miller E. Birch reductions of methoxyaromatics in aqueous solution // J. Org. Chem. 1983. V. 48. № 10. P. 1779–1780. https://doi.org/10.1021/jo00158a042
- Gao X., Zhu Y.P., Luo Z.H. CFD modeling of gas flow in porous medium and catalytic coupling reaction from carbon monoxide to diethyl oxalate in fixed-bed reactors // Chem. Eng. Sci. 2011. V. 66. № 23. P. 6028–6038. https://doi.org/10.1016/j.ces.2011.08.031
- Ji Y., Liu G., Li W., Xiao W. The mechanism of CO coupling reaction to form dimethyl oxalate over Pd/α-Al2O3 // J. Mol. Catal. A Chem. 2009. V. 314. № 1–2. P. 63–70. https://doi.org/10.1016/j.molcata.2009.08.018
- Yu Q., Sun H., Sun H., Li L., Zhu X., Ren S., Guo Q., Shen B. Highly mesoporous IM-5 zeolite prepared by alkaline treatment and its catalytic cracking performance // Microporous Mesoporous Mater. 2019. V. 273. P. 297–306. https://doi.org/10.1016/j.micromeso.2018.08.016
- Wang S., Zhang X., Zhao Y., Ge Y., Lv J., Wang B., Ma X. Pd-Fe/α-Al2O3/cordierite monolithic catalysts for the synthesis of dimethyl oxalate: effects of calcination and structure // Front. Chem. Sci. Eng. 2012. V. 6. № 3. P. 259–269. https://doi.org/10.1007/S11705-012-1212-6
- Zhao T.J., Chen D., Dai Y.C., Yuan W.K., Holmen A. Synthesis of dimethyl oxalate from CO and CH3ONO on carbon nanofiber supported palladium catalysts // Ind. Eng. Chem. Res. 2004. V. 43. № 16. P. 4595–4601. https://doi.org/10.1021/ie030728z
- Yang L., Pan Z., Wang D., Wang S., Wang X., Ma H., Liu H., Wang C., Qu W., Tian Z. Highly effective Pd/MgO/γ-Al2O3 catalysts for CO oxidative coupling to dimethyl oxalate: the Effect of MgO coating on γ-Al2O3 // ACS Appl. Mater. Interfaces. 2021. V. 13. № 24. P. 28064–28071. https://doi.org/10.1021/ACSAMI.1C04051
- Feng X., Ling L., Cao Y., Zhang R., Fan M., Wang B. A DFT study on the catalytic CO oxidative coupling to dimethyl oxalate on Al-doped core-shell Pd clusters // J. Phys. Chem. C. 2018. V. 122. № 2. P. 1169–1179. https://doi.org/10.1021/ACS.JPCC.7B09272
- Bowden E. Methyl oxalate // Org. Synth. 1930. V. 10. P. 78. https://doi.org/10.15227/ORGSYN.010.0078
- Лядов В.А., Денисламова Е.С. Оптимизация метода синтеза диметилоксалата // Химия. Экология. Урбанистика. 2019. Т. 2. С. 335–337. EDN: SVPJXH
- Суярембитова Д.З., Калистратова А.В., Ощепков М.С., Коваленко Л.В. Получение эфиров щавелевой кислоты // Успехи в химии и химической технологии. 2016. Т. 30. № 11. С. 85–87. EDN: XEBHDB
- Ji G., Ding J., Zhong Q. Microreactor technology for synthesis of ethyl methyl oxalate from diethyl oxalate with methanol and its kinectics // Can. J. Chem. Eng. 2020. V. 98. № 11. P. 2321–2329. https://doi.org/10.1002/cjce.23775
- Malins K. The potential of K3PO4, K2CO3, Na3PO4 and Na2CO3 as reusable alkaline catalysts for practical application in biodiesel production // Fuel Process. Technol. 2018. V. 179. P. 302–312. https://doi.org/10.1016/J.FUPROC.2018.07.017
- Sun C., Qiu F., Yang D., Ye B. Preparation of biodiesel from soybean oil catalyzed by Al–Ca hydrotalcite loaded with K2CO3 as heterogeneous solid base catalyst // Fuel Process. Technol. 2014. V. 126. P. 383–391. https://doi.org/10.1016/J.FUPROC.2014.05.021
- Platonov A.Y., Evdokimov A.N., Kurzin A.V., Maiyorova H.D. Solubility of potassium carbonate and potassium hydrocarbonate in methanol // J. Chem. Eng. Data. 2002. V. 47. № 5. P. 1175–1176. https://doi.org/10.1021/JE020012V
- Ma X., Gong J., Wang S., Gao N., Wang D., Yang X., He F. Reactivity and surface properties of silica supported molybdenum oxide catalysts for the transesterification of dimethyl oxalate with phenol // Catal. Commun. 2004. V. 5. № 3. P. 101–106. https://doi.org/10.1016/j.catcom.2003.12.001
- Biradar A.V., Umbarkar S.B., Dongare M.K. Transesterification of diethyl oxalate with phenol using MoO3/SiO2 catalyst // Appl. Catal. A Gen. 2005. V. 285. № 1–2. P. 190–195. https://doi.org/10.1016/j.apcata.2005.02.028
- Мамедов М.К., Пиралиев А.Г. Синтез бициклических и аллиловых диэфиров щавелевой кислоты // Журнал общей химии. 2007. Т. 77. № 9. С. 1517–1520. EDN: IIRWAT [Mamedov M.K., Piraliev A.G. Synthesis of bicyclic and allyl diesters of oxalic acid // Russ. J. Gen. Chem. 2007. V. 77. № 9. P. 1589–1592. https://doi.org/10.1134/S1070363207090149]
- Shi Y., Wang S., Ma X. Microwave preparation of Ti-containing mesoporous materials. Application as catalysts for transesterification // Chem. Eng. J. 2011. V. 166. № 2. P. 744–750. https://doi.org/10.1016/j.cej.2010.11.081




