Перераспределение энергии при горизонтальном вытягивании океанских вихрей баротропными течениями
- Авторы: Жмур В.В.1, Арутюнян Д.А.2
-
Учреждения:
- Институт океанологии им. П.П. Ширшова РАН
- Московский физико-технический институт (государственный университет)
- Выпуск: Том 63, № 1 (2023)
- Страницы: 3-19
- Раздел: Физика моря
- URL: https://journal-vniispk.ru/0030-1574/article/view/136219
- DOI: https://doi.org/10.31857/S0030157423010185
- EDN: https://elibrary.ru/AFRQHI
- ID: 136219
Цитировать
Полный текст
Аннотация
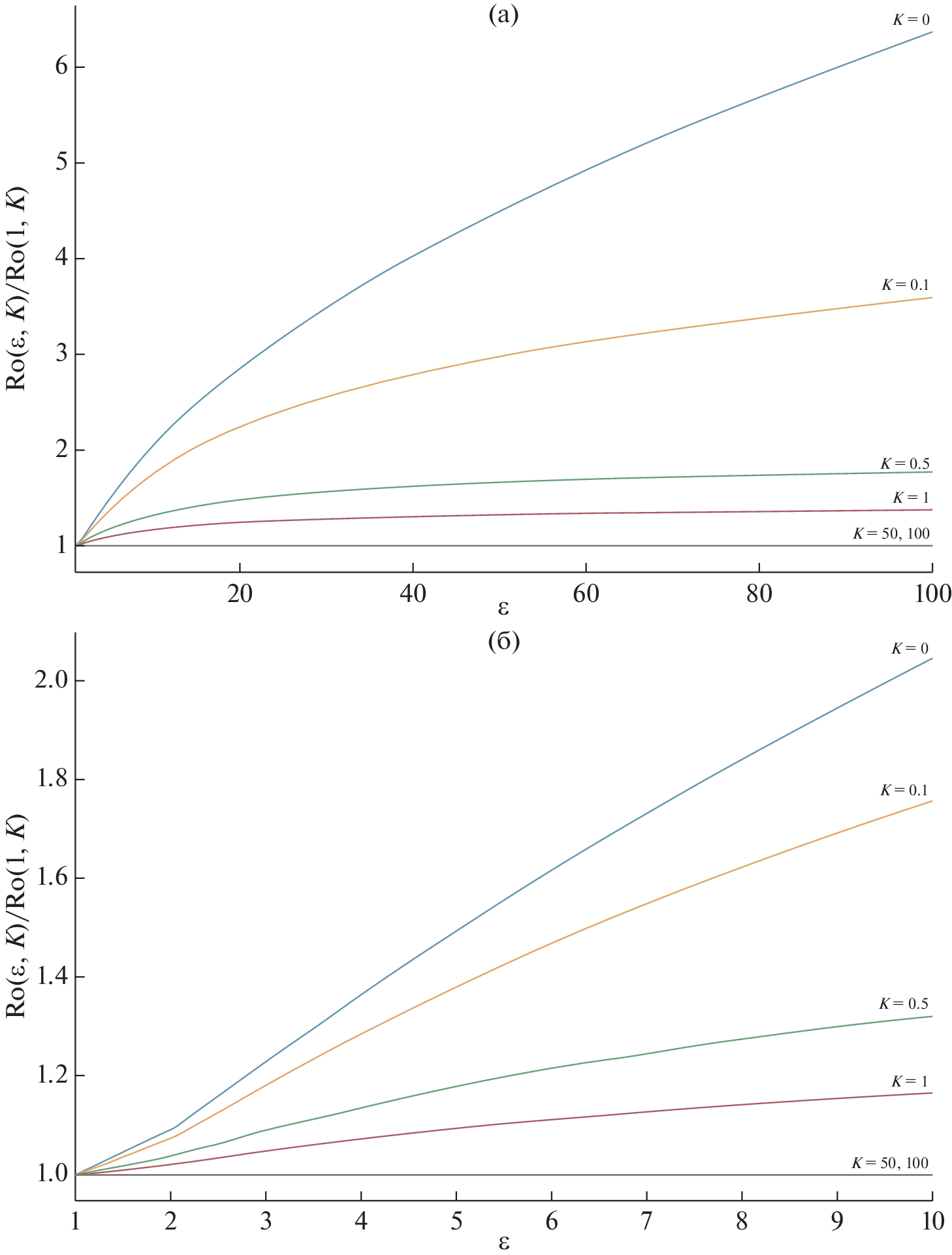
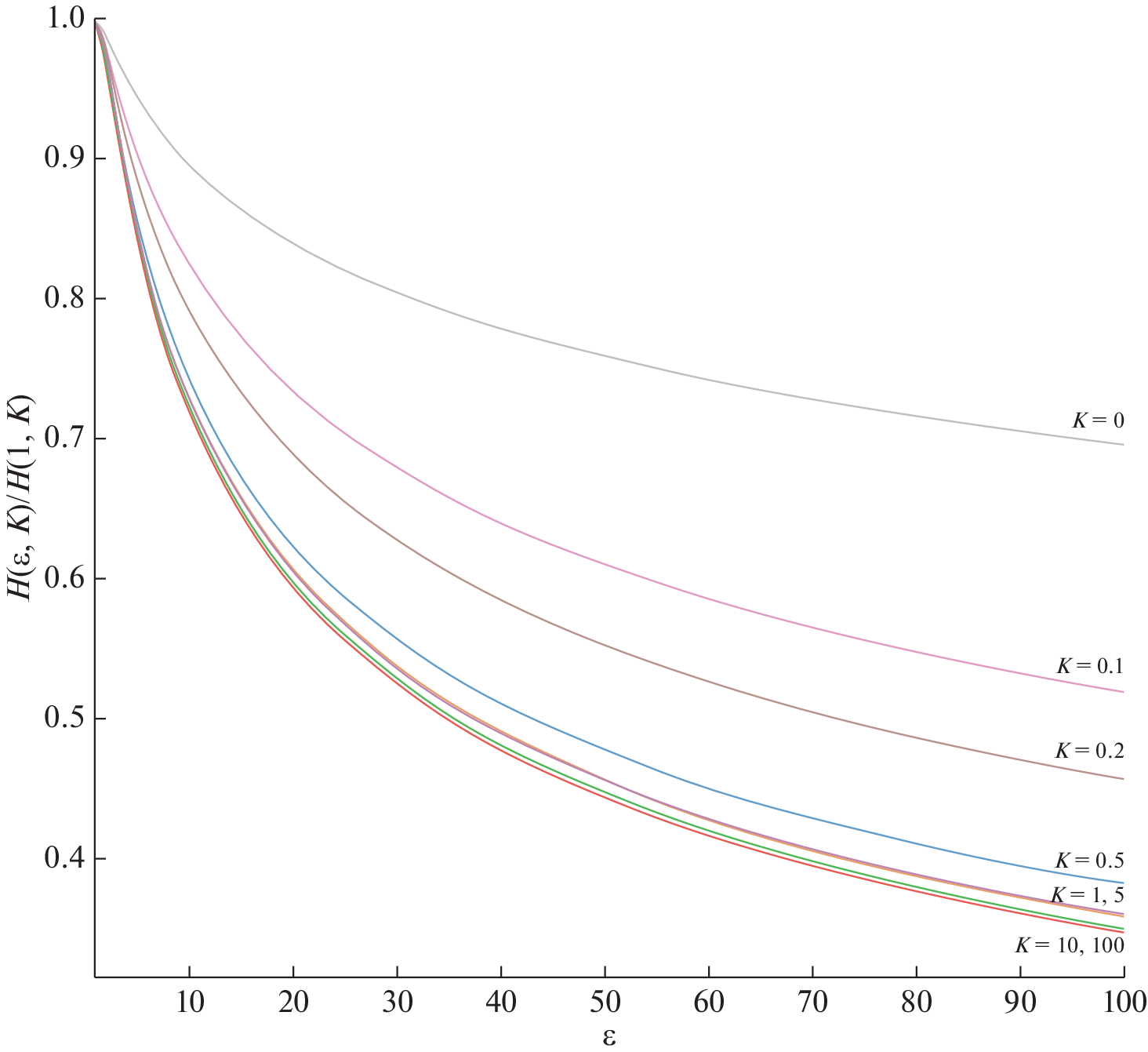
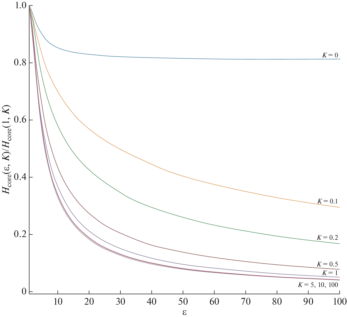
В работе предлагается исследование трансформации физических свойств мезомасштабных вихрей при их сильном вытягивании горизонтальными баротропными течениями. Показано, что при вытягивании ядра кинетическая и доступная потенциальная энергии вихря каждая в отдельности, а также их сумма (полная механическая энергия вихря) уменьшаются, а сам вихрь деградирует по всем физическим параметрам. Уменьшение энергии ансамбля вихрей при их вытягивании фоновым течением интерпретируется как проявление свойства обратного энергетического каскада или, в более старой терминологии, явления отрицательной вязкости.
