Discovery of New Hydrothermal Ore Fields “Korallovoe” (13°07′ N) and “Molodezhnoe” (13°09′ N) in the Middle Atlantic Ridge
- Authors: Makoviz A.M.1,2, Bich A.S.3, Stepanova M.S.3, Kaminsky D.V.1, Skakovsky V.L.1, Dobretsova I.G.1, Kryukov D.A.1, Zhidkov Z.V.1,4, Shipov R.V.1, Narkevsky E.V.1, Cherkashev G.A.3,2, Sergeeva I.A.1,2, Musatov A.E.1, Savin A.S.1
-
Affiliations:
- Polar Marine Exploration Expedition
- St. Petersburg State University, Institute of Earth Sciences
- Acad. Gramberg All-Russia Scientific Research Institute for Geology and Mineral Resources of the Ocean
- Zoological Institute of Russian Academy of Sciences
- Issue: Vol 63, No 1 (2023)
- Pages: 124-134
- Section: Морская геология
- URL: https://journal-vniispk.ru/0030-1574/article/view/136229
- DOI: https://doi.org/10.31857/S0030157423010070
- EDN: https://elibrary.ru/AHDAWN
- ID: 136229
Cite item
Full Text
Abstract
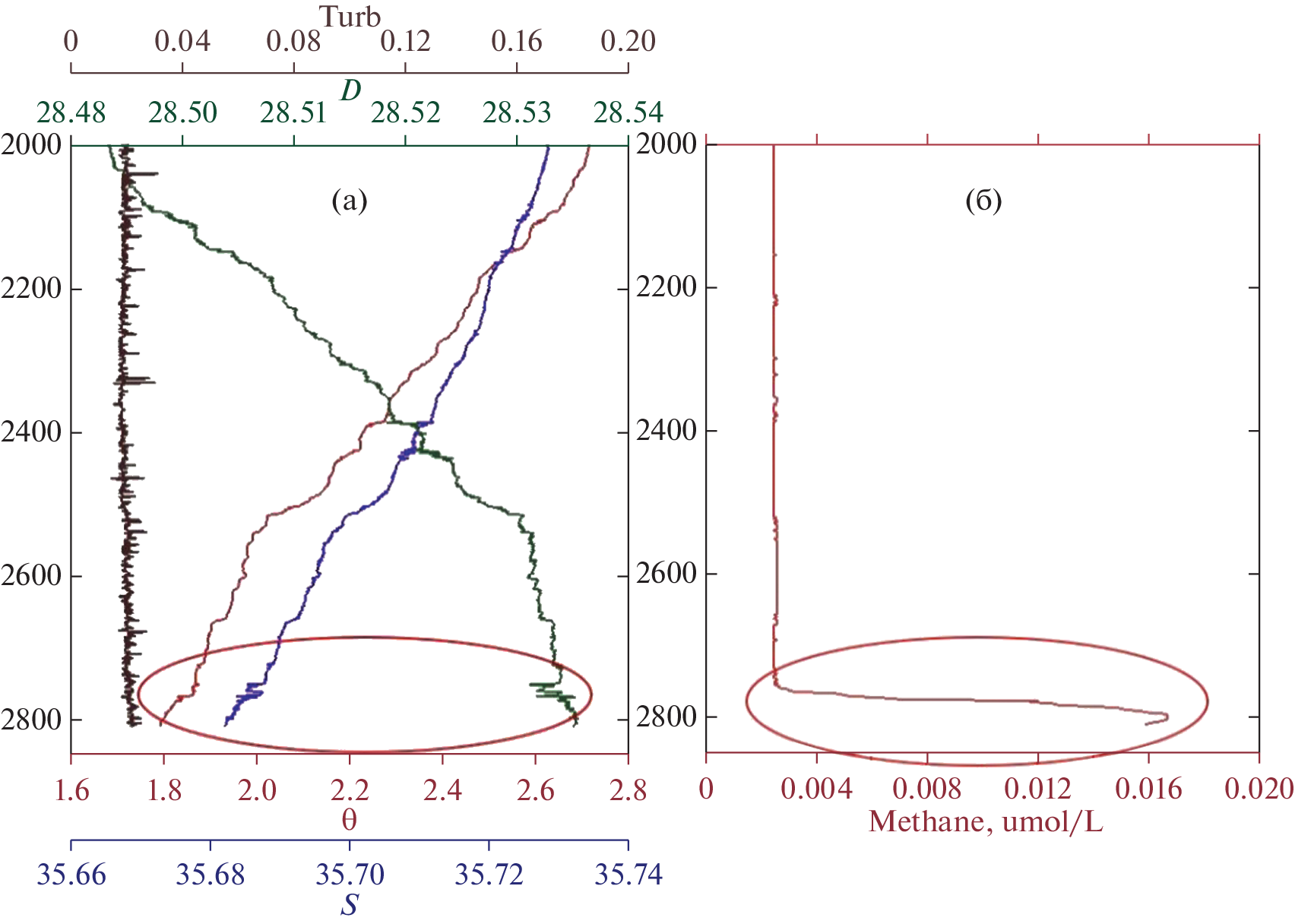
During the 41th scientific cruise of the R/V “Professor Logachev” in 2019, two new ore fields were discovered within the Russian exploration area of the Mid-Atlantic Ridge. The “Korallovoye” ore field is located in the middle part of the rift valley ridge and lies on a gentle slope in the depth range of 2800–2850 m. The “Molodezhnoye” ore field is located at a distance of approximately 5 km northeast of the “Korallovoye” field and lies on a less steeper section of the slope between 3500 and 3550 m in depth. The “Korallovoye” and “Molodezhnoye” fields are confined to the outcrop of a gabbro-peridotite massif on the western side of the Mid-Atlantic Rift valley. The total number of discovered ore fields in the Russian exploration area has been increased to 14 sites.
About the authors
A. M. Makoviz
Polar Marine Exploration Expedition; St. Petersburg State University, Institute of Earth Sciences
Author for correspondence.
