Evaluation of Suspended Matter Content in the Coastal Zone of the Northeastern Part of the Black Sea by Relative Transparency
- Authors: Konovalov B.V.1
-
Affiliations:
- Institute of Oceanology PP Shirshov RAS
- Issue: Vol 63, No 1 (2023)
- Pages: 72-83
- Section: Морская геология
- URL: https://journal-vniispk.ru/0030-1574/article/view/136225
- DOI: https://doi.org/10.31857/S0030157423010057
- EDN: https://elibrary.ru/AHHZYP
- ID: 136225
Cite item
Full Text
Abstract
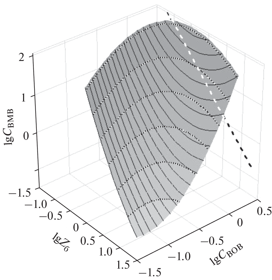
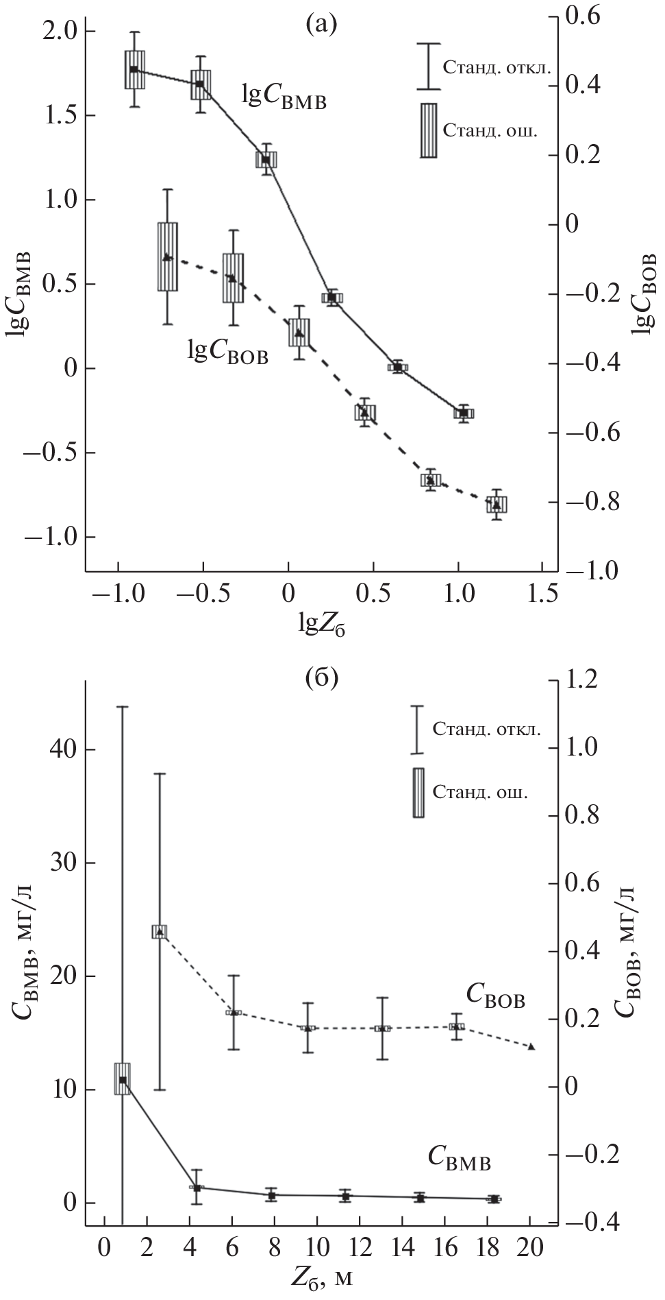
Based on the materials of 20 expeditions of the IO RAS conducted in various areas of the coastal zone of the Russian sector of the Black Sea in the period from 1999 to 2021, empirical equations the relationship between the relative transparency (depth of visibility of the white disk Zd) and the mass concentrations of the total suspended matter-SM and its mineral – SMM and organic – POM fractions (Csm, Csmm and Csom, respectively) were obtained. The values of Zd were recorded in the range from 0.1 to 21 m, the concentrations of SMM – from 0.11 to 104 mg/L, POM – from 0.09 to 2.0 mg/l and chlorophyll a (Ca) – from 0.03 to 4.4 mcg/l. The relative abundance of the POM in the suspension ranged from 1.1 to 48.7%. The estimation of the error in the calculations according to these equations is carried out. The coefficients of determination r2 = 0.85 (for lgCsm and lgCsmm ) and 0.72 ( for lg Csom). The influence of the concentration of POM – on the accuracy of the calculation of Csmm and the concentration of chlorophyll a on the accuracy of the calculation of Csom was revealed. It is concluded that it is possible to use empirical formulas related to the entire array to calculate the concentrations of these fractions of suspension in the entire studied water area. It is proposed to consider the method of estimating the content of suspension fractions based on the obtained empirical equations as a regional variant of the method of passive sounding of the upper layer of the sea using a white disk.