Об авторах
В. В. Жмур
Институт океанологии им. П.П. Ширшова РАН
Автор, ответственный за переписку.
Email: zhmur-vladimir@mail.ru
Россия, Москва
Д. А. Арутюнян
Московский физико-технический институт (государственный университет)
Email: zhmur-vladimir@mail.ru
Россия, Москва
Список литературы
- Голицын Г.С. Вероятностные структуры макромира: землетрясения, ураганы, наводнения. М.: Физматлит, 2021. 176 с.
- Жмур В.В. Мезомасштабные вихри океана. М.: ГЕОС, 2011. 384 с.
- Жмур В.В., Новоселова Е.В., Белоненко Т.В. Потенциальная завихренность в океане: подходы Эртеля и Россби с оценками для Лофотенского вихря // Известия РАН. Физика атмосферы и океана. 2021. Т. 57. № 6. С. 721–732.
- Жмур В.В., Панкратов К.К. Динамика эллипсоидального приповерхностного вихря в неоднородном потоке // Океанология. 1989. Т. 29. № 2. С. 205–211.
- Жмур В.В., Панкратов К.К. Дальнее взаимодействие ансамбля квазигеострофичнских эллипсоидальных вихрей. Гамильтонова формулировка // Изв. АН СССР. Физика атмосферы и океана. 1990. Т. 26. № 9. С. 972–981.
- Жмур В.В., Щепеткин А.Ф. Эволюция эллипсоидального вихря в стратифицированном океане в приближении f-плоскости // Изв. АН СССР. Физика атмосферы и океана. 1991. Т. 27. № 5. С. 492–503.
- Зацепин А.Г., Баранов В.И., Кондрашов А.А. и др. Субмезомасштабные вихри на кавказском шельфе Черного моря и порождающие их механизмы // Океанология. 2011. Т. 51. № 4. С. 592–605.
- Ларичев В.Д., Резник Г.М. Сильнонелинейный двумерный солитон волн Россби // Океанология. 1976. Т. 16. № 6. С. 961–967.
- Bower A.S., Hendry R.M., Amrhein D.E., Lilly J.M. Direct observations of formation and propagation of subpolar eddies into the Subtropical North Atlantic // Deep-Sea Research II. 2013. V. 85. P. 15–41. https://doi.org/10.1016/j.dsr2.2012.07.029
- Brannigan L. Intense submesoscale upwelling in anticyclonic eddies // Geophys. Res. Lett. 2016. V. 43. № 7. P. 3360–3369. https://doi.org/10.1002/2016GLO67926
- Brannigan L., Marshall D.P., Naveira-Garabato A. et al. Submesoscale instabilities in mesoscale eddies // Journal of Physical Oceanography. 2017. V. 47. № 12. P. 3061–3085. https://doi.org/10.1175/JPO-D-16-0178.1
- Capet X., McWilliams J.C., Molemaker M.J., Shchepetkin A.F. Mesoscale to submesoscale. Transition in the California current system. Part I: flow structure, eddy flux, and observational tests // Journal of Physical Oceanography. 2008. V. 38. № 1. P. 29–43. https://doi.org/10.1175/2007JPO3671.1
- Capet X., McWilliams J.C., Molemaker M.J., Shchepetkin A.F. Mesoscale to submesoscale transition in the California current system. Part II: frontal processes // Journal of Physical Oceanography. 2008. V. 38. № 1. P. 44–46. https://doi.org/10.1175/2007JPO3672.1
- Capet X., McWilliams J.C., Molemaker M.J., Shchepetkin A.F. Mesoscale to submesoscale transition in the California current system. Part III: energy and balance flux // Journal of Physical Oceanography. 2008. V. 38. № 10. P. 2256–2269. https://doi.org/10.1175/2008JPO3810.1
- de Marez C., Carton X., Corréard S. et al. Observations of a deep submesoscale cyclonic vortex in the Arabian Sea // Geophys. Res. Lett. 2020. V. 47. № 13, e2020GL087881 (10 p.). https://doi.org/10.1029/2020GL087881
- Ertel H. Ein neuer hydrodynamischer Erhaltungssatz. Die Naturwissenschaften. 1942. V. 36. P. 543–544.