Email: makoviz77@gmail.com
Russia, Lomonosov, Saint Petersburg; Russia, Saint Petersburg
A. S. Bich
Acad. Gramberg All-Russia Scientific Research Institute for Geology and Mineral Resources of the Ocean
Email: alexejmusatov@yandex.ru
Russia, Saint-Petersburg
M. S. Stepanova
Acad. Gramberg All-Russia Scientific Research Institute for Geology and Mineral Resources of the Ocean
Email: alexejmusatov@yandex.ru
Russia, Saint-Petersburg
D. V. Kaminsky
Polar Marine Exploration Expedition
Email: alexejmusatov@yandex.ru
Russia, Lomonosov, Saint Petersburg
V. L. Skakovsky
Polar Marine Exploration Expedition
Email: alexejmusatov@yandex.ru
Russia, Lomonosov, Saint Petersburg
I. G. Dobretsova
Polar Marine Exploration Expedition
Email: alexejmusatov@yandex.ru
Russia, Lomonosov, Saint Petersburg
D. A. Kryukov
Polar Marine Exploration Expedition
Email: alexejmusatov@yandex.ru
Russia, Lomonosov, Saint Petersburg
Z. V. Zhidkov
Polar Marine Exploration Expedition; Zoological Institute of Russian Academy of Sciences
Email: alexejmusatov@yandex.ru
Russia, Lomonosov, Saint Petersburg; Russia, Saint Petersburg
R. V. Shipov
Polar Marine Exploration Expedition
Email: alexejmusatov@yandex.ru
Russia, Lomonosov, Saint Petersburg
E. V. Narkevsky
Polar Marine Exploration Expedition
Email: alexejmusatov@yandex.ru
Russia, Lomonosov, Saint Petersburg
G. A. Cherkashev
Acad. Gramberg All-Russia Scientific Research Institute for Geology and Mineral Resources of the Ocean; St. Petersburg State University, Institute of Earth Sciences
Email: alexejmusatov@yandex.ru
Russia, Saint-Petersburg; Russia, Saint Petersburg
I. A. Sergeeva
Polar Marine Exploration Expedition; St. Petersburg State University, Institute of Earth Sciences
Email: alexejmusatov@yandex.ru
Russia, Lomonosov, Saint Petersburg; Russia, Saint Petersburg
A. E. Musatov
Polar Marine Exploration Expedition
Author for correspondence.