About the authors
B. V. Konovalov
Institute of Oceanology PP Shirshov RAS
Author for correspondence.
Email: bvkonovalov@yandex.ru
Russia, 117997, Moscow
References
- Березкин В.С., Гершун А.А., Янишевский Ю.Д. Прозрачность и цвет моря – Л.: Изд-во военно-морской академии ВМВ, 1940. 123 с.
- Витюк Д.М. Использование визуальных наблюдений для расчета концентрации взвеси в морской воде // Взвешенное вещество и его биогенные компоненты. Киев: Наукова Думка, 1983. С. 70–72.
- Горнер И. Инструкция лейтенанту Коцебу о физических наблюдениях // В Отчете О. Коцебу “Путешествие в Южный океан и Берингов пролив для отыскания северо-восточного морского прохода, предпринятое в 1815—1818 гг. на корабле “Рюрик””. Ч. 1. СПб.: 1821. С. 149–181.
- ГОСТ 17.1.04.02–90. “Вода. Методика спектрофотометрического определения хлорофилла a”. М.: Изд-во стандартов Госкомприроды, 1990. 16 с.
- ГОСТ 19 210–73. Гидрооптические характеристики. Термины и определения. М. Изд-во Госкомитета Стандартов СССР. 1974. 10 с.
- Зубов Н.Н. Гидрологические работы Морского научного института летом 1928 г. на э/с “Персей” // Труды ГОИН. 1932. Т. 2. Вып. 4.
- Иванов Р.Н. К теории диска Секки // Журнал геофизики. 1936. Т. 6. Вып. 2–3.
- Иванов К.И. О зависимости между прозрачностью и содержанием взвешенных веществ // Труды ГОИН. М.-Л.: Гидрометеоиздат, 1948. Вып.10/22. С. 117–129.
- Книпович Н.М. Гидрологические исследования в Каспийском море в 1914–1915 гг. // Тр. Касп. эксп. 1914–1915 гг. 1921.
- Козлянинов М.В. Руководство по гидрооптическим измерениям в море // Труды ИО АН. 1961. Т. 47. С. 37–80.
- Козлянинов М.В. О расчете видимости белого стандартного диска // Океанология. 1980. Т. 20. № 2. С. 329–334.
- Коновалов Б.В. Определение показателя поглощения света компонентами сестона по спектру поглощения его осадка на мембранном фильтре // Океанология. 1992. Т. 32. № 3. С. 588–593.
- Коновалов Б.В., Кравчишина М.Д., Беляев Н.А., Новигатский А.Н. Определение концентрации минеральной взвеси и взвешенного органического вещества по их спектральному поглощению // Океанология. 2014. Т. 54. № 5. С. 704–711.
- Лебединцев А.А. Журнал гидрологических и метеорологических наблюдений в Каспийской экспедиции1904 г. // Тр. Касп. эксп. 1904 г. 1913. Т. 3.
- Левенштерн Е.Е. Вокруг света с Иваном Крузенштерном // Сост. А.В. Крузенштерн, О.М. Федорова, Т.К. Шафрановская. СПб. ЦКП ВМФ. 2003. 600 с.
- Маньковский В.И. Эмпирическая формула для оценки показателя ослабления света в морской воде по глубине видимости белого диска // Океанология. 1978. Т. 18. Вып. 4. С. 750–753.
- Маньковский В.И. Основы оптики океана. Севастополь: НАН Украины, Морской гидрофизический институт, 1996. 119 с.