- Ertel H. Über hydrodynamischer Wirbelsätze. Physikalische Zeitschrift Leipzig. 1942. V. 43. P. 526–529.
- Ertel H. Ein neuer hydrodynamischer Wirbelsatz. Meteorologische Zeitschrift. 1942. V. 59. P. 277–281.
- Gula J., Blacic T.M., Todd R.E. Submesoscale coherent vortices in the Gulf Stream // Geophys. Res. Lett. 2019. V. 46. № 5. P. 2704–2714. https://doi.org/10.1029/2019GL081919
- Klein P., Lapeyre G. The oceanic vertical pump induced by mesoscale and submesoscale turbulence // Annu. Rev. Mar. Sci. 2009. V. 1. № 1. P. 351–357. https://doi.org/10.1146/annurev.marine.010908.163704
- Koshel K.V., Ryzhov E.A., Zhmur V.V. Ellipsoidal vortex in a nonuniform flow: dynamics and chaotic advections // J. Mar. Res. 2011. V. 69. № 2–3. P. 435–461.
- Koshel K.V., Ryzhov E.A., Zhmur V.V. Diffusion – effected passive scalar transport in an ellipsoidal vortex in a shear flow // Nonlinear Processes in Geophysics. 2013. V. 20. P. 437–444. https://doi.org/10.5194/npg-20-437-2013
- Koshel K.V., Ryzhov E.A., Zhmur V.V. Effect of the vertical component of diffusion on passive scalar transport in an isolated vortex model // Phys. Rev. 2015. V. 92. № 5. 053021. https://doi.org/10.1103/PhysRevE.92.053021
- Mahadevan A.,Tandon A. An analysis of mechanisms for submesocale vertical motion at fronts // Ocean Modelling. 2006. V. 14. № 3. P. 241–256. https://doi.org/10.1016/j.ocemod.2006.05.006
- McKiver W.J. Balanced ellipsoidal vortex at finite Rossby number // Geophysical and Astrophysical Fluid Dynamics. 2020. V. 114. № 4-5. P. 1–26. https://doi.org/10.1080/03091929.2020.1755671
- Meacham S.P. Quasigeostrophic, ellipsoidal vortices in a stratified fluid // Dynamics of Atmospheres and Oceans. 1992. V. 16. № 3–4, P. 189–223.
- Meacham S.P., Pankratov K.K., Shchepetkin A.F., Zhmur V.V. The interaction of ellipsoidal vortices with background shear flows in a stratified fluid // Dynamics of Atmospheres and Oceans. 1994. V. 21. № 2–3. P. 167–212. https://doi.org/10.1016/0377-0265(94)90008-6
- Pankratov K.K., Zhmur V.V. A dynamics of desingularized quasigeostrophic vortices // Phys. Fluids A. 1991. V. 3. P. 1464.
- Roullet G., Klein P. Cyclone-anticyclone asymmetry in geophysical turbulence // Phys. Rev. 2010. V. 104. № 21. 218501. https://doi.org/10.1103/PhysRevLett.104.218501
- Zhmur V.V., Novoselova E.V., Belonenko T.V. Peculiarities of Formation the of Density Field in Mesoscale Eddies of the Lofoten Basin: Part 1 // Oceanology. 2021. V. 61. № 6. P. 830–838.
Дополнительные файлы