Email: alexejmusatov@yandex.ru
Russia, Lomonosov, Saint Petersburg
A. S. Savin
Polar Marine Exploration Expedition
Email: alexejmusatov@yandex.ru
Russia, Lomonosov, Saint Petersburg
References
- Бельтенев В.Е., Лазарева Л.И., Черкашев Г.А. и др. Новые гидротермальные рудные поля на Срединно-Атлантическом хребте: Юбилейное (20°09′ с.ш.) и Сюрприз (20°45.4′ с.ш.) // Докл. РАН. 2017. Т. 476. № 3. С. 305–310.
- Порошина И.М., Черкашев Г.А. Морфотектоническое строение и сегментация северной приэкваториальной части Срединно-Атлантического хребта (Российский Разведочный Район) // Мировой океан. Т. III. Твердые полезные ископаемые и газовые гидраты в океане / Под ред. Лобковского Л.И., Черкашева Г.А. М.: Научный мир, 2018. С. 60–75.
- Черкашев Г.А. Степанова Т., Андреев С. и др. Рудные объекты в пределах Российского Разведочного Района в северной приэкваториальной части Срединно-Атлантического хребта // Мировой океан. Т. III. Твердые полезные ископаемые и газовые гидраты в океане / Под ред. Л.И. Лобковского, Г.А. Черкашева. М.: Научный мир, 2018. С. 90–121.
- Черкашев Г.А., Иванов В.Н., Бельтенев В.Е. и др. Сульфидные руды северной приэкваториальной части Срединно-Атлантического хребта // Океанология. 2013. Т. 53 № 5. С. 680–693.
- Escartín J., Smith D.K., Cann J. et al. Central role of detachment faults in accretion of slow-spreading oceanic lithosphere // Nature. 2008. V. 455(7214). P. 790–794.
- Fouquet Y., Cambon P., Etoubleau J. et al. Geodiversity of hydrothermal processes along the Mid-Atlantic Ridge and ultramafic hosted mineralization: a new type of oceanic Cu–Zn–Co–Au volcanogenic massive sulfide deposit // Diversity of submarine hydrothermal systems on slow spreading ocean ridges. Geophys. Monogr. 2010. V. 188. P. 297–320.
- Gage J., Tyler P. Deep-Sea Biology: A Natural History of Organisms at the Deep-Sea Floor. Cambridge: Cambridge University Press, 1991. 520 p.
- German C.R., Petersen S., Hannington M.D. Hydrothermal exploration of mid-ocean ridges: Where might the largest sulfide deposits be forming? // Chemical Geology. 2016. V. 420. P. 114–126.
- MacLeod C.J., Searle R.C., Murton B.J. et al. Life cycle of oceanic core complexes // Earth and Planetary Science Letters. 2009. V. 287. P. 333–344.
- Smith D.K., Escartín J., Schouten H. et al. Fault rotation and core complex formation: Significant processes in seafloor formation at slow-spreading mid-ocean ridges (Mid-Atlantic Ridge, 13°–15° N) // Geochemistry, Geophysics, Geosystems. 2008. V. 9 (3). P. 1–23.
- Smith D.K., Cann J.R., Escartín J. Widespread active detachment faulting and core complex formation near 13° N on the Mid-Atlantic Ridge // Nature. 2006. V. 442 (7101). P. 440–443.
Supplementary files