- Маньковский В.И. Оценка концентрации общей взвеси и ее органической и минеральной фракций в озере Байкал по глубине видимости белого диска // Опт. атм. и океана. 2018. Т. 31. № 4. С. 313–317.
- Маньковский В.И. Влияние состава взвеси на глубину видимости белого диска // Опт. атм. и океана. 2019. Т. 32. № 1. С. 24–28.
- Определение относительной прозрачности воды // Руководство по гидрологическим работам в океанах и морях. М.: Изд-во ГОИН, 2016. Гл. 14.3. С. 339–340.
- Федорова И.К. Океанийские заметки И.К. Горнера во время первой русской кругосветной экспедиции (1803–1806). Электронная библиотека МАЭ РАН (Музея антропологии и этнографии им. Петра Великого (Кунсткамера) РАН. 2007. (http://www.kunstkamera.ru/lib/rubrikator//08/08_ 03/ 978-5-02-025219-6/).
- Шемшура В.Е., Владимиров В.Л. Оценка концентрации взвеси в море по глубине видимости белого диска и спектрам восходящего излучения // Океанология. 1989. Т. 29. № 6. С. 946–950.
- Шифрин К.С. Введение в оптику океана. Л.: Гидрометиздат, 1983. 278 с.
- Шпиндлер Б. Материалы по гидрологии Карабугаза и средней части Каспийского моря // Тр. Карабугазск. эксп. 1902. Ч. 1.
- Шулейкин В.В. Гидрографические работы во 2-ой экспедиции 1924 г. // Исследование оптических свойств воды // Тр. Плавучего морского научн. ин-та. 1925. Вып. 19.
- Aas E., Høkedal J., Sørensen K. Secchi depth in the Oslofjord–Skagerrak area: theory, experiments and relationships to other quantities // Ocean Sciences. 2014. V. 10. P. 177–199.
- Cialdi C.A. Sul moto ondoso del mare e su le correnti de esso specialmente auquelle littorali. 2nd Ed. 1866. P. 258–288. Cited in ONI Transl. A-655, P. 1. Hydrographic Office, 19.
- Clarke O.L., Jaraes H.K. Laboratory Anahsis of the selective absorption of light by sea water // Optical Society of America. 1939. V. 29. № 2.
- Gordon H.R., Wouters A.W. Some relations between Secchi depthand inherent optical properties of natural waters // Appl. Opt. 1978. V. 17. P. 3341–3343.
- Graham J. Secchi disc observations and extinction coefficients in the central and eastern north Pacific Ocean // Limnol. Oceanog. 1966. V. 11. P. 184–190.
- Horner J.C. Nachrichten von der Russischen Entdeckungsreise // Monatliche Correspondentz zur Beforderung der Erd- und Himmelskunde / F.X. V. Zach. Bd. 11. 1805. S. 149–160.
- Lee Z.P., Shang S., Hu C. et al. Secchi disk depth: A new theory and mechanistic model for underwater visibility // Remote Sensing of Environment. 2015. V. 169. P. 139–149.
- Levin J.M., Radomyslskaya T.M. Secchi disk theory: a reexamination // Current Research on Remote Sensing. Proc. of SPIE. 2007. V. 6615. P. 1–11.
- Pellerson H. Scattering and extinction of light in sea water // Kungl. Vetens. Vitterhets samhal. 1934. Handl. Ser. B. Bd. 4. № 4.
- Pitarch, J. A Review of Secchi’s contribution to marine optics and the foundation of Secchi disk science // Oceanography. 2020. V. 3. № 3. P. 26–37.
- Preisendorfer R.W. Secchi disk science: visual optics of natural waters // Limnol. Oceanogr. 1986. V. 31. P. 909–926.
- Wernand M.R. On the history of the Secchi disc // Journal European Optical Society — Rapid Publications. 2010. V. 5. P. 10013S1–10013S6.
- Witting R. Zusammenfassende ubersicht der hydrographie des bottnischen und finnischen meerbusens und der Nordlichen Ostsee nach den Untersuchungen bis Ende 1910 // Finlandische Hydr. Biol. Unters. 1912. № 7.
Supplementary files









